2. 青岛海洋科学与技术试点国家实验室,山东 青岛 266237;
3. 河海大学海洋学院国际极地环境研究实验室,江苏 南京 210000
热带海洋温跃层是热带海洋大气耦合系统中的重要组成部分,在全球气候变化中有重要作用。太平洋温跃层与赤道东风和海洋上升运动紧密联系。一方面,气候态下赤道东风使得表层海水向西太平洋堆积,造成气候态下温跃层西深东浅。另一方面,赤道东风引起上升流,次表层冷水上翻,在抬升温跃层的同时导致赤道东太平洋较西太海温偏低,这一纬向温度梯度导致纬向海平面气压梯度,维持赤道东风,从而维持赤道太平洋温跃层的东西不均匀分布。热带太平洋温跃层与上升流变化对全球气候年际变化最强信号的厄尔尼诺和南方涛动现象(El Niño and Southern Oscillation, ENSO)的发展和位相转换有显著作用[1-7]。在全球变暖下,热带海洋还可以通过温跃层和海洋上升运动调节海洋分量分布来影响气候变化[8-10]。因此,认识全球变暖下热带太平洋的温跃层变化对于气候变化研究有重要意义。
前人对于热带温跃层对全球变暖的响应研究,往往针对温室气体增加阶段的变化。但需要注意的是,由于海洋对热量吸收和传输的调整,气候系统对于温室气体的增加具有快慢不同的时间尺度。Chadwick等[11]研究CO2浓度增加和减小对热带降雨和环流的影响时发现,在CO2减少时赤道东太平洋增暖,原因可能是温跃层下层水体对大气强迫的响应要滞后于混合层,温跃层的分层和海洋环流运输可能起到了关键作用。在CO2浓度增加和保持稳定这两个时期,海洋的响应过程是有所差异的,前一时期由混合层对外强迫的快速调整为主(海洋快响应),后一时期则是由深层海洋的缓慢变化所主导(海洋慢响应),导致全球变暖也分为快、慢两个过程。Held等[12]通过数值试验来分离全球变暖的海洋快、慢响应,发现CO2浓度保持稳定后,全球平均温度变化并没有立刻停止,而是继续缓慢变暖。他们的研究发现,在快过程中随着CO2浓度增加,海表面温度(Sea surface temperature, SST)迅速增暖,SST响应由两部分构成,一个初始的快速指数变化(上层海洋快响应主导)和一个发展缓慢的成分(深层海洋慢响应主导)。在快过程中,深层海洋和上层海洋温差增大;而在慢过程中,SST缓慢增暖,深层海洋与上层海洋温差减小。因此,快慢响应过程中温跃层为主的海洋层结变化是截然相反的。
Long等[13]研究指出,在全球变暖的快、慢响应阶段中,赤道太平洋年平均场温跃层深度变化有所不同。温跃层深度变化受层结变化和风场变化的综合影响:在快响应过程中,层结变化使温跃层变浅,风场变化使温跃层纬向倾斜程度减小,也会使温跃层变浅;在慢响应过程中,次表层增暖抵消了风场变化对温跃层的作用,使温跃层深度变化不明显。Long等[13]虽然提到了这两个因素,但没有定量地估计二者对赤道太平洋温跃层深度影响的相对贡献大小,也没有研究赤道与赤道外的经向差异。基于这些尚未回答的问题,本文使用地球物理流体动力学实验室(Geophysical Fluid Dynamics Laboratory,GFDL)气候模型2.1 (Climate Model version 2.1, CM2.1)模拟的1%增加的4倍CO2理想试验结果,分析了赤道太平洋温跃层深度在全球变暖快慢过程中的变化特征,估计了层结变化和赤道上升流变化对温跃层深度的分别影响。
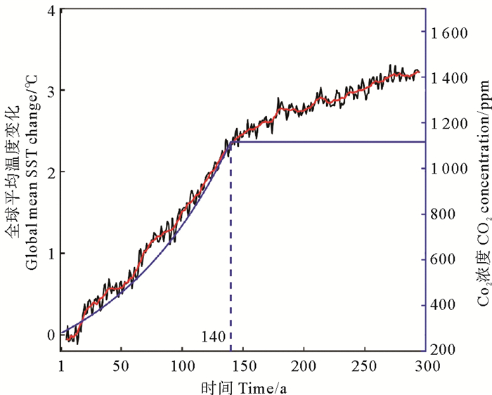
1 资料本文使用GFDL CM2.1的CO2浓度每年增加1%到4倍工业革命前水平(1%4×CO2)的理想试验结果[14]。GFDL CM2.1气候模式的大气模式为Atmosphere Model (AM)version 2.1[15],分辨率为2.5°×2.0°,在垂直方向上有24层;海洋模式为Ocean Model version 3.1[16-17],分辨率是1°×1°,经向网格间距由极地到赤道地区减少到1/3(°),在垂直方向上分为50层,上层220 m海洋每10 m为1层,下层间距逐渐变大。在1%4×CO2试验中,CO2浓度在140年后停止增加并保持稳定不变,整个模式积分长度为300年(见图 1蓝线)。本文主要使用了耦合数据中的表面风场数据、海洋数据中的海温数据进行分析,研究热带太平洋温跃层在全球变暖海洋快、慢响应阶段的变化。
|
(红色实线为全球平均SST变化的9年滑动平均结果(℃)。Red solid line is nine-year sliding average of global mean SST (℃). ) 图 1 1~300年CO2浓度变化(蓝色实线,ppm)和全球平均SST变化(黑色实线,℃) Fig. 1 Changes in CO2 concentration (blue solid line, ppm) and global mean SST (black solid line, ℃) over the years 1~300 |
海洋中的温跃层深度存在着多种定义方法。由于全球变暖下海洋温度有显著增暖,因此本文不采用固定等温线代表温跃层深度,而使用温度梯度最大值所在深度代表温跃层深度[15]。
从图 1中可以看出,在1~140年(快响应阶段),全球平均SST(黑线)随着CO2增加4倍逐渐增长了约2.2 ℃;在140~300年(慢响应阶段),尽管温室气体浓度达到稳定,但全球变暖并未停止,全球平均海温继续增长了约1℃。根据前人的研究,前140年的变化为混合层海洋的快响应主导,第140~300年的变化则表征了深层海洋慢过程的效应[15]。为了消除年际变化的影响,本文分别用6~25年、131~150年和276~295年,3个20年的滑动窗口的平均值来代表全球变暖前、快响应阶段和慢响应阶段的气候状态(附录中的气候态使用6~25年窗口的平均值表示,异常场用131~150年窗口减去6~25年窗口表示),进而研究不同阶段赤道太平洋温跃层的变化特征。
垂向温度夹卷作用会影响温跃层的深度。对于赤道东太平洋的气候平均态,局地上升流导致温跃层有显著抬升(见图 2)。一方面,上升流越强,意味着有更多的冷水被抬升到上层来压缩混合层厚度,使得最大温度梯度位置(也就是温跃层深度)上移;另一方面,下层海水如果越冷或者上层海水越暖,在同样强度的上升流的作用下,热输送作用也会造成温跃层上移。对于赤道太平洋的气候态,垂直冷平流最大值由西(160°E,0.7×10-7K/s)向东(140°W,5.2×10-7K/s)迅速增加的同时,所在深度变浅,在140°W~90°W区域, 垂直平流大小变化不大,最大值位置仍在向东变浅。在西太,温跃层深度位置较垂直平流最大值区域偏浅,偏浅程度由约70 m向东递减,至140°W~90°W,基本贯穿温度平流最大值区域。综上所述,垂直冷平流的抬升作用由西向东增加,与温跃层西深东浅的分布一致。
|
图 2 气候态下10°S~10°N温跃层深度(红线,m)和垂向温度平流(填色,K/s)的经度-深度剖面图 Fig. 2 Longitude-depth sections of equatorial Pacific (10°S~10°N) thermocline depth (red line, m) and vertical cold advection (colors, K/s) climatology |
因此,为了衡量赤道上升流带来的冷平流对温跃层深度的影响,本文将垂向温度平流引起的温跃层深度变化分解成两项:垂直流速变化作用(全球变暖不同阶段垂直流速的变化与气候态海洋层结的乘积)和层结变化作用(气候态的垂直流速与全球变暖不同阶段海洋层结变化的乘积)。通过该分解,我们可以由此估算层结和垂直速度变化对温跃层深度变化贡献的相对大小。详细分解方法请见附录。
2 全球变暖快响应过程中赤道太平洋温跃层变化仅从温跃层深度变化上看,赤道太平洋温跃层在快响应阶段的变化远大于慢响应阶段(见图 3(a))。在快响应阶段,赤道太平洋温跃层深度变浅,且由160°W向东变浅程度越来越小。在西太平洋,温跃层抬升约20 m左右);在东太平洋100°W处,温跃层变浅只有约2 m,这与Long等[15]结果一致。
|
((a)三个时刻温跃层深度(m);(b)快响应阶段和(c)慢响应阶段海洋温度变化(填色,K)、温度梯度(等值线,K/m)变化;蓝线和红线分别代表变暖前后温跃层深度(m)。(a) Thermocline depths(m) in 6~025 mean(black line)、131~150 mean(red dotted line)、276~295 mean(blue line); (b) and (c) Ocean temperature (colors, K/m) anomalies、temperature gradient (black lines, K/m) anomalies in fast and slow response.。Blue line and red line represent the thermocline depth before and after warming. ) 图 3 10°S~10°N温跃层深度、海洋温度变化、温度梯度变化的经度-深度剖面图 Fig. 3 Longitude-depth sections of equatorial Pacific (10°S~10°N) thermocline depth, ocean temperature anomalies, temperature gradient anomalies |
温跃层深度的变化反应的是海洋热力层结的改变。快过程中(见图 3(b)),上层海洋增暖,温度梯度增加;温跃层以下海洋甚至出现变冷,导致温度梯度减弱。上下层温度梯度增加,海洋层结加强。这是由于CO2的增加,海洋表面水体首先吸收热量并加热整个混合层,导致上层水体迅速升温;由于温跃层的限制,次表层海水被加热的速度远慢于混合层,这就导致了上下两层温差增大,温度梯度最大值深度上移。比较层结变化和上升流变化对温跃层深度变化的作用可以发现(见图 4),层结变化在近赤道3°S~3°N太平洋起到抬升温跃层的作用(冷色代表变浅,暖色代表加深),在偏离赤道地区则会加深温跃层深度(见图 4(a))。垂直流速变化对近赤道温跃层深度的影响是东西不对称的(见图 4(b)):在160°W以东(西)地区伴随着西风异常(微弱的东风异常),导致海水向东(西)堆积,减弱(加强)了气候态下的上升流。在偏离赤道地区(3°N~7°N),垂直速度的变化使温跃层深度变浅,风场在南半球以南风异常为主,在北半球以北风异常为主,因此风场在赤道辐合而在赤道外辐散,这不仅造成了赤道外温跃层的变浅,也对赤道温跃层的加深有贡献。层结与垂直流速变化总的作用结果是近赤道温跃层深度在160°E ~160°W变浅最显著,自160°W向东其变浅程度越来越小;在偏离赤道地区,其造成的变浅效应幅度很小。
|
图 4 快响应阶段(a)层结变化对赤道太平洋温跃层深度变化的影响(填色,K· m/s)与气候态风场(m/s);(b)垂直流速变化对赤道太平洋温跃层深度变化的影响(填色,K· m/s)与风场变化(m/s) Fig. 4 Fast response pattern(year 131~150 mean minus year 006~025 mean): (a) The effect of stratification changes (colors, K· m/s) and the surface wind velocity (vectors, m/s) climatology; (b) The effect of vertical velocity variation (K· m/s) and the surface wind velocity (m/s) anomalies |
综上所述,在快响应阶段的赤道太平洋附近,在160°W以西垂直流速变化作用和层结变化作用都使得温跃层变浅;而在160°W以东,二者作用相抵消,层结变化作用略大,使温跃层深度变浅不大。偏离赤道太平洋海区,二者作用主要为相互抵消,垂直流速变化作用略大于层结变化作用,使温跃层深度略微变浅。两个作用叠加,使得在赤道太平洋温跃层变浅最大值区域出现在赤道中西太平洋(160°E~160°W附近)。
3 慢过程中赤道太平洋温跃层变化在慢响应阶段(见图 3(a)),155°W~130°W温跃层有轻微变浅,其他位置无明显变化。这是由于由深层海洋变化主导的慢过程是非常缓慢的。由图 3(c)可以看出,深层海洋增暖大于表层。其中西太平洋上层海洋增暖大于下层,东太平洋上层海洋增暖小于下层。整体上,温跃层上层温度梯度略微增加,下层略微减弱,上下层温度梯度差增加,海洋层结加强的幅度是快响应阶段的1/5左右。
在慢响应阶段,层结变化作用和垂直流速变化作用对赤道太平洋温跃层深度的影响与快响应阶段有所不同。上层海洋层结变化可以导致在近赤道偏北(0°~3°N)太平洋抬升温跃层,在偏离赤道东南侧使温跃层加深,其贡献的范围为-0.5×10-5~ 0.2×10-5 K·m/s,约为快响应阶段(-3.8×10-5~ 1×10-5 K·m/s)的15%(见图 5(a));垂直流速变化的贡献在慢响应阶段占主导地位,约为层结变化作用的两倍(见图 5(b));在近赤道太平洋偏南(3°S~0°,155°W~130°W)有利于抬升温跃层,而在赤道太平洋东西两端附近有加深温跃层的作用(-1×10-5~ 0.7×10-5 K·m/s),约为快响应阶段(-1.5×10-5~ 3.2×10-5 K·m/s)的35%。在两项的贡献的共同作用下,温跃层深度变化在慢响应阶段只在155°W~130°W附近略微变浅(见图 3(c))。
|
图 5 慢响应阶段(a)层结变化对赤道太平洋温跃层深度变化的贡献(填色,K· m/s)与气候态风场(m/s);(b)垂直流速变化对赤道太平洋温跃层深度的贡献(填色,K· m/s)与风场变化(m/s) Fig. 5 Slow response pattern (year 276~295 mean minus year 131~150 mean): (a) The effect of stratification changes (colors, K· m/s) and the surface wind velocity (vectors, m/s) climatology; (b) The effect of vertical velocity variation (K· m/s) and the surface wind velocity (m/s) anomalies |
本文利用GFDL CM2.1模拟的CO2以每年1%增长到4倍工业革命前水平的理想实验结果,比较了在全球变暖背景下赤道太平洋温跃层深度的快慢变化过程中,层结变化作用和垂直流速变化作用对温跃层深度变化的相对贡献,并得到以下结论:
(1) 在快响应阶段,10°S~10°N赤道太平洋温跃层上层温度梯度增加,下层减弱,上下层梯度差增加,海洋层结加强,温跃层深度变浅,变浅最明显区域在160°E ~160°W,变浅约20 m。近赤道上160°W以西,层结加强和上升流加强都抬升温跃层;以东层结加强和上升流减弱作用相抵消,温跃层变浅幅度不大。偏离赤道,两者相抵消,温跃层变浅幅度同样很小。
(2) 在慢响应阶段,海洋层结缓慢加强,仅为快响应阶段的15%~20%,温跃层只在155°W~130°W附近有轻微变浅,其他区域深度变化不大,垂直流速变化作用是此区域变浅的主要原因。
全球变暖下赤道海洋层结的响应,特别是温跃层的强度和深度变化,对于热带海气系统有重要的调制现象。前人的研究已经发现随着温室气体的增加,海洋快响应导致的温跃层加强和抬升会导致ENSO强度的加强[18-19],以及厄尔尼诺事件类型的改变[20],这是除了ENSO降水异常出现显著变化[21-23]的另一重要变化因素。本研究工作发现,温跃层对全球变暖的响应仅在海洋快响应阶段显著。而在海洋慢响应阶段,尽管ENSO降水异常也会出现显著变化[24],但温跃层的响应并不显著,因此推测可能不会成为影响ENSO在慢响应阶段变异的主要因素。
附录本文从混合层温度倾向方程[25]出发,探讨赤道上升流对温跃层深度的影响:
| $ \frac{\partial T_{m}}{\partial t}=\frac{Q_{n e t}}{\rho_{0} c_{p} h_{m}}-\overrightarrow{u_{m}} \cdot \nabla T_{m}-\frac{\omega_{e}\left(T_{m}-T_{d}\right)}{h_{m}}。$ |
式中:Tm代表混合层温度;▽Tm表示水平温度梯度;Qnet表示进入海洋的海表净热通量;ρ0和cp分别指代参考密度和海水比热;hm表示混合层深度;um表示水平流速;ωe表示卷挟速度;Td表示温跃层下的水温。这四项分别代表温度时间变化项、表面热力强迫项、水平热平流项和卷挟项。
在赤道地区,卷挟项与温跃层深度的变化密切相关。一方面,上升流越强,意味着有更多的冷水被抬升到上层来压缩混合层厚度,使得最大温度梯度位置(也就是温跃层深度)上移;另一方面,下层海水如果越冷或者上层海水越暖,表示海洋层结加强,在同样强度的上升流的作用下,层结加强引起的热输送作用也会造成温跃层上移。因此,为了间接衡量赤道上升流带来的冷平流对温跃层深度的影响,我们将垂直温度平流项从温跃层深度下方50 m积分到上方50 m(温跃层不足50 m处积分到海表):
| $ w{T_z} = - \int\limits_{h + 50}^{h - 50} w = \frac{{\partial T}}{{\partial z}}{\rm{d}}z。$ | (1) |
式中:Tz代表海洋温度梯度;w代表海洋垂直速度;z代表海水深度。该项可以间接表征垂直温度平流对温跃层深度变化的作用,气候态情况下(见图 6),在上升流的作用下该项为负,若该项的异常为负,意味着垂直温度平流的冷却效应加强,也代表温跃层深度变浅。在变暖的情景下,该项可以分解为:
| $ \Delta\left(w T_{z}\right)=w \Delta T_{z}+\Delta w T_{z}+\Delta w \Delta T_{z}。$ | (2) |
|
(气候态下的(a)垂直速度(c)温度梯度以及快响应阶段(b)垂直速度变化(d)温度梯度变化。(a) Vertical velocity, (c) temperature gradient climatology and (b) vertical velocity anomalies, (d) temperature gradient anomalies in fast response. ) 图 6 10°S~10°N气候态和异常场中垂直速度(m/s)和温度梯度(K/m) Fig. 6 Longitude-depth sections of equatorial Pacific (10°S~10°N) vertical velocity (m/s) and temperature gradient (K/m) |
式中:Δw=w2-w1;ΔTz=ΔTz2+ΔTz1(角标2代表变暖后,角标1代表变暖前)。
将第一项定义为海洋层结变化作用;第二项定义为海洋垂直速度变化作用;第三项一般比前两项小一个量级,忽略不计。通过该分解,虽然不能将垂直温度平流的效应直接换算成温跃层深度的变化,但我们可以由此定量估算层结和垂直速度变化对温跃层深度变化贡献的相对大小。
在图 6得到的气候态和快反应阶段异常场的垂直速度和温度梯度分布中,可以看出在气候态下赤道太平洋整体都为上升流(w>0,见图 6(a)),上升流强度由西向东加强;温度梯度均为正(Tz>0, 见图 6(c)),表示温度向上增加。在异常场中,赤道西太平洋为异常上升流(Δw>0),中部上层海洋为异常上升流,次表层为异常下沉流,东太为异常下沉流(Δw < 0, 见图 6(b));海洋层结上层加强(ΔTz>0),下层减弱(ΔTz < 0),上下层温度梯度差增加,整层海洋层结加强(见图 6(d))。
在气候态下,垂直冷平流的抬升作用由西向东增加,与温跃层西深东浅的分布一致。由图 6可以预见,在变暖后的快反应阶段,在东(西)太平洋上升流的加强(减弱)会抬升(加深)温跃层,而上下层层结的加强则会同时使整个太平洋的温跃层变浅。
| [1] |
Battisti D S. Dynamics and thermodynamics of a warming event in a coupled tropical atmosphere-ocean model[J]. J Atmos Sci, 1988, 45: 2889-2919. DOI:10.1175/1520-0469(1988)045<2889:DATOAW>2.0.CO;2
( 0) |
| [2] |
Suarez M J, Schopf P S. A delayed action oscillator for ENSO[J]. J Atmos Sci, 1988, 45: 3283-3287. DOI:10.1175/1520-0469(1988)045<3283:ADAOFE>2.0.CO;2
( 0) |
| [3] |
Jin F F. An equatorial ocean recharge paradigm for ENSO. Part Ⅰ: Conceptual model[J]. J Atmos Sci, 1997, 54: 811-829. DOI:10.1175/1520-0469(1997)054<0811:AEORPF>2.0.CO;2
( 0) |
| [4] |
Bjerknes J. Atmospheric teleconnections from the equatorial Pacific[J]. Mon Wea Rev, 1969, 97: 163-172. DOI:10.1175/1520-0493(1969)097<0163:ATFTEP>2.3.CO;2
( 0) |
| [5] |
Zebiak S E, Cane M A. A model El Niño-Southern Oscillation[J]. Mon Wea Rev, 1987, 115: 2262-2278. DOI:10.1175/1520-0493(1987)115<2262:AMENO>2.0.CO;2
( 0) |
| [6] |
McPhaden M J. Genesis and evolution of the 1997-98 El Niño[J]. Sci, 1999, 283: 950-954. DOI:10.1126/science.283.5404.950
( 0) |
| [7] |
Zhang Q, Guan Y, Yang H J. ENSO amplitude change in observation and coupled models[J]. J Adv Atmos Sci, 2008, 25: 361-366. DOI:10.1007/s00376-008-0361-5
( 0) |
| [8] |
Clement A C, Seager R, Cane M A, et al. An ocean dynamical thermostat[J]. J Climate, 1996, 9: 2190-2196. DOI:10.1175/1520-0442(1996)009<2190:AODT>2.0.CO;2
( 0) |
| [9] |
Seager R, Murtugudde R. Ocean dynamics, thermocline adjustment, and regulation of tropical SST[J]. J Climate, 1997, 10: 521-534. DOI:10.1175/1520-0442(1997)010<0521:ODTAAR>2.0.CO;2
( 0) |
| [10] |
Fang C F, Wu L X. The role of ocean dynamics in tropical Pacific SST response to warm climate in a fully coupled GCM[J]. J Geophys Res Lett, 2008, 35: L08703.
( 0) |
| [11] |
Chadwick R, Wu P L, Good P, et al. Asymmetries in tropical rainfall and circulation patterns in idealised CO2 removal experiments[J]. Climate Dyn, 2013b, 40: 295-316. DOI:10.1007/s00382-012-1287-2
( 0) |
| [12] |
Held I M, Winton M, Takahashi K, et al. Probing the fast and slow components of global warming by returning abruptly to preindustrial forcing[J]. J Climate, 2010, 23: 2418-2427. DOI:10.1175/2009JCLI3466.1
( 0) |
| [13] |
Long S M, Xie S P, Zheng X T, et al. Fast and slow responses to global warming: Sea surface temperature and precipitation patterns[J]. J Climate, 2013, 27: 285-299.
( 0) |
| [14] |
Delworth T L, Coauthors. GFDL's CM2 global coupled climate models. Part Ⅰ: Formulation and simulation characteristics[J]. J Climate, 2006, 19: 643-674. DOI:10.1175/JCLI3629.1
( 0) |
| [15] |
Lin S J. A vertically Lagrangian finite-volume dynamical core for global models[J]. Mon Wea Rev, 2004, 132: 2293-2307. DOI:10.1175/1520-0493(2004)132<2293:AVLFDC>2.0.CO;2
( 0) |
| [16] |
Gnanadesikan A, Dixon K W, Griffies S M, et al. GFDL's CM2 global coupled climate models. Part 2: The baseline ocean simulation[J]. J Climate, 2006, 19: 675-697. DOI:10.1175/JCLI3630.1
( 0) |
| [17] |
Griffies S M, Gnanadesikan A, Dixon K W, et al. Formulation of an ocean model for global climate simulations[J]. Ocean Sci, 2005, 1: 45-79. DOI:10.5194/os-1-45-2005
( 0) |
| [18] |
Timmermann A, Oberhuber J, Bacher A, et al. Increased El Niño frequency in a climate model forced by future greenhouse warming[J]. Nature, 1999, 398: 694-697. DOI:10.1038/19505
( 0) |
| [19] |
Cai W, Wang G, Dewitte B, et al. Increased variability of Eastern Pacific El Niño under greenhouse warming[J]. Nature, 2018, 564: 201-206. DOI:10.1038/s41586-018-0776-9
( 0) |
| [20] |
Yeh S W, Kug J S, Dewitte B, et al. El Nino in a changing climate[J]. Nature, 2009, 461: 511-514. DOI:10.1038/nature08316
( 0) |
| [21] |
Power S, Delage F, Chung C, et al. Robust twenty-first-century projections of El Niño and related precipitation variability[J]. Nature, 2013, 502: 541-545. DOI:10.1038/nature12580
( 0) |
| [22] |
Zhou Z Q, Xie S P, Zheng X T, et al. Global warming-induced changes in El Niño teleconnections over North Pacific and North America[J]. J Climate, 2014, 27: 9050-9064. DOI:10.1175/JCLI-D-14-00254.1
( 0) |
| [23] |
Zheng X T, Xie S P, Lv L H, et al. Intermodel uncertainty in ENSO amplitude change tied to Pacific ocean warming pattern[J]. J Climate, 2016, 29: 7265-7279. DOI:10.1175/JCLI-D-16-0039.1
( 0) |
| [24] |
Zheng X T, Hui C, Xie S P, et al. Intensification of El Niño rainfall variability over the tropical Pacific in the slow oceanic response to global warming[J]. J Geophys Res Lett, 2019, 46: 2253-2260. DOI:10.1029/2018GL081414
( 0) |
| [25] |
Qiu B. The Kuroshio extension system: Its large-scale variability and role in the mid-latitude ocean-atmosphere interaction[J]. Journal of Oceanography, 2002, 58: 57-75. DOI:10.1023/A:1015824717293
( 0) |
2. Pilot National Laboratory for Marine Science and Technology (Qingdao), Qingdao 266237, China;
3. International Polar Environment Research Laboratory, College of Oceanography, Hehai University, Nanjing 210000, China
2021, Vol. 51


0)