锰(Mn)在地壳中的质量分数为0.071 6%[1],在自然水环境中,岩石风化产物中Mn的溶解度通常较低,且逗留时间短,故自然水体中溶解态无机锰(DMn)一般为几个nmol·L-1,属于痕量元素[2]。Mn的生物地球化学行为受水体的氧化还原环境、生物活动、颗粒物-水界面反应以及光化学反应等过程的影响,不同流域其含量、存在形态及分布存在较大差异[3]。Mn在自然界中共存在五种价态(+2、+3、+4、+6、+7),是典型的氧化还原敏感型元素。从热力学角度考虑,在低氧或缺氧的环境中,锰元素主要以溶解态的Mn(Ⅱ)离子的形式存在,而在氧化性的水环境中,Mn(Ⅱ)易被氧化成Mn(Ⅳ),最终转化为颗粒态MnO2的形式被清除出水体[4-6]。锰是浮游植物进行光合作用所必须的微量营养元素之一[7-8]。在微量营养元素Fe匮乏的条件下,现场和实验室Mn加富实验均证明,DMn可能是浮游植物生长的限制因子[9]。河流中DMn主要来源于岩石矿物风化产物的溶出,同时河流径流量、流域岩石类型、植被种类和覆盖面积、降水的酸化程度等都会影响到岩石风化的程度从而影响到河流中DMn的含量,人类生活的扰动,例如大坝等水利工程修建、两岸工业、农业及人类日常生活活动等,也会显著影响河流中DMn的含量[10-11]。在自然水体中Mn和悬浮颗粒物(SPM)之间的吸附解吸作用也是影响水体DMn的分布的重要因素[12]。在大型水库中,有机质的分解、底层沉积物释放、地下水的输入、低氧层含Mn氧化物的还原释放等都会影响到水库中DMn的分布[13-14]。黄河是中国的第二长河,流域面积广阔,其含沙量很高,是中国北方大陆向海洋输送物质的重要通道,是连接陆地与海洋的重要纽带,因此研究黄河中下游中DMn的生物地球化学行为具有重要的意义。
黄河流域面积辽阔,支流众多,是中国输沙量最大的河流,以干旱和半干旱气候为主,降水主要集中在夏季。研究区域的地质类型主要是中游的黄土区和下游的黏土和碎屑沉积物[15-16]。黄河一直以来以其“水沙异源”(90%泥沙来自中游黄土高原,60%径流来自上游)、“高悬浮泥沙浓度(高含沙量导致了河床沉积形成地上悬河)”、“灾害性”闻名于世,为改变这一状况我国实行了一系列的措施,包括黄土区的退耕还林、还草和大型水坝的建设等。小浪底水库是黄河最后一个峡谷段的水库,控制着黄河90%以上的径流量和绝大多数的泥沙[17]。黄河中下游通过小浪底、三门峡、万家寨等大型水库的联合调度进行调水调沙,可以有效地减小中下游河道的淤积,减少洪涝灾害的发生,并可以满足农业灌溉和城市用水的需求。
流域DMn主要来源于岩石风化产物、悬浮利颗粒物、沉积物再悬浮的溶出等潜在物源,其中黄河中游黄土中Mn的平均含量为552.7 mg/kg,普遍低于低于中国和世界土壤中Mn的平均含量[18], 冯精兰等在黄河中下游设置了6个采样点,观察到黄河干流沉积物中Mn的含量在372.59~509.62 mg/kg之间,且主要以醋酸结合态和残渣态为主,富集因子(EF)在1左右或小于1,表现出很好的陆源性,表明受人为污染较小[19],而在黄河中游的郑州段沉积物中Mn的平均含量较高为843.56 mg/kg[20]。据Qiao在黄河下游(以利津站为重点)研究了悬浮颗粒物中的Mn,结果表明悬浮颗粒物中Mn的平均含量为500.00 mg/kg[21]。程柳在小浪底水库的研究结果表明表层沉积物中Mn的含量范围为627.79~795.95 mg/kg,其中以库首区域浓度最高[22]。这些潜在的物源都会影响到黄河中下游DMn的分布。
近几年来多位研究者对黄河中下游及小浪底水库的关键水环境要素、生源要素的分布及变化特征开展了调查研究。有学者探究了调水调沙、时空变化等因素对黄河中下游及小浪底水库溶解态铝、N2O、镭同位素、有机碳等关键参数生物地球化学行为的影响[23-26]。吴念等及Wu等研究了自然事件以及人类活动对黄河下游营养盐组成及输出通量的影响[27-28]。黄河流域Mn的研究较少,近几年的研究主要是在河口区域和黄河上游区域[29-30],因此本研究的结果为深入认识黄河中下游及小浪底水库DMn的生物地球化学循环提供基础数据。
2 采样与分析方法 2.1 样品采集和预处理分别于2017年6月、2017年12月、2018年5月、2018年9月对黄河中下游进行了观测和采样,其中2018年9月航次在洪水调控以后进行,采样站位如图 1所示。黄河干流的采样点分布在从中游的壶口到下游的开元浮桥,仅采集表层样品,不同季节观测站位略有不同(见表 1)。在小浪底水库共设置15个观测断面,不同季节断面的采样密度不同,但全水深断面每个季节均采样。自大坝端(库首)开始,间隔采集全水深或表层样品(见图 1),其中夏季航次在小浪底水库的左岸、中心、右岸设置了左、中、右线采样。坝前1断面距离大坝约为3.1 km,2017年12月采样时水深为76 m,2018年9月采样处在黄河2号洪水调控后期,水深为42.5 m。
|
图 1 黄河中下游及小浪底水库采样站位图 Fig. 1 Sampling stations in the in the Middle and Lower Reaches of the Yellow River and Xiaolangdi Reservoir |
|
|
表 1 四个航次黄河中下游采样站位及缩写 Table 1 Name and english abbreviation of sampling stations in the middle and lower reaches of the Yellow River from 2017 to 2018 |
采样前,采样器(Niskin采水器或聚乙烯采样桶)均用酸清洗且用Milli-Q水冲至中性,采样瓶为酸浸泡并处理好的Nalgene公司生产的1 L高密度聚乙烯采样瓶。沿程采样时,在黄河浮桥或者公路大桥中心进行采样。在实验室用Nalgene滤器(酸处理浸泡后,Milli-Q水清洗至中性)和0.45 μm醋酸纤维膜(经pH=2的盐酸浸泡并用Milli-Q水浸泡至中性)过滤,过滤后的样品用250 mL Nalgene样品瓶冷冻(-20 ℃)保存或者加入400 μL亚沸蒸馏提纯过的优级纯Merck盐酸酸化至pH=2(夏季航次)室温保存。滤膜上所得即为SPM样品,其含量是过滤前后烘干滤膜的质量差值。现场条件下将Milli-Q水过滤做空白水样,以衡量现场环境、过滤及样品瓶对DMn含量的影响。利用GARMIN FishFinder 240测深仪测量水深,通过多参数水质分析仪(RBR)测定水温(T)、pH、溶解氧(DO),然后根据现场温度下的DO理论值与DO实测值求得表观耗氧量(AOU),叶绿素a(Chl a)根据“海洋监测规范”中的方法,利用Turner Ⅱ型荧光光度计测定获得。
2.2 样品测定在实验室中采用隐色孔雀绿高碘酸钠催化动力学分光光度法测定样品中DMn的含量[31],该方法检出限为0.6 nmol·L-1 (3σ),对空白和浓度为5.5 nmol·L-1的样品分析的精密度分别为6.8 %和2.7 %。采用本方法测定了中国环境保护标准样品(GSB 07-1189-2000),分析结果(0.30±0.008) μg/L与推荐值(0.30±0.015) μg/L之间无显著性差异(t检验,p>0.05,n=11)。
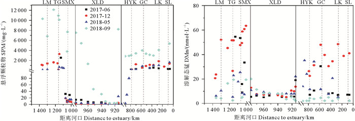
3 结果与讨论 3.1 黄河中下游沿程DMn的分布及季节变化表 2给出了黄河中下游沿程DMn及相关水文参数的范围和平均值,受到不同采样地点岩石土壤类型和人为活动扰动等因素的影响,黄河中下游沿程DMn的浓度以及其他水文参数波动范围较大,DMn的含量在2.1~63.5 nmol·L-1范围之间波动且存在明显的季节性差异,冬季DMn的浓度显著高于其他季节,秋季DMn浓度最低(t检验,p<0.05,n=21)。秋季黄河受洪水调控等人为因素的影响使得沿程DMn的浓度最低。2017年是黄河的特枯年,夏季径流量很低,冬季黄河径流量有所上升,有利于将流域的风化产物溶解带入河流,同时伴随着沉积物再悬浮过程的释放使DMn浓度增加[32]。图 2给出了黄河中下游沿程SPM、DMn的时空分布,由于沿程仅采集表层样品,因此水库区域也只使用表层的数据。不同季节黄河中下游DMn的沿程变化规律并不明显,壶口至龙门或吴王浮桥区域DMn的浓度升高,主要受流域地貌类型的改变影响,壶口区域主要是峡谷为主而龙门以下主要是黄土塬为主,黄河流出龙门以后河道变宽且两岸耕地密集,河流侵蚀作用变强使更多的岩石风化产物进入水体因此可能会导致DMn的升高。在渭河口(潼关)观测到DMn的低值,可能受到渭河支流汇入的影响。黄河水流经水库(三门峡、小浪底水库)时DMn的浓度略有降低,且水库大坝后的浓度高于坝前,表现出水库对黄河流域DMn的清除作用。由图 2可见,沿程DMn分布与SPM的分布规律类似,都表现为库区浓度显著低于水库上、下游河段的分布特征,可能是由于流经黄土高坡携带大量SPM的河水在进入水库前约50 km开始由于水流放缓而逐渐沉降并吸附水体中的DMn,导致SPM及DMn含量显著降低,随着小浪底大坝放水冲击水库以下河段的河床,水库库首底层以及下游河段河床的SPM浓度升高,沉积物再悬浮会释放大量的DMn进入水库以下水体,因此造成了上述分布特征。
|
|
表 2 2017—2018年黄河中下游沿程4个航次径流量、T、SPM、DO和DMn的浓度范围 Table 2 The ranges of runoff temperature, SPM, and concentrations of DO and DMn in the middle and lower reaches of the Yellow River from 2017 to 2018 |
|
图 2 黄河中下游沿程SPM、DMn的分布 Fig. 2 Distribution of SPM and DMn along the middle and lower reaches of the Yellow River |
表 3给出了2017—2018四个季节小浪底水库T、Chl a、SPM、DO、DMn的浓度范围和平均值,四个航次小浪底水库DMn的浓度在2.2~46.5 nmol·L-1范围之间波动,夏季平均浓度最高,春、冬季次之,秋季浓度最低。图 3给出了四个季节小浪底水库DMn的断面分布图,夏季水库左、中、右线DMn之间不存在显著性差异(t检验,p<0.05,n=24),所以水库中左、中、右线水体DMn的分布规律相似,因此本文夏季只给出中线DMn的断面分布图。由于数据范围相同,图中Color bar为四个四季共用。黄新莹等[24]报道了调查期间小浪底水库T、DO、SPM、Chl a的断面分布,这里仅简要总结其分布特征:春、夏季库区水体层化明显,底层存在DO的最小值区(夏季<143.75 μmol·L-1,春季<240.63 μmol·L-1);水库SPM高值区主要出现在库首底层水体,且在洪水调控后的秋季浓度达到最高;夏、秋季水库表层(尤其是库首表层)存在明显的Chl a高值区(夏季>7.00 g·L-1,秋季>5.00 g·L-1)。由图 3可见,不同季节DMn的分布空间差异较大,但整体都表现出在底层存在DMn的高值区,且除冬季外库首底层的DMn浓度要显著高于库尾底层。水库DMn的高值区往往对应着底层SPM的高值区或DO的低值区,其中夏、春季水库底层存在DMn的高值区,可能是底层低氧环境中有机质降解再生的结果[33]。冬季航次DO的空间差异不大,此时DMn的含量受DO的影响较小,库尾底层DMn的高值区可能与水库上游高DMn水的流入有关。另外在夏季和秋季航次库首表层水体中存在DMn的低值区,与Chl a的高值区相对应,显示受到浮游植物清除的影响。具体影响因素将在下节详细讨论。
|
|
表 3 2017—2018年小浪底水库4个航次的T、SPM、DO、Chl a和DMn的浓度范围 Table 3 The ranges of temperature, SPM, Chl a and concentrations of DO and DMn in the Xiaolangdi Reservoir from 2017 to 2018 |
|
( 白色实线以上、白色虚线以下分别代表Chl a、DO的高值区和最小值区。Above the solid white line and below the dotted white line represent the high value region and minimum value region of Chl a and DO, respectively. ) 图 3 小浪底水库DMn的断面分布 Fig. 3 Vertical profiles of water DMn in the Xiaolangdi Reservoir |
2018年9月秋季的采样时间位于当年洪水调控和调水调沙之后,对比沿程和水库,秋季DMn的浓度均显著低于其他季节(t检验,p<0.05,n=21),尤其以小浪底水库以及水库下游河段更为明显,取小浪底水库2018年5月和2018年9月相同断面相同层次的DMn平均值进行比较,发现春季较秋季整体高出1.1 nmol·L-1,选取两个季节小浪底水库以下河段相同站位DMn的平均值进行比较,春季较秋季高出12.1 nmol·L-1,表明调水调沙和洪水调控对水库下游DMn的影响更为显著,且整体表现出对黄河中下游DMn的清除。
2017和2018年是分别是黄河的枯水期和丰水期,2017沿程全年平均径流量约仅为2018年53.2%。选取沿程四个季节径流量平均值与DMn的平均值以及高村、将军渡、泺口浮桥四个季节径流量与DMn的数据来探讨黄河沿程径流量的季节变化对DMn分布的影响。从图 4可以看出,无论是从黄河中下游整体还是具体的几个站位的DMn对径流量变化的响应来看,在2017年枯水年份,随着径流量的升高DMn也随之升高,2018年DMn随径流量的升高而降低,表现为流量升高对DMn的稀释作用。2018年5月和2018年9月两个季节之间径流量增长了约981 m3/s,期间DMn平均浓度降低了13.1 nmol·L-1。造成这种现象的原因可能是2017年相对于2018年水量锐减,河水的水动力减弱,进入到河水中的岩石风化产物减少,从夏季到冬季随着径流量的逐渐升高,河面变宽、水动力增强,会导致更多的岩石风化产物等外在物源进入河水并溶出,因此没有表现出河水对DMn的稀释作用,反而是随着净流量的升高而升高。
|
图 4 四个航次沿程以及高村、将军渡、泺口站径流量与DMn的关系 Fig. 4 The relationship between runoff and DMn in four oruises in the middle and lower reaches of the Yellow River and at Gaocun, Jiangjundu and Luokou stations |
自然水体中的Mn主要来源于岩石风化产物的溶解,水体中的悬浮颗粒物对Mn的吸附-解吸作用使其既是水体中DMn的来源也可能是汇。为探究颗粒物吸附解吸作用对小浪底水库DMn行为的影响,引入吸附模型进行计算[34],其中Kd为元素在颗粒物表面的分配系数:
| $ {K_d} = \frac{{{C_p} \times {{10}^6}}}{{{C_d} \times \left[ {SPM} \right]}}。$ | (1) |
式中:Kd的单位是mL/g;公式中[SPM]表示水体中SPM的浓度(单位mg/L);Cp为水体中颗粒活性Mn的浓度,即吸附在颗粒物表面的Mn浓度(单位nmol·L-1);Cd为水体中溶解态Mn的浓度(单位nmol·L-1)。DMn的条件平衡常数Kd在不同水环境中的范围为104~107 mL/g[35]。假设小浪底水库的DMn颗粒活性明显,在水体中仅通过颗粒物的吸附作用自水体中清除,忽略其他过程对DMn的影响,且悬浮颗粒物表面只提供有限的吸附点位[36],再假设水体没有颗粒物时DMn的初始浓度为C0,即C0为颗粒活性态Mn和溶解态Mn之和:
| $ {C_0} = {C_d} + {C_p}。$ | (2) |
四个航次小浪底水库中DMn的浓度范围为2.2~46.5 nmol·L-1,由Wang等的研究工作表明,颗粒物-水界面分配体系中颗粒活性态的Mn约占C0的95%以上[12, 37],因此根据观测到的小浪底库区DMn的浓度范围可以估算出C0的浓度范围在44.0~930.0 nmol·L-1之间。将公式(1)和(2)整合变形可以得到DMn随SPM的变化关系式:
| $ {C_d} = \frac{{{C_0}}}{{1 + \left( {\left[ {SPM} \right] \times {K_d} \times {{10}^{ - 6}}} \right)}}。$ | (3) |
基于公式(3),本文分别选取了Kd为104、105、106、107 mL/g时做了吸附解吸模拟,发现只有在Kd取值107 mL/g时,水库内全水深的实测数据才能较好的落在两条曲线内,因此表明在小浪底水库的水环境中Mn在颗粒物表面的分配系数为Kd=107 mL/g。由图 5可见除了夏季水库底层的几个点外,夏季、冬季、春季三个航次实际观测的结果大都在模拟曲线的区间范围内,说明SPM的吸附解吸是影响小浪底水库DMn分布的重要影响因素。2017年6月航次观测期间水库层化显著,底层存在低氧区,对应出现了DMn的高值,使得部分数据点超出了吸附模型模拟曲线的范围。秋季航次的观测数据并没有落在吸附解吸模拟曲线范围之内(图未给出),这是由于秋季采样在2018年黄河2号洪水调控之后进行,人为水、沙调控的扰动使得库区水体SPM浓度极高,且吸附模型是假设水体中颗粒物-水界面的反应达到平衡,而洪水调控事件使得水体、悬浮颗粒物的存留时间较短,处于非平衡状态,因此可能使得实际观测的点都偏离吸附曲线的区间范围。
|
图 5 黄河小浪底SPM对DMn吸附-解吸的函数模拟 Fig. 5 Modeling of dissolved DMn as a function of SPM in the Xiaolangdi Reservoir |
小浪底水库四个季节SPM的平均浓度分别为2.9、9.5、1 063.0、2.4 mg/L,水库SPM的高值区主要分布在库尾,且表现由表层向底层逐渐升高的趋势[24]。冬季和春季水库中整体SPM的浓度较低,底层界面SPM对DMn的作用不明显。因此选取夏季和秋季底层SPM与DMn的数据来探讨底部界面SPM对DMn的作用。由图 6可见,两个季节底层SPM与DMn表现出不同的作用,在夏季SPM清除底层的DMn,秋季SPM再悬浮释放DMn,这可能是因为秋季人为水沙调控作用下河水中SPM的浓度激增有利于SPM释放DMn。
|
图 6 2017-06和2018-09航次小浪底水库底层SPM与DMn的关系 Fig. 6 Relationship between SPM and DMn at the bottom of Xiaolangdi Reservoir during the 2017-06 and 2018-09 cruises |
路林超等发现,黑河流域的金盆水库4~5月份底层水体DO最小值区(<93.75 μmol·L-1)中DMn的含量可以高达0.109 mg/L[38]。小浪底水库夏季和春季处于水库放水的中后期,水库内水体存留时间较长,水库存在明显的分层现象,水库底层存在明显的DO最小值区[24],且对应着DMn的高值。选取这两个季节水深10 m以下区域的DO和DMn数据分析得到图 7,从图中可以看出水库底层区域DO与DMn存在明显的负相关关系,尤其是在水体层化更加显著的夏季。夏季水库底层DMn的分布是受到SPM和DO的共同影响,但是观察SPM以及DO的主要影响范围可以看出,SPM主要在库尾的底层影响DMn的分布而DO则主要在库首底层影响DMn的分布。图 8给出了夏、春季底层AOU与DMn含量的相关关系,小浪底水库底层AOU大于62.5 μmol/L时,DMn含量随AOU升高而增加,这表明在底层低氧环境中有机质降解再生以及Mn的形态转化可能会导致DMn的释放。
|
图 7 2017-06和2018-05航次小浪底水库底层DO与DMn的关系 Fig. 7 Relationship between DO and DMn at the bottom layer of Xiaolangdi Reservoir during the 2017-06 and 2018-05 cruises |
|
图 8 2017-06和2018-05航次小浪底水库底层AOU与DMn的关系 Fig. 8 Relationship between AOU and DMn at the bottom layer of Xiaolangdi Reservoir during the 2017-06 and 2018-05 cruises |
夏季和秋季航次的Chl a浓度较高,高值主要出现在库首表层水体中[24],表层Chl a的平均浓度分别为4.04和3.28 μg/L。选取小浪底水库表层区域探讨浮游植物对DMn的影响,由图 9可以看出,表层水体Chl a与DMn存在显著的负相关关系,表明浮游植物主动摄取水体中的DMn,从而表现出对DMn的清除作用。在夏季库尾表层虽然也存在Chl a的高值区,但是库尾表层DMn的浓度(6.6 nmol·L-1)与库中表层DMn的浓度(6.4 nmol·L-1)差异很小,因此考虑库尾的浮游植物对水库DMn的影响有限。另外,在夏、秋季库首区域表层水体均存在DMn的相对低值,相比库首水库中部区域存在Chl a低值区,因此假设水库中部断面表层(10 m以上)DMn的浓度为未受浮游植物活动影响的DMn背景值(夏季和秋季分别为6.7和7.7 nmol·L-1),而库首表层DMn的含量为受浮游植物吸收作用后的值(夏季和秋季分别为5.4和4.9 nmol·L-1),且两个季节库首和水库中部区域SPM的浓度相近,所以由SPM的吸附作用带来的影响可以忽略。由此可以估算出夏季和秋季表层水体中浮游植物对DMn的清除率分别约为19%和36%;可以看出秋季浮游植物的清除率相对较高,可能与不同季节小浪底水库浮游植物优势种的转变有关(夏季的优势种主要是微囊藻而到了秋季的优势种主要是针杆藻)[39-40]。
|
图 9 2017-06和2018-09航次小浪底水库表层Chl a与DMn的关系 Fig. 9 Relationship between Chl a and DMn at the surface layer of Xiaolangdi Reservoir during the 2017-06 and 2018-09 cruises |
通过对2017年6月、12月和2018年5月、9月黄河中下游及小浪底水库DMn的含量的分布、季节变化及其影响因素的探究,得出以下主要结论:
(1) 2017—2018年四个航次中,冬季黄河中下游沿程DMn浓度显著高于其他季节,秋季DMn浓度最低;黄河中下游沿程DMn分布表现为水库区域浓度显著低于水库上、下游;小浪底水库夏季DMn的浓度最高,秋季最低。小浪底水库中DMn的空间分布差异较大,但整体均表现为在底层高于表层。除冬季外,小浪底水库库首底层DMn的浓度高于库尾底层。
(2) 沿程DMn的分布会受到支流汇入及地貌改变的影响;对比了洪水及调水调沙前后黄河中下游DMn的变化发现水库区域DMn整体下降了1.11 nmol·L-1,而水库下游河道DMn下降了12.1 nmol·L-1;径流量变化是影响沿程DMn分布的重要因素,在枯水期河水中DMn随径流量升高而升高,丰水期则表现出流量增大对DMn的稀释作用。
(3) 水库中SPM的吸附解吸是影响DMn分布的重要因素,SPM对DMn的影响主要在库尾区域,在底层界面处夏季表现出对DMn的清除而秋季则表现出对DMn的释放。夏、春季底层低氧区由于有机质降解释放,DMn浓度出现高值,而且在AOU大于62.5 μmol/L时DMn的低氧再生更加显著。夏、秋季Chl a浓度较高的表层发现浮游植物对DMn存在显著的清除作用。
致谢: 衷心感谢中国海洋大学海洋生物地球化学实验室的老师和同学们在样品采集、分析及数据的讨论过程中给予的帮助。
| [1] |
Wedepohl K H. The composition of the continental crust[J]. Geochimica et Cosmochimica Acta, 1995, 59(7): 1217-1232. DOI:10.1016/0016-7037(95)00038-2 ( 0) |
| [2] |
Landing W M, Bruland K W. Manganese in the North Pacific[J]. Earth and Planetary Science Letters, 1980, 49(1): 45-56. DOI:10.1016/0012-821X(80)90149-1 ( 0) |
| [3] |
刘家琦, 任景玲, 陈晶, 等. 桑沟湾不同形态锰的分布、季节变化及影响因素[J]. 海洋学报, 2021, 43(2): 16-27. Liu J Q, Ren J L, Chen J, et al. Distributions, seasonal variations and influence factors of different manganese species in the Sanggou Bay[J]. Haiyang Xuebao, 2021, 43(2): 16-27. ( 0) |
| [4] |
Middag R, Baar H J W D, Laan P, et al. Dissolved manganese in the Atlantic sector of the Southern Ocean[J]. Deep Sea Research Part Ⅱ Topical Studies in Oceanography, 2011, 58(25-26): 2661-2677. DOI:10.1016/j.dsr2.2010.10.043 ( 0) |
| [5] |
Sunda W G, Huntsman S A, Harvey G R. Photoreduction of manganese oxides in seawater and its geochemical and biological implications[J]. Nature, 1983, 301(5897): 234-236. DOI:10.1038/301234a0 ( 0) |
| [6] |
任景玲, 张桂玲, 刘素美, 等. 海洋中锰的生物地球化学循环研究[J]. 海洋科学进展, 2012, 30(3): 432-440. Ren J L, Zhang G L, Liu S M, et al. Review on the study of biogeochemical cycle of manganese in the oceans[J]. Advances in Marine Science, 2012, 30(3): 432-440. DOI:10.3969/j.issn.1671-6647.2012.03.014 ( 0) |
| [7] |
Bruland K W, Donat J R, Hutchins D A. Interactive influences of bioactive trace metals on biological production in oceanic waters[J]. Limnology and Oceanography, 1991, 36(8): 1555-1577. DOI:10.4319/lo.1991.36.8.1555 ( 0) |
| [8] |
Da Silva J J R F, Williams R J P. The biological chemistry of the elements: The inorganic chemistry of life[M]. Oxford: Oxford University Press, 2001.
( 0) |
| [9] |
Browning T J, Achterberg E P, Engel A, et al. Manganese co-limitation of phytoplankton growth and major nutrient drawdown in the Southern Ocean[J]. Nature Communications, 2021, 12(1): 1-9. DOI:10.1038/s41467-020-20314-w ( 0) |
| [10] |
张昕雨. 黑河上中游重金属污染特征及生态风险评价[D]. 兰州: 兰州理工大学, 2021. Zhang X Y. Characteristics and Ecological Risk Evaluation of Heavy Metal Pollution in the Upper and Middle reaches of Heihe River[D]. Lanzhou: Lanzhou University of Technology, 2021. ( 0) |
| [11] |
李晶莹, 张经. 流域盆地的风化作用与全球气候变化[J]. 地球科学进展, 2002, 17(3): 411-419. Li J Y, Zhang J. Weathering of watershed basins and global climatic change[J]. Advances in Earth Science, 2002, 17(3): 411-419. DOI:10.3321/j.issn:1001-8166.2002.03.018 ( 0) |
| [12] |
Wang Z W, Ren J L, Jiang S, et al. Geochemical behavior of dissolved manganese in the East China Sea: Seasonal variation, estuarine removal, and regeneration under suboxic conditions[J]. Geochemistry, Geophysics, Geosystems, 2016, 17(2): 282-299. DOI:10.1002/2015GC006128 ( 0) |
| [13] |
Beutel M W, Leonard T M, Dent S R, et al. Effects of aerobic and anaerobic conditions on P, N, Fe, Mn, and Hg accumulation in waters overlaying profundal sediments of an oligo-mesotrophic lake[J]. Water Research, 2008, 42(8): 1953-1962. ( 0) |
| [14] |
Munger Z W, Shahady T D, Schreiber M E. Effects of reservoir stratification and watershed hydrology on manganese and iron in a dam-regulated river[J]. Hydrological Processes, 2017, 31(8): 1622-1635. DOI:10.1002/hyp.11131 ( 0) |
| [15] |
Chen J, Wang F, Meybeck M, et al. Spatial and temporal analysis of water chemistry records (1958a-2000) in the Huanghe (Yellow River) basin[J]. Global Biogeochemical Cycles, 2005, 19(3): GB3016. ( 0) |
| [16] |
Pang H, Pan B, Garzanti E, et al. Mineralogy and geochemistry of modern Yellow River sediments: Implications for weathering and provenance[J]. Chemical Geology, 2018, 488(22): 76-86. ( 0) |
| [17] |
王普庆. 小浪底水库运用初期库区泥沙淤积分布特征[J]. 人民黄河, 2012, 34(10): 26-27+31. Wang P Q. Distribution characteristics of sediment deposition in the initial operation of Xiaolangdi Reservoir[J]. Yellow River, 2012, 34(10): 26-27+31. ( 0) |
| [18] |
Zhang J, Wei W H, Liu M G, et al. Element concentration and partitioning of loess in the Huanghe (Yellow River) drainage basin, north China[J]. Chemical Geology, 1990, 89(1-2): 189-199. DOI:10.1016/0009-2541(90)90067-H ( 0) |
| [19] |
冯精兰, 胡鹏抟, 刘群, 等. 黄河中下游干流沉积物中重金属的赋存形态及其生态风险[J]. 环境化学, 2015, 34(1): 178-185. Feng J L, Hu P T, Liu Q, et al. Chemical speciation and risk assessment of heavy metals in the sediments from the mainstream of middle and lower reaches of Yellow River[J]. Environmental Chemistry, 2015, 34(1): 178-185. ( 0) |
| [20] |
Cheng Q, Wang W, Wang H. Investigation of the heavy metal contamination of the sediments from the Yellow River Wetland Nature Reserve of Zhengzhou, China[J]. Iranian Journal of Public Health, 2012, 41(3): 26. ( 0) |
| [21] |
Qiao S, Yang Z, Pan Y, et al. Metals in suspended sediments from the Changjiang (Yangtze River) and Huanghe (Yellow River) to the sea, and their comparison[J]. Estuarine, Coastal and Shelf Science, 2007, 74(3): 539-548. DOI:10.1016/j.ecss.2007.05.042 ( 0) |
| [22] |
程柳. 小浪底水库环境介质中重金属的赋存特征与风险评价[D]. 焦作: 河南理工大学, 2014. Cheng L. Characteristic and Risk Assessment of Heavy Metals in Environmental media of Xiaolangdi Reservoir[D]. Jiaozuo: Henan Polytechnic University, 2014. ( 0) |
| [23] |
Wang Z W, Ren J L, Zhang G L, et al. Behavior of dissolved aluminum in the Huanghe (Yellow River) and its estuary: Impact of human activities and sorption processes[J]. Estuarine, Coastal and Shelf Science, 2015, 153: 86-95. DOI:10.1016/j.ecss.2014.12.010 ( 0) |
| [24] |
黄新莹, 姚鹏, 宋国栋, 等. 小浪底水库关键水体环境要素的时空变化特征及其影响因素[J]. 中国海洋大学学报(自然科学版), 2020, 50(4): 111-120. Huang X Y, Yao P, Song G D, et al. Control on Spatial-temporal variation of hydrological features in the Xiaolangdi Reservoir[J]. Periodical of Ocean University of China, 2020, 50(4): 111-120. ( 0) |
| [25] |
Xu B, Yang D, Yao P, et al. A new perspective for assessing water transport and associated retention effects in a large reservoir[J]. Geophysical Research Letters, 2018, 45(18): 9642-9650. ( 0) |
| [26] |
吴丹, 姚鹏, 黄新莹, 等. 黄河2017特枯年入海有机碳的输运特征[J]. 中国海洋大学学报(自然科学版), 2020, 50(S1): 118-127. Wu D, Yao P, Huang X Y, et al. Transport of organic carbon in the lower Yellow River in the extreme drought year of 2017[J]. Periodical of Ocean University of China, 2020, 50(S1): 118-127. ( 0) |
| [27] |
Wu N, Liu S M, Zhang G L, et al. Anthropogenic impacts on nutrient variability in the lower Yellow River[J]. Science of the Total Environment, 2021, 755: 142488. ( 0) |
| [28] |
吴念, 刘素美, 张桂玲. 黄河下游调水调沙与暴雨事件对营养盐输出通量的影响[J]. 海洋学报, 2017, 39(6): 114-128. Wu N, Liu S M, Zhang G L. Impacts of water-sediment regulation and rainstorm events on the nutrient transports in the lower Huanghe River[J]. Haiyang Xuebao, 2017, 39(6): 114-128. ( 0) |
| [29] |
Liu H, Liu G, Da C, et al. Concentration and fractionation of heavy metals in the Old Yellow River Estuary, China[J]. Journal of Environmental Quality, 2015, 44(1): 174-182. ( 0) |
| [30] |
Zuo H, Ma X, Yang K, et al. Distribution and risk assessment of metals in surface water and sediment in the upper reaches of the yellow river, China[J]. Soil and Sediment Contamination: An International Journal, 2016, 25(8): 917-940. ( 0) |
| [31] |
房瑞雪. 桑沟湾不同形态锰的分布、季节变化及其影响因素[D]. 青岛: 中国海洋大学, 2015. Fang R X. Distributions, Seasonal Variations and Influence Factors of the Different Manganese Species in the Sanggou Bay[D]. Qingdao: Ocean University of China, 2015. ( 0) |
| [32] |
Yujun Y I, Zhaoyin W, Zhang K, et al. Sediment pollution and its effect on fish through food chain in the Yangtze River[J]. International Journal of Sediment Research, 2008, 23(4): 338-347. ( 0) |
| [33] |
Chen G, Wu J. Meridional distribution of dissolved manganese in the tropical and Equatorial Pacific[J]. Geochimica et Cosmochimica Acta, 2019, 263: 50-67. ( 0) |
| [34] |
Hatje V, Payne T E, Hill D M, et al. Kinetics of trace element uptake and release by particles in estuarine waters: effects of pH, salinity, and particle loading[J]. Environment International, 2003, 29(5): 619-629. ( 0) |
| [35] |
Nyffeler U P, Li Y H, Santschi P H. A kinetic approach to describe trace-element distribution between particles and solution in natural aquatic systems[J]. Geochimica et Cosmochimica Acta, 1984, 48(7): 1513-1522. ( 0) |
| [36] |
Eyrolle F, Benedetti M F, Benaim J Y, et al. The distributions of colloidal and dissolved organic carbon, major elements, and trace elements in small tropical catchments[J]. Geochimica et Cosmochimica Acta, 1996, 60(19): 3643-3656. ( 0) |
| [37] |
Upadhyay S. Sorption model for dissolved and leachable particulate aluminium in the Great Ouse Estuary, England[J]. Aquatic Geochemistry, 2012, 18(3): 243-262. ( 0) |
| [38] |
路林超, 黄廷林, 李楠, 等. 金盆水库沉积物铁锰释放规律[J]. 环境科学, 2020, 41(7): 3231-3239. Lu L C, Huang T L, Li N, et al. Release mechanisms of iron and manganese from sediments in Jinpen Reservoir[J]. Environmental Science, 2020, 41(7): 3231-3239. ( 0) |
| [39] |
石心慧. 小浪底水库微型生物群落动态研究[D]. 郑州: 河南农业大学, 2017. Shi X H. Dynamic Research on Microbial Community of Xiaolangdi Reservoir[D]. Zhengzhou: Henan Agricultural University, 2017. ( 0) |
| [40] |
Song J, Hou C, Liu Q, et al. Spatial and temporal variations in the plankton community because of water and sediment regulation in the lower reaches of Yellow River[J]. Journal of Cleaner Production, 2020, 261: 120972. ( 0) |
2022, Vol. 52



0)