海气通量交换是海气相互作用的重要环节,海洋通过潜热、感热等过程改变自身热量从而改变大气下垫面的温度,进一步影响大气环流;大气通过风力、风向影响海洋上层运动、混合和温盐结构等[1]。自Saji等[2]、Webster等[3]首次提出印度洋偶极子概念以来,作为印度洋重要的海气相互作用现象,近些年来印度洋在海气相互作用的研究中具有重要地位,但系统地对印度洋海气热通量的时空分布研究较少。许乃猷等[4]研究指出,太平洋热通量的大小受控于风速的大小。周天军和张学洪[5]分析印度洋海表热通量异常与海表温度(SST, Sea surface temperature)倾向异常和SST异常的关系,指出冬季热带印度洋主要通过潜热加热来对大气进行强迫。胡瑞金等[6-7]和邱云等[8]指出, 北印度洋净热通量有着显著的半年周期特征,与印度洋季风紧密联系。Yu[9]等、陈锦年等[10]主要对印度洋潜热和感热的季节、年际和年代际变化作简要概括,陈锦年等[10]研究北印度洋净热通量对南海夏季风爆发的影响。Rahul等[11]、杨梦兮[12]和杜美芳等[13-14]着重研究了印度洋净热通量和海温的关系。Swain等[15]分析北印度洋热通量对厄尔尼诺事件的响应特征。印度洋主要位于低纬度海域并受南亚季风显著影响,是热带海气相互作用关键海域。因此,鉴于前人系统地对印度洋热通量的研究较少,本文着重对北印度洋热通量的时空分布、季节、年际和年代际变化规律进行探讨,为研究温盐分布、温跃层、障碍层、洋流、海洋热含量以及周边甚至遥远国家的气候[16-19]等奠定坚实的基础。
1 资料和方法海面净热通量收支方程:
| $ Q_{\text {net }}=Q_{\mathrm{sw}}+Q_{\mathrm{lw}}+Q_{\mathrm{sen}}+Q_{\text {lat }}。$ | (1) |
式中: Qnet为净热通量;Qsw和Qlw分别为太阳短波辐射和海面长波辐射;Qsen和Qlat为海面感热通量和潜热通量,当Qnet、Qsw、Qlw、Qsen和Qlat为正时,代表海洋得热,单位均为W/m2[20]。本文以海面净热通量大于零时,代表海洋得热,海面净热通量小于零时,代表海洋失热。同时,定义:12—2月为冬季,3—5月为春季,6—8月为夏季,9—11月为秋季。
本文使用分辨率为0.5°×0.5°、时间跨度为1979—2018年的热通量(TropFlux)月平均资料,Praveen Kumar等[21]、Pokhrel等[22]给出该数据集热通量的详细计算过程和评估。利用相关分析和线性倾向估计对印度洋(30°E—105°E,10°S—30°N)热通量的季节、年际和年代际变化规律进行研究,并结合经验正交分解(EOF)方法[23-26]对难以可视化的三维数据进行时空分离,系统地分析,呈现并了解热通量的空间分布特征和时间变化规律。
2 热通量的季节变化 2.1 月平均净热通量场的季节变化北印度洋被南亚季风控制,1和7月是印度洋夏季风和冬季风鼎盛时期,4和11月为季风转换期,因此,以1、4、7和11月代表冬、春、夏和秋季。净热通量的季节变化(见图 1)在冬季(见图 1(a))10°N以北为负值,等值线呈现纬向带状分布且从南往北损失的热量逐渐增大;阿拉伯海和孟加拉湾都是其东北部最大失热区,且阿拉伯海损失热量(-150 W/m2)比孟加拉湾损失热量(-120 W/m2)大。为重点研究这两个海域净热通量的变化,文中阿拉伯海和孟加拉湾分别取矩形:62°E—72°E,16°N—25°N和84°E—94°E,16°N—22°N,并且分别命名为阿拉伯海区和孟加拉湾区;取10°S—9°N的净热通量为正值且西部(>90 W/m2)比东部(>30 W/m2)大。从冬季到春季转变期间得热区开始北移,至春季(见图 1(b))可覆盖北印度洋,10°S—10°N的净热通量呈现西边大于东边;阿拉伯海呈现南边大于北边;孟加拉湾呈现北边大于南边的空间分布特征。阿拉伯海西部海域和赤道西部海域有一等值线大于120 W/m2的极大值区域,分别取53°E—62°E,10°N—15°N和45°E—55°E,4°S—5°N,并分别命名为索科特拉区和赤道区。从春季到夏季,太阳辐射是增强的,但赤道以北夏季获得的热量比春季获得的热量小,而且赤道以北仅亚丁湾海域有一失热区(见图 1(c)),取矩形(48°E—54°E,10°N—17°N)并命名为亚丁湾区。从夏季向秋季转换时10°N以北开始失热,赤道以南开始得热,至秋季(见图 1(d))阿拉伯海和孟加拉湾为最大失热中心,且阿拉伯海失热量值(>80 W/m2)大于孟加拉湾失热量值(>60 W/m2)。
|
图 1 气候平均净热通量的分布 Fig. 1 Distribution of mean net heat flux |
一年四季赤道到6°N的净热通量始终是得热状态。可见,北印度洋净热通量区域性特征较为明显,以上5个特征海区能概述北印度洋净热通量的整体特性,以下着重分析各个海域热通量的季节、年际和年代际时空分布和变化特征。
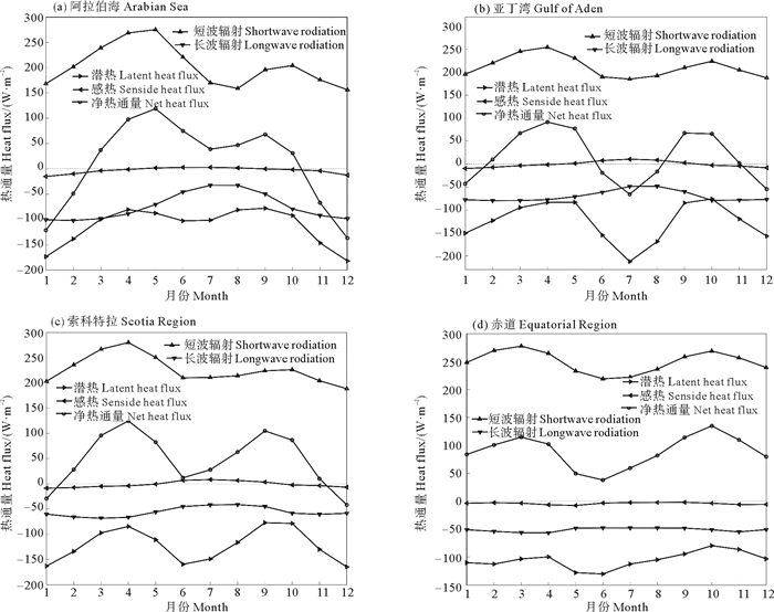
2.2 五个特征海区热通量的季节变化 2.2.1 失热区(1) 阿拉伯海:阿拉伯海海气热通量的季节变化如图 2(a)所示,该区是冬季失热最大的海区(失热量大于150 W/m2),具有冬季海洋失热的典型特征,因此不另外分析孟加拉湾失热区热通量的季节变化。该海域的净热通量在3—10月,均大于0,其中5月数值最大,为118 W/m2,12月最小,为-140 W/m2。净热通量与短波辐射和潜热具有相似的分布特征,其与短波辐射和潜热的相关系数分别为0.70和0.95;它们都呈现双峰分布特征,净热通量和短波辐射的春季峰值大于秋季峰值,潜热通量两峰值相当。潜热通量和长波辐射全年均为负值(海洋失热)且除4月外潜热通量都比长波辐射数值小(海洋失热大),潜热在春秋季最大值约为-80 W/m2,在冬季最小值约为-180 W/m2;长波辐射在夏季最大约为-50 W/m2,冬季最小约为-110 W/m2。感热通量在5—8月大于零,最大值为3 W/m2(海洋得热),其余月小于零,最小值为-15 W/m2;净热通量与长波辐射和感热的相关系数分别为0.57和0.88。此海域在3—10月净得热,在11—2月净失热;它的季节变化主要取决于潜热和感热的季节变化,但潜热更为重要。
|
图 2 北印度洋四个特征海区热通量的季节变化 Fig. 2 Seasonal variation of heat flux in four specific areas of the North Indian Ocean |
(2) 亚丁湾:亚丁湾失热区是夏季失热最明显的海域。该海域净热通量在夏季(6—8月)和冬季(12和1月)失热(见图 2(b)),最大失热在7月,为66 W/m2;春、秋季得热,最大得热在4月,为91 W/m2。净热通量与短波辐射和潜热的相关系数分别为0.89和0.94。潜热通量在10月,最大值为-76 W/m2;潜热通量在7月,最小值为-212 W/m2。感热通量在-10~10 W/m2之间变化,只有夏季有正值;10—12月的长波辐射通量明显变小(失热变大);净热通量与长波辐射通量和感热的相关系数分别为-0.36和-0.09。此海域在夏季和冬季净失热,其它季节净得热;它的季节变化主要取决于潜热通量的季节变化,但在冬季长波辐射具有重要作用。
2.2.2 得热区(1) 索科特拉: 索科特拉得热区是春季10°N以北和赤道西部海域具有相同量值且区域较大的海域(得热量>120 W/m2)。该海域净热通量只在冬季的12和1月失热(见图 2(c)),最大失热值为-40 W/m2,最大得热值为4月的125 W/m2。潜热通量和长波辐射通量全年小于0且都比长波辐射通量小(海洋失热大);潜热通量最大值为-77 W/m2,最小值为-165 W/m2,长波辐射通量最大值为-41 W/m2,最小值为-68 W/m2。感热通量在6—8月大于0,其它月小于0,最大值为8 W/m2,最小值为-9 W/m2。净热通量与短波、长波、潜热和感热通量的相关系数分别为0.82、-0.06、0.93和0.20。此海域在12、1月净失热,其它月净得热;它的季节变化主要取决于潜热和短波辐射的季节变化,但潜热更为重要。
(2) 赤道:赤道得热区是赤道终年得热的代表海域,最小值在6月,为38 W/m2,最大值在10月,为135 W/m2(见图 2(d))。潜热、感热和长波辐射通量全年小于0且潜热通量全年都比长波辐射通量和感热小(海洋失热大);潜热通量最大值在10月,为-80 W/m2,最小值在6月,为-130 W/m2,长波辐射通量最大值为-48 W/m2,最小值为-56 W/m2。感热通量最大值为-2 W/m2,最小值为-8 W/m2。净热通量与短波、长波、潜热和感热通量的相关关系分别为0.90、-0.59、0.89和0.15,此海域净热通量全年净得热;它的季节变化主要取决于潜热和短波辐射通量的季节变化,但短波更为重要。
2.3 五个特征海区热通量的年际和年代际变化 2.3.1 失热区(1) 阿拉伯海:图 3(a)为阿拉伯海失热区冬季(1月)海气热通量的时间(1979—2018年)序列图。从图中可知短波和长波辐射通量的变化不明显,净热通量与感热通量和潜热通量的相关系数分别为0.83和0.97,潜热变化幅度比感热变化幅度大,净热通量在-156~-66 W/m2之间波动。在1989—2002年期间,净热通量具有下降的趋势(海洋失热不断加大);在2014—2018年期间,净热通量具有上升的趋势(海洋失热不断减弱)。净热通量的年际和年代际变化主要由潜热通量的年际和年代际变化决定。
|
图 3 北印度洋五个特征海区热通量的年际变化 Fig. 3 Interannual variation of heat flux in five specific areas of the North Indian Ocean |
(2) 孟加拉湾:图 3(b)为孟加拉湾失热区冬季(1月)海气热通量的时间序列图。净热通量与感热通量和潜热通量的相关系数分别为0.87和0.98,净热通量在-150~-45 W/m2之间波动。在1979—1989年和2009—2018年期间的净热通量有下降的趋势(海洋失热不断加大)。
(3) 亚丁湾:图 3(c)为亚丁湾失热区夏季(7月)海气热通量的时间序列图。净热通量与感热和潜热的相关系数分别为-0.76和0.98。此海域海洋失热相比冬季海洋失热量值要小,但有明显的年际和年代际变化。在20世纪70年代末—80年代,净热通量具有年际变化,其数值在-50 W/m2上下波动;20世纪末—21世纪初,净热通量数值较小,在-80 W/m2上下波动;在2009—2018年,净热通量具有上升趋势,海洋失热减小;在1994年和2013—2014年净热通量大于零,海洋得热。可见,净热通量的年际和年代际变化主要由潜热通量的年际和年代际变化决定。
2.3.2 得热区(1) 索科特拉:图 3(d)为索科特拉得热区春季(4月)海气热通量的时间序列图。净热通量与感热和潜热的相关系数分别为0.31和0.86,感热和潜热通量始终为负值,净热通量具有较强的年际变化特征,在100~150 W/m2之间波动。
(2) 赤道:图 3(e)为赤道得热区春季(4月)海气热通量的时间序列图。净热通量与感热和潜热的相关系数分别为0.76和0.73。感热和潜热通量始终为负值,净热通量在70~140 W/m2之间波动,有着下降趋势(海洋得热变少)。可见,索科特拉得热区在春季具有和赤道得热区一样量值的得热量,而且始终保持着高得热的特性。
2.4 北印度洋净热通量的年际和年代际变化 2.4.1 冬季北印度洋净热通量的年际和年代际变化对1979—2018年冬季平均(12、1、2月)净热通量的异常场进行EOF分解, 得到3个独立模态,方差贡献率分别为30.71%、12.19%和10.97%,累计方差贡献率为53.87%。因此,它们的特征场及其相应的时间系数基本上反映了北印度洋夏季净热通量距平场的异常分布及其变化的主要特征。
北印度洋冬季净热通量距平场的第1模态的空间分布及其时间系数见图 4。从图中可知,第1模态对应较明显的年代际变化。在20世纪70年代末—80年代末,其时间系数为正,对应北印度洋,特别是阿拉伯海东北和孟加拉湾西北部海域为负异常,表明在这一段时间上该区冬季失热较多;10°N以北其它海域为正异常,代表在该时间段失热较少;10°S—10°N之间为正异常,表明在这一段时间上该区冬季得热较多;20世纪90年代末—21世纪初,其时间系数多为负值,此时阿拉伯海东北和孟加拉湾北部海域为正异常,失热变少;10°N以北其它海域为负异常,代表在该时间段失热变多;10°S—10°N之间为负异常,表明在这一段时间上该区冬季得热变少。
|
图 4 冬季净热通量距平场的第1模态空间分布(a)及时间系数(b)分布 Fig. 4 Spatial pattern (a) and corresponding time series (b) of EOF1 of net heat flux anomaly averaged over the Northern Indian Ocean in winter |
冬季净热通量距平场的第2模态的空间分布及其时间系数见图 5。从图中可知,第2模态对应较明显的年际和年代际变化,在20世纪70年代末—80年代末,其时间系数为正,对应北印度洋阿拉伯海中部和孟加拉湾中部海域为正异常,表明在这一段时间上该区冬季失热变少;10°N以北阿拉伯海北部和东部边缘为负异常,表明这段时间该区冬季海洋失热变多。10°S—10°N之间,东西两边为正异常,表明在这一段时间上该区冬季得热较多;热带印度洋中部为负异常表明,在这段时间该区冬季得热较少。2007—2018年之间,其时间系数多为负值,此时阿拉伯海中部和孟加拉湾中部海域为负异常,表明在这一段时间上该区冬季失热变多;10°S—10°N之间,热带印度洋中部为正异常,表明在这一段时间上该区冬季得热变多;东西部为负异常,得热变少。20世纪末—21世纪初,表现出一定的年际变化特征。
|
图 5 冬季净热通量距平场的第2模态空间分布(a)及时间系数(b)分布 Fig. 5 Spatial pattern (a) and corresponding time series (b) of EOF2 of net heat flux anomaly averaged over the Northern Indian Ocean in winter |
北印度洋冬季净热通量距平场的第3模态的空间分布及其时间系数见图 6。从图中可知,第3模态对应较明显的年际变化, 正异常中心位于北印度洋西北部,负异常中心位于北印度洋东南部,呈现西北和东南相反的变化分布特征。第3模态表现出较强的年际变化, 从此模态的空间分布及其时间系数知道,北印度洋东、西部净热通量异常的年际变化相反;北印度洋阿拉伯海净热通量异常的年际变化最大。
|
图 6 冬季净热通量距平场的第3模态空间分布(a)及时间系数(b)分布 Fig. 6 Spatial pattern (a) and corresponding time series (b) of EOF3 of net heat flux anomaly averaged over the Northern Indian Ocean in winter |
对1979—2018年夏季平均(6、7、8月)净热通量的异常场进行EOF分解,取前3个模态,方差贡献率分别为38.12%、11.38%和7.92%,累计方差贡献率为57.42%。
北印度洋夏季净热通量距平场的第1模态的空间分布及其时间系数见图 7。从图中可知,第1模态对应较明显的年代际变化, 在20世纪70年代末—80年代中期和21世纪10年代,其时间系数为正,对应北印度洋全海域正异常,这段时间该区夏季得热较多;20世纪90年代初—21世纪初期,其时间系数为负,对应北印度洋全海域负异常,这段时间该区夏季得热较少。从第1模态的空间分布可知,北印度洋西部是北印度洋净热通量年代际变化最明显的海域。
|
图 7 夏季净热通量距平场的第1模态空间分布(a)及时间系数(b)分布 Fig. 7 Spatial pattern (a) and corresponding time series (b) of EOF1 of net heat flux anomaly averaged over the Northern Indian Ocean in summer |
北印度洋夏季净热通量距平场的第2模态的空间分布及其时间系数见图 8。从图中可知,负异常位于北印度洋西南部,正异常位于北印度洋东北部,呈现东北和西南相反的变化特征。第2模态对应的时间序列表现出较强的年际变化, 从第2模态空间分布及其时间系数知道,北印度洋东北和西南部的净热通量异常的年际变化相反;北印度洋西南部净热通量异常的年际变化最大。
|
图 8 夏季净热通量距平场的第2模态空间分布(a)及时间系数(b)分布 Fig. 8 Spatial pattern (a) and corresponding time series (b) of EOF2 of net heat flux anomaly averaged over the Northern Indian Ocean in summer |
北印度洋夏季净热通量距平场的第3模态的空间分布及其时间系数见图 9。此模态对应较强的年代际变化,2002年之前其时间系数为正,对应阿拉伯海东部和孟加拉湾海域为负异常,这段时间该区夏季得热较少;10°S—10°N为正异常,这段时间该区夏季得热较多。2002年之后其时间系数为负,对应阿拉伯海东部和孟加拉湾海域为正异常,得热较多,10°S—10°N得热较少。从第3模态的空间分布知道,孟加拉湾海域是北印度洋净热通量年代际变化最明显的海域。
|
图 9 夏季净热通量距平场的第3模态空间分布(a)及时间系数(b)分布 Fig. 9 Spatial pattern (a) and corresponding time series (b) of EOF3 of net heat flux anomaly averaged over the Northern Indian Ocean in summer |
北印度洋净热通量呈现春季峰值大于秋季峰值的双峰分布特征,其季节、年际和年代际变化主要由潜热通量的季节、年际和年代际变化决定。阿拉伯海失热区是冬季失热最大的海域,可达150 W/m2;该区具有年代际变化,在近些年来该区失热不断减弱。孟加拉湾失热区在近些年来失热不断增强。亚丁湾失热区是夏季赤道以北唯一失热海域,失热量可达50 W/m2;在夏季和冬季均为净失热,夏季受潜热影响较大,冬季受长波辐射影响较大;在近些年来该区失热不断减弱。索科特拉得热区是春季10°N以北唯一和赤道得热区量值相当的海域,得热量可达120 W/m2,而且一直保持高得热的特性,赤道得热区具有下降的趋势。
对北印度洋净热通量异常场进行EOF分解,发现EOF1~3模态的特征向量及其时间序列大致反映该海区净热通量空间分布特征和年际以及年代际变化。北印度洋夏季第1模态表现出较强的年代际变化,热带印度洋西部海域为净热通量年代际变化最明显的海域。夏季第2模态表现出很强的北印度洋东北和西南的反向年际变化。夏季第3模态表现出较强的年代际变化。孟加拉湾海域是净热通量年代际变化最明显的海域。冬季第1模态对应明显的年代际变化,热带印度洋是净热通量年代际变化最明显的海域。冬季第2模态表现出较明显的年际和年代际变化, 阿拉伯海和孟加拉湾是净热通量年际和年代际变化最明显的海域。冬季第3模态主要是北印度洋东西部相反的年际变化特征。
| [1] |
翟方国. 西北太平洋海气界面热通量时空分布特征研究[J]. 海洋科学, 2009, 33(7): 37-42. Zhai F G. Characterization of the spatial and temporal distribution of heat fluxes at the sea-gas interface in the Northwest Pacific Ocean[J]. Marine Science, 2009, 33(7): 37-42. ( 0) |
| [2] |
Saji N H, Goswami B N, Vinayachandran P N, et al. A Dipole mode in the tropical Indian Ocean[J]. Nature, 1999, 401(6751): 360-363. ( 0) |
| [3] |
Webster P J, Moore A M, Loschnigg J P, et al. Coupled ocean-atmosphere dynamics in the Indian Ocean during 1997-98[J]. Nature, 1999, 401(6751): 356-360. DOI:10.1038/43848 ( 0) |
| [4] |
许乃猷, 徐启春, 王志联. 北太平洋热通量场的时空变化特征及其与大气环流的关系[J]. 海洋湖沼通报, 1994(2): 120-130. Xu Naiyu, Xu Qichun, Wang Zhilian. Spatial and temporal variability of the heat flux field in the North Pacific Ocean and its relationship with the atmospheric circulation[J]. Transactions of Oceanology Limnology, 1994(2): 120-130. DOI:10.13984/j.cnki.cn37-1141.1994.02.012 ( 0) |
| [5] |
周天军, 张学洪. 印度洋海气热通量交换研究[J]. 大气科学, 2002, 26(2): 161-169. Zhou T J, Zhang X H. Study on the heat flux exchange between sea and air in the Indian Ocean[J]. Atmospheric Science, 2002, 26(2): 161-169. ( 0) |
| [6] |
胡瑞金. 热带印度洋热收支和经向环流研究[D]. 青岛: 中国海洋大学, 2003. Hu R J, Study of Thermal Balance and Meridional Circulation in the Tropical Indian Ocean[D]. Qingdao: Ocean University of China, 2003. ( 0) |
| [7] |
胡瑞金, 刘秦玉, 孟祥凤. 北印度洋的经向热输送与热收支的季节与年际变化[J]. 中国海洋大学学报(自然科学版), 2005(3): 363-369. Hu R J, Liu Q Y, Meng X F. Seasonal and interannual variations of meridional heat transport and heat balance in the North Indian Ocean[J]. Periodical of Ocean University of China, 2005(3): 363-369. ( 0) |
| [8] |
邱云, 李立. 孟加拉湾上层环流研究综述[J]. 海洋科学进展, 2006(4): 593-603. Qiu Y, Li L. A review of the upper Bay of Bengal circulation[J]. Advances in Marine Science, 2006(4): 593-603. ( 0) |
| [9] |
Yu L S, Jin X Z, Robert A. Weller, annual, seasonal, and interannual variability of air-sea heat fluxes in the indian ocean[J]. Journal of Climate, 2007, 20(13): 3190-3209. DOI:10.1175/JCLI4163.1 ( 0) |
| [10] |
陈锦年, 左涛, 王宏娜. 印度洋热通量变化及其对南海夏季风爆发的影响[J]. 海洋与湖沼, 2012, 43(5): 884-890. Chen J N, Zuo Tao, Wang Hongna. Variation of heat flux in the Indian Ocean and its influence on the summer wind outbreak in the South China Sea[J]. Oceanologia Et Limonologia Sinica, 2012, 43(5): 884-890. ( 0) |
| [11] |
Rahul S, Gnanaseelan C. Net heat flux over the Indian Ocean: Trends, driving mechanisms and uncertainties[J]. IEEE Geoscience and Remote Sensing Letters, 2013, 10(4): 776-780. ( 0) |
| [12] |
杨梦兮. 热带印度洋海表面温度及其与海面净热通量耦合的优势模态的气候演变特征[D]. 青岛: 中国海洋大学, 2014. Yang M X. Climate Evolution Characteristics of the Dominant Mode of Tropical Indian Ocean Sea Surface Temperature and Its Coupling with Net Sea Surface Heat Flux[D]. Qingdao: Ocean University of China, 2014. ( 0) |
| [13] |
杜美芳. 基于CMIP5资料的热带大洋海温非均匀增暖及其与降水变化关系的分析[D]. 南京: 南京信息工程大学, 2014. Du M F. Analysis of Non-Uniform Warming of Tropical Ocean SST and Its Relationship with Precipitation Variation Based on CMIP5 Data[D]. Nanjing: Nanjing University of Information Engineering, 2014. ( 0) |
| [14] |
杜美芳, 徐海明, 周超. 基于CMIP5资料的热带大洋非均匀增暖及其成因的分析[J]. 热带海洋学报, 2015, 34(3): 1-12. Du M F, Xu H M, Zhou C. Analysis of non-uniform warming in tropical oceans and its causes based on CMIP5 data[J]. Journal of Tropical Oceanography, 2015, 34(3): 1-12. ( 0) |
| [15] |
Swain D, Ghose S K. Latent and Sensible Heat Flux Variation in North Indian Ocean During ENSO and Indian Ocean Dipole Years[C]. [s. l. ]: 2020 XXXlllrd Goneral Assembly and Scientific Symposium of the International Union of Radio Seience, 2020: 1-3.
( 0) |
| [16] |
Cyriac A, Ghoshal T, Shaileshbhai P R, et al. Variability of sensible heat flux over the Bay of Bengal and its connection to Indian Ocean Dipole events[J]. Ocean Science Journal, 2016, 51: 97-107. ( 0) |
| [17] |
Wang X, Zhang R, Huang J, et al. Biases of five latent heat flux products and their impacts on mixed-layer temperature estimates in the South China Sea[J]. Journal of Geophysical Research Ocean, 2017, 122: 5088-5104. ( 0) |
| [18] |
王宏娜, 陈锦年, 左涛. 印度洋潜热通量对南海夏季风爆发的影响[J]. 热带气象学报, 2014, 30(1): 189-193. Wang H N, Chen J N, Zuo T. Influence of Indian Ocean latent heat flux on the summer wind outbreak in the South China Sea[J]. Journal of Tropical Meteorology, 2014, 30(1): 189-193. ( 0) |
| [19] |
王丹, 盛立芳, 黄少妮, 等. 孟加拉湾感热净通量与陕西秋季降水的联系[J]. 高原气象, 2015, 34(6): 1658-1667. Wang D, Sheng L F, Huang S, et al. Association between the net sensible heat flux in the Bay of Bengal and autumn precipitation in Shaanxi[J]. Highland Meteorology, 2015, 34(6): 1658-1667. ( 0) |
| [20] |
Cayan Daniel R. Latent and sensible heat flux anomalies over the Northern Oceans: Driving the sea surface temperature[J]. Journal of Physical Oceanography, 1992, 22(8): 859-881. ( 0) |
| [21] |
Praveen Kumar B, Vialard J, Lengaigne M, et al. TropFlux: Air-sea fluxes for the global tropical oceans description and evaluation[J]. Climate Dynamics, 2012, 38: 1521-1543. ( 0) |
| [22] |
Pokhrel S, Dutta U, Rahaman H, et al. Evaluation of different heat flux products over thetropical Indian Ocean[J]. Earth and Space Science, 2020, 7: e2019EA000988. ( 0) |
| [23] |
魏凤英. 现代气候统计诊断与预测技术[M]. 北京: 气象出版社, 2003: 18-19. Wei Fengying. Statistical Diagnosis and Prediction Techniques of Modern Climate[M]. Beijing: China Meteorological Press, 2003: 18-19. ( 0) |
| [24] |
魏凤英. 现代气候统计诊断与预测技术[M]. 北京: 气象出版社, 2003: 37-41. Wei Fengying. Statistical Diagnosis and Prediction Techniques of Modern Climate[M]. Beijing: China Meteorological Press, 2003: 37-41. ( 0) |
| [25] |
魏凤英. 现代气候统计诊断与预测技术[M]. 北京: 气象出版社, 2003: 105-113. Wei Fengying. Statistical Diagnosis and Prediction Techniques of Modern Climate[M]. Beijing: China Meteorological Press, 2003: 105-113. ( 0) |
| [26] |
Björnsson H, Venegas S A. A Manual for EOF and SVD Analyses of Climatic Data[R]. Montreal, Quebec, Canada: McGill University, 1997.
( 0) |
2023, Vol. 53



0)