2. 中国海洋大学三亚海洋研究院,热带海洋生物种质资源开发与种业工程实验室,海南 三亚 572024
埋栖型贝类是指以沙、泥沙或泥等软相底质为生境的软体动物,潜沙是其进行埋栖生活所必需的行为。在埋栖贝类生活史中,浮游幼虫经过变态期发育出完整的斧足之后,其生活方式逐渐由浮游生活转为埋栖生活[1]。潜沙行为对于埋栖贝类来说具有重要的意义。首先,栖息在软相底质环境的贝类将它们用作觅食和避难的场所,以避开捕食者,而行动不便的贝类可以改变在底质中潜入深度和位置来自我保护[2]。如北极贝(Spisula sachalinensis)通过埋栖生活来躲避肉食性螺类和蟹类的捕食[3]。其次,潜沙行为也与埋栖贝类的繁殖过程有关,例如在繁殖期间,性成熟的文蛤会减少其潜沙深度,使排出的精卵更容易暴露于海水中,增加受精的成功率[4]。此外,一些淡水蚌类通过潜沙行为以减少其他生物的附着,进而提高存活率[5-6]。贝类的潜沙行为不仅会影响自身的生长繁殖,也会改变底栖环境并影响生态系统进程。例如贝类的潜沙行为会混合沉积物,这会影响沉积物的物理化学和微生物特性[7],有助于通过复杂的生物地球化学途径进行初级生产[8],并改变共生生物的丰度[9]。
埋栖贝类斧足的发育和壳形表现出对潜沙行为的适应, 绝大多数的埋栖型贝类具有较大的自由伸缩的斧足和平滑流线型的外壳[10]。贝类的潜沙行为受到许多因素影响,包括生物和环境因素。生物因素包括斧足的发育,壳的形状和大小以及贝的年龄等。在贝类的不同发育阶段,斧足的发育程度和壳形表现出不同的特征,对他们的潜沙行为产生不同的影响。。在魁蚶(Scapharca broughtonii)的研究中,Kim等[11]发现只有大于6 mm的个体才具有一定的潜沙能力。荆圆圆等[12]研究发现小规格魁蚶(1.0和1.5 cm)潜沙率高于大规格魁蚶(2.0和2.5 cm)的现象。环境因素包括温度、盐度、沉积物特性、溶解氧、流速、重金属、有机污物和捕食者等因素,多种埋栖贝类已开展相关研究,例如魁蚶(A. broughtonii)、缢蛏(Sinonovacula costricta)、菲律宾蛤仔(Ruditapes philippinarum)、硬壳蛤(Mercenaria mercenaria)、文蛤(Meretrix meretrix)、毛蚶(Scapharca subcrenata)和加州扁鸟蛤(Clinocardium californiense)等[13-19]。不同环境因素对贝类潜沙行为的影响因物种而异,并且同一物种的不同发育阶段也不同。
侏儒蛤(Mulinia lateralis)(Say,1822)自然分布于北美大西洋沿岸和加勒比海域,属于软体动物门,帘蛤目,蛤蜊科,是一种小型的双壳埋栖贝类。软体动物属于冠轮动物,而冠轮动物作为地球上三大主要动物类群之一,涵盖了海洋中大多数的动物种类。但相对应的陆生动物已有成熟的模式动物系统,如小鼠、果蝇、斑马鱼等,软体动物至今没有相应的模式生物,而侏儒蛤由于其生长迅速、发育繁殖周期短等特点,表现出作为模式贝的潜力[20]。目前,作者所在团队首次将侏儒蛤从美国引种到国内,并且初步建立了侏儒蛤实验室内繁育系统。本文探究了规格、月龄等生物因素和温度、盐度等环境因素对侏儒蛤潜沙行为的影响,以期完善侏儒蛤室内繁育体系,同时对开展侏儒蛤的生存行为学和环境适应性研究具有重要意义。
1 材料与方法 1.1 实验材料实验所用的侏儒蛤由中国海洋大学海洋生物遗传与育种教育部重点实验室提供。实验所用的侏儒蛤在实验室的循环水系统中养殖,水温21~22 ℃,养殖密度为800只/m2,暂养期间投喂小球藻(购自健洋生物公司,辽宁大连),每日3次,每次投喂量为水体藻细胞浓度不小于5×104 cells/mL。实验所用海水为青岛市近海经沉淀的沙滤海水, pH为7.8~8.0,盐度为28~29,实验前使用活性炭和脱脂棉进行二次过滤。实验用沙取自青岛市黄岛区金沙滩,沙子过100目标准筛后,置于0.02%次氯酸钠溶液中浸泡6 h消毒,然后用淡水多次冲洗,洗净晾干备用。实验所用容器为长方形玻璃缸(30 cm × 25 cm × 20 cm),实验开始前,先加入0.2%高锰酸钾溶液浸泡6 h,用淡水反复冲洗备用。使用多参数水质分析仪(美国YSI公司,型号为YSI Proplus)测量实验过程中水质参数,用缩时相机(Brinno TLC-200)拍照记录侏儒蛤的潜沙行为。
1.2 实验方法 1.2.1 侏儒蛤潜沙行为的观察和记录在洗净的玻璃缸底部铺上处理后的沙子,沙层厚度为3~5 cm,在沙层上加入深度为10 cm的过滤海水。待玻璃缸内的海水澄清后,选取健康的侏儒蛤个体,将其缓慢置于沙层表面,用相机观察拍照记录侏儒蛤的潜沙过程,直到侏儒蛤完全潜入沙层为止。实验记录在15 min内成功潜沙的个体数量n和潜沙时间t。潜沙时间t是指侏儒蛤从静置在沙层表面开始,直至完全潜入沙中整个过程所需的时间。
侏儒蛤的潜沙率计算公式如下:潜沙率=完成潜沙的个体数量n /实验侏儒蛤总数N。
1.2.2 不同规格侏儒蛤潜沙行为实验选择7月龄3种不同规格(规格1、规格2和规格3,其壳长分别为(5.78±0.15)、(9.53±0.35)和(12.27±0.62) mm)的成体侏儒蛤,每种规格选取30只。将3组侏儒蛤分别置于3个铺沙的玻璃缸中,实验条件为:水温22 ℃,盐度为28~29,持续充气,观察并记录其潜沙行为。每个实验组设3个平行。
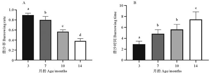
1.2.3 不同月龄侏儒蛤潜沙行为实验选择壳长为(12.08±0.64) mm的4种不同月龄(分别为3、7、10和14月龄)的侏儒蛤来探究不同月龄侏儒蛤潜沙能力的差异。每种月龄选取30只。将4组侏儒蛤分别置于4个铺沙的玻璃缸中,实验条件为:水温22 ℃,盐度为28~29,持续充气,观察并记录其潜沙行为。每个实验组设3个平行。
1.2.4 温度对侏儒蛤潜沙行为的影响实验实验设置4个不同温度梯度,分别为22、26、30和34 ℃,来探究高温对侏儒蛤潜沙行为的影响。不同组的海水分别使用加热棒(Yee YDH610, 温差±0.2 ℃)预先升温到实验所需的温度,在实验过程中对4组玻璃缸持续控温,其他实验条件:海水盐度为28~29,持续充气。选取3月龄壳长为(5.85±0.33) mm的成体侏儒蛤来进行实验,每组选取30只。将4组侏儒蛤分别置于4个不同温度梯度的铺沙的玻璃缸中,观察并记录其潜沙行为,记录为0 h潜沙结果。在实验持续到12 h时,将4个实验组中完成潜沙的侏儒蛤从沙中取出,待海水澄清后,将每组的侏儒蛤重新置于沙层表面,再次观察记录其潜沙行为,记录为12 h潜沙结果。每个实验组设3个平行,其中22 ℃组作为对照。
1.2.5 盐度对潜沙行为的影响实验实验设置4组不同盐度梯度,分别为15、22、29和36,来探究盐度对侏儒蛤潜沙行为的影响。使用曝气后的淡水,海盐(购自海霸海水晶厂,山东潍坊)与过滤海水混合来预先配制相应盐度的海水,使用水质仪测定海水的盐度,其他实验条件:水温为22 ℃,持续充气。选取3月龄壳长为(5.79±0.32) mm的侏儒蛤进行实验,每组选取30只。将4组侏儒蛤分别置于4个不同盐度梯度的铺沙的玻璃缸中,观察并记录其潜沙行为,记录为0 h潜沙结果。当实验持续到第12 h时,将4个实验组中完成潜沙的侏儒蛤从沙中取出,待海水澄清后,将每组的侏儒蛤重新置于沙层表面,再次观察记录其潜沙行为,记录为12 h潜沙结果。每个实验组设3个平行,其中盐度29作为对照。
1.3 数据处理数据的统计和分析使用SPSS 23.0软件进行,潜沙率和潜沙时间以平均数±标准误(mean±S.E.)表示,采用单因素方差分析(one-way ANOVA)和独立样本t检验对数据进行差异性分析,以p < 0.05作为差异显著标准。使用GraphPad Prism 8.0软件对实验结果进行绘图。
2 结果与分析 2.1 侏儒蛤潜沙行为的观察侏儒蛤的潜沙过程可分为6个步骤,包括潜沙准备期、伸出水管及斧足、斧足插入沙中、竖壳、潜沙和潜沙结束期,具体如下:
潜沙准备期是指侏儒蛤自然静置于沙层表面直至伸出水管及斧足的过程(见图 1A);伸出水管及斧足是指侏儒蛤经历了准备期后,逐渐张开壳,伸出水管和斧足的过程(见图 1B);斧足插入沙中是指侏儒蛤伸出斧足后,斧足不断在沙层表面触动逐渐插入沙中(见图 1C);竖壳是指在斧足插入沙中后,通过与沙子的摩擦作用,侏儒蛤前端逐渐潜入沙子中,后端向上,形成侏儒蛤竖立与沙层垂直的状态(见图 1D);潜沙是指侏儒蛤在很短时间内完成竖壳后,通过斧足与沙子的摩擦作用,躯体前后摆动逐渐钻入沙中的过程(见图 1E);潜沙结束期是指侏儒蛤完全潜入沙中,在沙中保持不动,在沙层表面上留下2个由出水管和入水管组成的孔(见图 1F),表明潜沙行为完成。
|
(A:潜沙准备期; B:伸出水管及斧足; C:斧足插入沙子中; D:竖壳; E:潜沙; F:潜沙结束期; a:水管; b:斧足。A: Preparation; B: Stretching siphons and foot; C: Foot drilling into the sand; D: Stacking shell; E: Burrowing into sand; F: Terminal; a: Siphons; b: Foot. ) 图 1 侏儒蛤的潜沙过程 Fig. 1 Burrowing process of M. lateralis |
3种不同规格侏儒蛤潜沙行为研究结果显示:规格1((5.78±0.15) mm)侏儒蛤的潜沙率为97.7%,规格2((9.53±0.35) mm)的潜沙率为94.4%,以上2种规格显著高于规格3((12.27±0.62) mm)侏儒蛤的潜沙率80%(p < 0.05)(见图 2A);如图 2B所示,规格1侏儒蛤的潜沙时间为(1.8±0.07) min,规格2的潜沙时间为(2.89±0.08) min,规格1侏儒蛤的潜沙时间显著低于规格3的潜沙时间(4.7±0.09) min(p < 0.05)。实验表明,不同规格侏儒蛤的潜沙行为具有显著差异,小规格侏儒蛤的潜沙能力比大规格侏儒蛤强,相较于小规格,大规格侏儒蛤的潜沙行为具有潜沙比例低和潜沙时间长的特点。
|
(A:潜沙率; B:潜沙时间; 不同字母代表不同实验组间存在显著差异(p < 0.05)。A: Burrowing rate; B: Burrowing time; Means with different letters are significantly different (p < 0.05). ) 图 2 不同规格侏儒蛤的潜沙行为 Fig. 2 Effect of different size on the burrowing behavior of M. lateralis |
不同月龄侏儒蛤的潜沙行为存在差异。3月龄侏儒蛤的潜沙率为89.7%,7月龄侏儒蛤的潜沙率为80%,10月龄侏儒蛤的潜沙率为56.6%,以上月龄侏儒蛤潜沙率均显著高于14月龄侏儒蛤的潜沙率38.3%(p < 0.05)(见图 3A);如图 3B所示,3月龄侏儒蛤的潜沙时间为(2.92±0.54) min,7月龄侏儒蛤的潜沙时间为(4.83±0.72) min,10月龄侏儒蛤的潜沙时间为(5.62±0.9) min,显著低于14月龄侏儒蛤的潜沙时间(7.46±1.3) min(p < 0.05)。实验表明,相同规格侏儒蛤的潜沙能力随着月龄的增加而减弱,相比月龄低的侏儒蛤,月龄较高的侏儒蛤的潜沙行为具有潜沙数量少和潜沙时间长的特点。
|
(A:潜沙率; B:潜沙时间; 不同字母代表不同实验组间存在显著差异(p < 0.05)。A: Burrowing rate; B: Burrowing time; Means with different letters are significantly different (p < 0.05). ) 图 3 不同月龄侏儒蛤的潜沙行为 Fig. 3 Effect of different age on the burrowing behavior of M. lateralis |
高温对侏儒蛤潜沙行为具有显著的影响。如图 4A所示,在0 h实验组中,侏儒蛤在22 ℃条件下的潜沙率为98.8%,在26 ℃的潜沙率为98.8%,显著高于在30℃的92.2%以及34 ℃的87.7%(p < 0.05);在12 h实验组中,侏儒蛤在22 ℃条件下的潜沙率为98.8%,在26 ℃的潜沙率为91.1%,显著高于在30 ℃的48.8%以及34 ℃的18.8%(p < 0.05)。通过比较相同温度不同时间的实验结果,在22 ℃条件下0与12 h侏儒蛤潜沙率保持不变,在26、30和34 ℃下生存12 h侏儒蛤潜沙率均显著低于0 h侏儒蛤潜沙率(p < 0.05)。如图 4B所示,在0 h实验组中,侏儒蛤在22 ℃条件下的潜沙时间为(2.06±0.33) min,在26 ℃的潜沙时间为(2.86±0.44) min,在30 ℃的潜沙时间为(2.78±0.5) min,在34 ℃的潜沙时间为(3.14±0.6) min,其潜沙时间并没有显著差异;在12 h实验组中,侏儒蛤在22 ℃条件下的潜沙时间为(2.4±0.49) min,在26 ℃条件下的潜沙时间为(2.55±0.55) min,在30 ℃条件下的潜沙时间为(4.2±0.77)min,显著低于34 ℃条件下的(7±1.7) min(p < 0.05),侏儒蛤在34 ℃条件下的潜沙所耗费的时间显著增加(p < 0.05)。实验结果表明,侏儒蛤的潜沙能力随着环境温度的升高而逐渐减弱,主要表现为潜沙率降低和潜沙时间增长,并且随着高温时间的延长,其潜沙能力受到的影响进一步加剧。
|
(A:潜沙率; B:潜沙时间; 不同字母代表不同实验组间存在显著差异(*p < 0.05, **p < 0.01)。A: Burrowing rate; B: Burrowing time; Means with different letters are significantly different (*p < 0.05, **p < 0.01). ) 图 4 不同温度对侏儒蛤潜沙行为的影响 Fig. 4 Effect of different temperature on the burrowing behavior of M. lateralis |
如图 5A所示,在0 h实验组中,侏儒蛤在盐度15条件下的潜沙率为36.6%,在盐度22条件下的潜沙率为44.4%,显著低于盐度29条件下的潜沙率(88.8%)和盐度36条件下的潜沙率(84.4%)(p < 0.05);在12 h实验组中,侏儒蛤在盐度15条件下的潜沙率为80%,显著低于盐度22条件下的潜沙率88.8%,盐度29条件下的潜沙率92.2%和盐度36条件下的潜沙率93.3%(p < 0.05)。通过比较两组实验结果,在盐度15、22条件下12 h的潜沙率显著高于0 h的潜沙率(p < 0.05)。如图 5B所示,在0 h实验中,侏儒蛤在盐度15条件下的潜沙时间为(7.16±1.06) min,在盐度22条件下的潜沙时间为(7.25±1.07) min,显著高于盐度29条件下的(3.08±0.49) min和盐度36条件下的(4.6±0.8) min(p < 0.05);在12 h实验组中,侏儒蛤在盐度15条件下的潜沙时间为(4.62±0.81) min,在盐度22条件下的潜沙时间为(4.18±0.68) min,显著高于盐度29条件下的(2.07±0.29) min和盐度36条件下的(2.86±0.57) min(p < 0.05)。通过比较两组实验结果,在盐度15、22和36条件下12 h的潜沙时间显著低于0 h的潜沙时间(p < 0.05)。实验表明,侏儒蛤的潜沙能力受到盐度的影响,主要表现为潜沙率降低和潜沙时间增长,但随着低盐和高盐处理时间的延长,其潜沙能力受到的影响逐渐减弱。
|
(A:潜沙率; B:潜沙时间; 不同字母代表不同实验组间存在显著差异(*p < 0.05, **p < 0.01)。A: Burrowing rate; B: Burrowing time; Means with different letters are significantly different (*p < 0.05, **p < 0.01). ) 图 5 不同盐度对侏儒蛤潜沙行为的影响 Fig. 5 Effect of different salinity on the burrowing behavior of M. lateralis |
埋栖型贝类通常拥有发达且硕大的斧足,通过其挖掘,使整个或部分身体进入软相底质环境,营埋栖生活[1]。根据侏儒蛤潜沙过程变化,本研究将其分为潜沙准备期、伸出水管及斧足、斧足插入沙子、竖壳、潜沙和潜沙结束期6个阶段。当其完成潜沙后,会在沙层表面留下2个靠得很近的由出水管和入水管形成的孔。这一观察结果与对菲律宾蛤仔和文蛤等双壳贝类的潜沙行为基本一致[15, 17],但与已报道的魁蚶潜沙行为不同,这是因为魁蚶没有水管,因此在潜沙完成后没有在沙层表面留下清晰可辨的由水管形成的孔[21]。在潜沙方式的观察中,侏儒蛤等双壳贝类主要通过斧足实现贝类垂直潜入,但是在脉红螺等腹足动物的研究中,其潜沙行为是通过足和贝壳的运动斜向10°~15°角的方式进入沙子中,并且潜沙深度比较浅[22]。这两种潜沙方式的差异也反映了埋栖贝类潜沙行为与两种截然不同的贝壳形状相适应。
在埋栖贝类的研究中,贝类的规格大小对其潜沙行为具有一定的影响。在之前的魁蚶研究中发现只有6 mm的贝才具有一定的潜沙能力[11]。孙虎山等[23]研究发现,相对大规格的长竹蛏,小规格的长竹蛏具有更强的潜沙能力,在菲律宾蛤仔幼贝的研究中,随着规格增大,其潜沙率随之增大和潜沙时间随之减少[15]。我们在侏儒蛤实验中发现其潜沙能力随着规格的增大而逐渐减弱,这与长竹蛏的结果类似,而与菲律宾蛤仔相反。我们推测,随着埋栖贝类的生长发育和规格的增长,虽然其斧足发育得更加强大,但是其潜沙所受到的摩擦阻力也相应增加,尤其是采取垂直潜入方式的贝类,导致大规格贝的潜沙能力的下降,但是在不同贝类中因为具有不同的运动方式和生活习性,也造成了贝类潜沙行为的多样化特征。
埋栖贝类属于变温动物,温度适宜时,生物保持较高的代谢能力和较快的生长速度,温度过高或过低则不利于生物的代谢和生长[24-25]。在侏儒蛤的潜沙实验中发现,在22~26 ℃,温度升高没有对侏儒蛤的潜沙能力造成显著影响,在30~34 ℃,极限温度会显著降低侏儒蛤的潜沙能力,主要表现为侏儒蛤的潜沙率下降和潜沙时间增加,这可能是因为在高温条件下侏儒蛤需要减少运动消耗以便于维持存活能力。在其他的贝类潜沙行为的研究中也有类似的报道,在文蛤的潜沙行为研究中发现,当环境温度超过21 ℃时,其潜沙率降低而潜沙所需的时间增加[26]。在Mclachlan对斧蛤Donax serra、Donax sordidus的研究中发现,低温会降低其潜沙速度,增加潜沙时间,最终抑制了斧蛤的潜沙行为[27]。Sakurai等研究表明,北极贝和菲律宾蛤仔在低温(5~10 ℃)条件下的潜沙速度小于高水温(15~25 ℃)环境[28]。以上研究表明在适宜的温度范围内,埋栖贝类保持较高的潜沙能力,当温度过高或过低或者接近生存极限温度均不利于贝类的潜沙行为。并且在极限温度的刺激下,贝类潜沙能力的下降可能是一种应激行为的表现,贝类通过降低运动能力和潜沙耗能来维持其存活能力。
盐度是影响埋栖贝类生理代谢、分布等的重要环境因子之一[29-30]。贝类能根据海水盐度来调节自身渗透压,从而保持正常生长发育繁殖,不同贝类对海水盐度的适应有一定的范围,一旦超过其适应范围,都将影响贝类的生理代谢和行为反应[31]。在Nakamura等[32]对四角蛤蜊的研究发现,在6.7、11.2和25的盐度条件下,四角蛤蜊的潜沙率分别为30%、90%和100%。在文蛤的研究中,其潜沙率随着盐度的升高逐渐升高,盐度过高和过低都会降低文蛤的潜沙率和潜沙深度[17]。在本研究中,盐度的变化同样影响侏儒蛤的潜沙行为,在低盐15~22 ppt和高盐29~36 ppt条件下,侏儒蛤的潜沙能力受到了影响,主要表现为潜沙率的下降和潜沙时间的增加,但随着高低盐条件下生存时间的增加,其潜沙能力逐渐恢复,这可能与侏儒蛤的生活习性和生活环境有关,表明侏儒蛤具有较大的盐度适应范围和调节自身渗透压的能力。
4 结语侏儒蛤的潜沙能力随着规格和月龄的增长而逐渐减弱,主要表现为潜沙率的下降和潜沙所需时间的延长。在高温、低盐和高盐的条件下,侏儒蛤的潜沙能力也受到了显著影响,高温对侏儒蛤潜沙行为造成负面影响,低盐和高盐条件下侏儒蛤的潜沙能力表现出先下降后恢复的情况,暗示了侏儒蛤对盐度变化的适应能力。本研究扩展了对侏儒蛤潜沙行为的认识,对阐明侏儒蛤在环境变化下的行为适应以及完善侏儒蛤室内养殖系统具有重要的意义。
| [1] |
王如才, 王昭萍, 张建中. 海水贝类养殖学[M]. 青岛: 青岛海洋大学出版社, 1993. Wang R C, Wang Z P, Zhang J Z. Science of Marine Shellfish Culture[M]. Qingdao: Qingdao Ocean University Press, 1993. ( 0) |
| [2] |
Tallqvist M. Burrowing behaviour of the Baltic clam Macoma balthica: Effects of sediment type, hypoxia and predator presence[J]. Marine Ecology Progress Series, 2001, 212: 183-191.
( 0) |
| [3] |
高悦勉, 孙洋, 孙培海, 等. 北寄贝的生物学和增养殖[J]. 水产科学, 2006, 25(7): 371-375. Gao Y M, Sun Y, Sun P H, et al. Biology and artificial propagation of clam(Spisula sachalinensis)[J]. Fisheries Science, 2006, 25(7): 371-375. ( 0) |
| [4] |
Taskinen J, Saarinen M. Burrowing behaviour affects Paraergasilus rylovi abundance in Anodonta piscinalis[J]. Parasitology, 2006, 133(5): 623-629.
( 0) |
| [5] |
Nichols S J, Wilcox D A. Burrowing saves Lake Erie clams[J]. Nature, 1997, 389: 921.
( 0) |
| [6] |
Allen D C, Vaughn C C. Burrowing behavior of freshwater mussels in experimentally manipulated communities[J]. Journal of the North American Benthological Society, 2009, 28(1): 93-100.
( 0) |
| [7] |
Mccall P L, Matisoff G, Tevesz M J S. The effects of a unionid bivalve on the physical, chemical, and microbial properties of cohesive sediments from Lake Erie[J]. American Journal of Science, 1986, 286(2): 127-159.
( 0) |
| [8] |
Lohrer A M, Thrush S F, Gibbs M M. Bioturbators enhance ecosystem function through complex biogeochemical interactions[J]. Nature, 2004, 431(7012): 1092-1095.
( 0) |
| [9] |
Jaramillo E, Contreras H, Duarte C. Community structure of the macroinfauna inhabiting tidal flats characterized by the presence of different species of burrowing bivalves in Southern Chile[J]. Hydrobiologia, 2007, 580(1): 85-96.
( 0) |
| [10] |
Sheldon F. Variable plasticity in shell morphology of some Australian freshwater mussels (Unionoida, Hyriidae)[J]. Transactions of the Royal Society of South Australia, 2017, 141(2): 193-208.
( 0) |
| [11] |
Kim B H, Shin Y K, Choi N J, et al. Effects of size and environmental condition on burrowing of artificial seedling of ark shell, Scapharca broughtonii (Schrenck)[J]. The Korean Journal of Malacology, 2007, 23(1): 1-8.
( 0) |
| [12] |
荆圆圆, 陈群, 张天文, 等. 不同规格魁蚶在不同温度下潜沙率差异分析[J]. 广西科学院学报, 2018, 3: 191-197. Jing Y Y, Chen Q, Zhang T W, et al. Analysis of burrowing rate with different sizes and different temperature of Scapharca btoughtonii Schrenck[J]. Journal of Guangxi Academy of Sciences, 2018, 3: 191-197. ( 0) |
| [13] |
周珊珊, 张秀梅, 刘旭绪, 等. 魁蚶稚贝的底质选择性及其潜沙能力评价[J]. 水产学报, 2015, 39(6): 867-875. Zhou S S, Zhang X M, Liu X D, et al. Substrate preference and burrowing ability assessment of the juvenile Scapharca broughtonii[J]. Journal of Fisheries of China, 2015, 39(6): 867-875. ( 0) |
| [14] |
王文雄, 许振祖. 缢蛏稚贝的爬行行为及盐度对其钻穴能力的影响[J]. 厦门大学学报(自然科学版), 1988, 3: 91-95. Wang W X, Xu Z Z. The crawling behavior and the effects of salinity on the burrowing activity of the spat of Sinonovacula constricta[J]. Journal of Xiamen University (Natural Science), 1988, 3: 91-95. ( 0) |
| [15] |
杨凤, 曾超, 王华, 等. 环境因子及规格对菲律宾蛤仔幼贝潜沙行为的影响[J]. 生态学报, 2016, 36(3): 795-802. Yang F, Zeng C, Wang H, et al. Effects of environmental factors and clam size on the burrowing behavior of Manila clam Ruditapes philippinarum[J]. Acta Ecologica Sinica, 2016, 36(3): 795-802. ( 0) |
| [16] |
Savage N. Burrowing activity in Mercenaria mercenaria (L.) and Spisula solidissima (Dillwyn) as a function of temperature and dissolved oxygen[J]. Marine & Freshwater Behaviour & Phy, 1976, 3(4): 221-234.
( 0) |
| [17] |
张安国, 袁秀堂, 杨凤影, 等. 温度, 盐度及底质对文蛤潜砂行为的影响[J]. 生态学杂志, 2015, 34(6): 1595-1601. Zhang A G, Yuan X C, Yang F Y, et al. Effects of temperature, salinity and sediment on the burrowing behavior of clam Meretrix meretrix[J]. Chinese Journal of Ecology, 2015, 34(6): 1595-1601. ( 0) |
| [18] |
陈雷, 张嵩, 郭良勇, 等. 温度对毛蚶, 文蛤和青蛤潜沙能力的影响[J]. 水产学杂志, 2016, 29(3): 35-38. Chen L, Zhang S, Guo L Y, et al. Effects of temperature on burrowing ability of Arca subcrebata Scapharca subcrenata, Clams Meretrix meretrix and Cyclina sinensis[J]. Chinese Journal of Ecology, 2016, 29(3): 35-38. ( 0) |
| [19] |
李东霖, 董莎莎, 李东东, 等. 底质条件对加州扁鸟蛤潜沙行为及呼吸代谢酶活性的影响[J]. 中国渔业质量与标准, 2019, 9(2): 26-33. Li D L, Dong S S, Li D D, et al. Burrowing behavior and phusiological reponses of the cockle (Clinocardium californiense) to different substrates[J]. Chinese Fishery Quality and Standards, 2019, 9(2): 26-33. ( 0) |
| [20] |
Calabrese A. Mulinia lateralis, molluscan fruit fly[J]. Proceedings of the National Shellfish Association, 1969, 59: 65-66.
( 0) |
| [21] |
周玮, 刘一兵, 李坤, 等. 魁蚶苗种的潜沙行为观察[J]. 大连海洋大学学报, 2011, 26(6): 550-553. Zhou W, Liu Y B, Li K, et al. Observation of burrowing behavior and ability of spat with different sizes in Scapharca broughtonii Sckrenck[J]. Journal of Dalian Ocean University, 2011, 26(6): 550-553. ( 0) |
| [22] |
于正林.脉红螺早期发育阶段行为特征研究[D].中国科学院大学(海洋研究所), 2019. Yu Z L. A study on the Behavior Characteristics of the Early Developmental Stages of Rapana venosa[D]. University of Chinese Academy of Sciensis (Institute of Oceanology), 2019. http://cdmd.cnki.com.cn/Article/CDMD-80068-1019064400.htm ( 0) |
| [23] |
孙虎山. 长竹蛏苗的潜沙及耐干露能力研究[J]. 烟台师范学院学报, 1992, 1: 67-69. Sun H S. Burrowing and enduring out of water ability of Solen strictus[J]. Yantai Teachers College Journal, 1992, 1: 67-69. ( 0) |
| [24] |
Verween A, Vincx M, Degraer S. The effect of temperature and salinity on the survival of Mytilopsis leucophaeata larvae (Mollusca, Bivalvia): The search for environmental limits[J]. Journal of Experimental Marine Biology and Ecology, 2007, 348(1-2): 111-120.
( 0) |
| [25] |
Sarà G, Romano C, Widdows J, Staff F. Effect of salinity and temperature on feeding physiology and scope for growth of an invasive species (Brachidontes pharaonis-Mollusca: Bivalvia) within the Mediterranean Sea[J]. Journal of Experimental Marine Biology and Ecology, 2008, 363(1-2): 130-136.
( 0) |
| [26] |
张嵩.生态因子对青蛤, 文蛤的潜沙及其苗种生长与存活的影响[D].大连: 大连海洋大学, 2014. Zhang S. Influence of Ecological Factors on Burrowing Behavior, Larval Growth and Survival of Cyclina sinensis and Meretrix meretrix[D]. Dalian: Journal of Dalian Ocean University, 2014. http://cdmd.cnki.com.cn/Article/CDMD-10158-1014035887.htm ( 0) |
| [27] |
McLachlan A, Young N. Effects of low temperature on the burrowing rates of four sandy beach molluscs[J]. Journal of Experimental Marine Biology and Ecology, 1982, 65(3): 275-284.
( 0) |
| [28] |
Sakurai I, Seto M, Nakao S. Effects of water temperature, salinity and substrata on burrowing behaviors of the three bivalves, Pseudocardium sachalinensis, Mactra chinensis, and Ruditapes philippinarum[J]. Nippon Suisan Gakkaishi, 1996, 62(6): 878-885.
( 0) |
| [29] |
Stickle W, Kapper M, Blakeney E, et al. Effects of salinity on the nitrogen metabolism of the muricid gastropod, Thais (Nucella) lapillus (L.) (Mollusca: Prosobranchia)[J]. Journal of Experimental Marine Biology and Ecology, 1985, 91(1-2): 1-16.
( 0) |
| [30] |
Nel H, Perissinotto R, Taylor R, et al. Salinity tolerance of the bivalve Solen cylindraceus (Hanley, 1843) (Mollusca: Euheterodonta: Solenidae) in the St Lucia estuary[J]. African Invertebrates, 2011, 52(2): 575-586.
( 0) |
| [31] |
栗志民, 刘志刚, 韩伟贤. 织锦巴非蛤稚贝盐度适应性研究[J]. 海洋科学, 2011, 35(10): 96-102. Li Z M, Liu Z G, Han W X. Salinity adaptability of Paphia textzle spats at different salinity level[J]. Marine Sciences, 2011, 35(10): 96-102. ( 0) |
| [32] |
Nakamura Y, Hashizume K, Koyama K, et al. Effects of salinity on sand burrowing activity, feeding and growth of the clams Mactra veneriformis, Ruditapes philippinarum and Meretrix lusoria[J]. Journal of Shellfish Research, 2005, 24(4): 1053-1059.
( 0) |
2. Laboratory of Tropical Marine Germplasm Resources and Breeding Engineering, Sanya Oceanographic Institution of the Ocean University of CHINA (SOI-OUC), Sanya 572024, China
2020, Vol. 50


0)