2. 中国海洋大学 海洋有机地球化学研究所,山东 青岛 266100
渤海与北黄海作为中国重要的半封闭陆架边缘海,接受着黄河输入的大量物质。黄河是中国的第二大河,由其高的含沙量而得名,在过去的一千年期间,其平均每年向海洋输送1.1×109t沉积物[1],占全球河流输入沉积物的5%[2]。但黄河输入物只有一部分沉积在黄河口,其余部分被黄海沿岸流携带沉积到渤海和北黄海[3-4]。对渤黄海表层沉积物中正构烷烃的分布、来源及输运机制的研究,能更好地了解沉积有机物的分散、保存以及沿海生态系统过程。沉积物中正构烷烃来源形式多种多样,主要的来源有海洋浮游生物、陆生高等植物、化石燃料燃烧及其产物或者石油烃污染输入[5]。作为生物标志化合物中的一种,正构烷烃不仅保持了原始生物化学成分的部分骨架,记载了原始生物母质的某些特征分子结构信息,而且在有机物演化过程中具有较高的稳定性,其组成和分布特征可以有效地指示有机物的来源[6]。近几年来,由于工农业有机废水的排放,大型水利枢纽(如小浪底水库)的调节作用,使得黄河输入到渤海-北黄海中的有机物来源和分布要比其他边缘海复杂得多。因此,对渤海-北黄海沉积有机物来源问题的探究越来越受到研究者们的关注。
前人利用稳定碳同位素(δ13C)、总有机碳(TOC)、C/N、生物标志比值等方法(奇碳数正构烷烃/长链烯酮、木质素等)对渤黄海沉积有机物的来源、组成和迁移过程进行了相关研究。对黄海三个沉积物柱状样的研究发现,黄海沉积物中的正构烷烃主要来自河流输入[7]。对黄海表层沉积物中总有机碳δ13C和多环芳烃的研究表明黄海的陆源有机质主要来源于现代黄河沉积和废黄河口沉积[8]。对南黄海表层沉积物中正构烷烃的分布及其组成特征研究发现,南黄海区域表层沉积物中正构烷烃多呈现双峰群分布,前峰群短链烷烃无明显奇偶碳数优势,主要来自海洋浮游藻类和细菌,但也可能受石油污染影响;后峰群长链烷烃具有奇碳数优势,主要来自于陆地高等植物,其中草本植物和木本植物来源所占比例相近[9]。对渤海中部柱状沉积物中正构烷烃的分析发现渤海沉积物中有机物的重要来源是黄河输运的陆源物质,且在柱状沉积物中能明显体现黄河的历史变迁[10]。对渤海表层沉积物中的木质素组成和总有机碳δ13C分析发现渤海陆源有机物主要源于黄河输送,且近现代黄河口的陆源有机物的降解程度较远离河口的沉积物中陆源有机物的降解程度低[11];木质素主要来源于被子植物草本组织与木本组织的混合,且含有少量的裸子植物[12]。对渤海表层沉积物中的正构烷烃分析,发现黄河口附近的沉积物中陆源输入占主要地位;一些离岸较远的站位存在有偶碳数优势的C12~C22正构烷烃,可能来源于海洋微生物[3]。利用三端元混合模型对渤海表层沉积物分析发现土壤有机碳和C3维管植物有机碳主要沉积在河口附近及近岸区,并可以离岸输运到较远的地方[12]。
虽然前人利用各种指标对渤黄海沉积物中有机物的组合特征、来源进行了一些调查研究,并取得了一定有价值的成果,但是以往的研究主要是针对渤黄海海域高碳数正构烷烃的组合特征、分布及其指示意义,而对低碳数正构烷烃的研究还很缺乏,又由于海洋藻类、细菌作用或石油烃的输入都能贡献低碳数正构烷烃[3, 10],使得低碳数正构烷烃(< C21)来源复杂。因此,有必要对渤海-北黄海海域表层沉积物中低碳数正构烷烃的来源及其指示意义进行探讨。本文利用各种特征参数,结合主成分分析和相关性分析探讨了渤海-北黄海60个表层沉积物中正构烷烃尤其是低碳数正构烷烃的组合特征、来源以及其指示意义,为进一步认识该海域沉积有机物来源格局和埋藏保存等特点提供依据。
1 材料与方法 1.1 研究海域作为中国4个边缘海中坡度最小的海区,渤海位于中国的北部,总面积为7.7×104 km2,平均水深约18 m[13],是被山东半岛与辽宁半岛所环抱的半封闭陆架浅海。渤海接受着来自周边河流(如黄河、海河、滦河等)物质的大量输入及其人类活动的影响。黄河是注入渤海的最大河流,输沙量为10×108 t·a-1 [14]。渤海海流流系主要包括渤海内部的沿岸流和大洋系统的寒暖流。北黄海是被辽东半岛东岸至朝鲜半岛西北海岸所环抱的海湾,水深约为38 m[15]。黄海环流基本是由其中部北上的黄海暖流与其两侧向南运移的沿岸流所组成。黄海沿岸流自渤海湾起,终年沿山东半岛北部东流,绕过成山角后沿40~50 m等深线至青岛崂山湾附近转向南和西南方向流动。辽南沿岸流沿着辽东半岛沿岸流向渤海海峡北部。冬季在强劲的偏北风作用下,黄海暖流逆风向沿黄海海槽北上,在37°N附近向东、西各有一条主要分支分别与西朝鲜湾流和黄海沿岸流汇合,其余部分经老铁山水道进入渤海;夏季在和缓的偏南风作用下,黄海冷水团盘踞在黄海深槽及其两侧,黄海暖流很弱,只有微弱的东海陆架水进入济州岛以北[16-17]。
1.2 样品采集2011年6月,利用“东方红2号”科考船在渤海-北黄海海域,使用箱式采样器采得沉积物样品,其中0~3 cm为表层沉积物样品,共有60个,其站位分布如下(见图 1)。所有的表层沉积物样品采集后用无污染的锡箔纸包好,放在-20 ℃下冷冻保存直至分析。
|
图 1 渤海-北黄海采样站位图和环流体系 Fig. 1 Sampling sites and surface currents in the Bohai Sea and the North Yellow Sea |
将冷冻干燥后的沉积物样品研磨后装入玻璃瓶,向样品中逐滴滴加4 mol·L-1HCl,至最后一次加入HCl无气泡冒出,静置一会儿后,震荡、超声、离心、去除上清液,加入超纯水,震荡、超声、离心,去除上清液,重复数次直到用pH试纸检测上清液呈中性。将样品放入烘箱中,55 ℃烘干,烘干后放入干燥器中平衡24 h后研磨使其均质化。称取适量样品,用CHN元素分析仪(Thermo Flash 2000)测定其TOC的含量。TOC的测定标准偏差分别为±0.02 wt% (n=6) [18]。TOC的数据已被报道[19]。
1.3.2 正构烷烃分析C27、C29、C31正构烷烃均来自高等植物叶蜡[20],可以用作陆源植物有机物的输入[21]。将样品经冷冻干燥、研磨后,称取5 g放置在50 mL特氟龙瓶中,加入二氯甲烷:甲醇=3:1(v/v)的混合溶液10 mL,静置约30 min,加入40 μL十九醇和二十四氘烷,超声萃取4次(10 mL/次),得到可萃取有机质。萃取液在柔和氮气下吹干,过硅胶层析柱进行分离,用8 mL正己烷淋洗得到正构烷烃组分,氮吹干,加30 μL异辛烷定容,超声,然后取1 μL进GC分析。对处理好的样品用气相色谱(Agilent 6890N)定量分析。进样口温度:300 ℃;检测器(FID)温度:300 ℃;载气为氢气,流速1.3 mL/min;色谱柱类型:HP-1 Capillary Column(50 m×0.32 mm×0.17μm);采用不分流进样方式。色谱柱升温程序:保持80 ℃ 1 min,以25 ℃/min的速度升至200 ℃,以4 ℃/min的速度升至250 ℃,以1.8 ℃/min的速度升至300 ℃,保持300 ℃5 min,以5 ℃/min的速度升至310 ℃,保持310 ℃ 5 min。对生物标志物的峰面积与内标的峰面积进行比较计算得到生物标志物的含量,最后换算成其在沉积物中的含量。碳优势指数(Carbon Preference Index,CPI),分为高低碳数碳优势指数两种(CPIH和CPIL),可以作为评价烷烃的奇偶优势的指标,其计算公式如下:
| $ \begin{array}{l} {\rm{CP}}{{\rm{I}}_{\rm{H}}} = 1/2[({{\rm{C}}_{25}} + {{\rm{C}}_{27}} + {{\rm{C}}_{29}} + {{\rm{C}}_{31}} + {{\rm{C}}_{33}} + {{\rm{C}}_{35}})/\\ ({{\rm{C}}_{24}} + {{\rm{C}}_{26}} + {{\rm{C}}_{28}} + {{\rm{C}}_{30}} + {{\rm{C}}_{32}} + {{\rm{C}}_{34}}) + ({{\rm{C}}_{25}} + {{\rm{C}}_{27}} + {{\rm{C}}_{29}} + \\ {{\rm{C}}_{31}} + {{\rm{C}}_{33}} + {{\rm{C}}_{35}})/({{\rm{C}}_{26}} + {{\rm{C}}_{28}} + {{\rm{C}}_{30}} + {{\rm{C}}_{32}} + {{\rm{C}}_{34}} + {{\rm{C}}_{36}})] \end{array} $ |
CPIL=1/2[(C15+C17+C19+C21)/(C14+C16+C18+C20)+(C15+C17+C19+C21)/(C16+C18+C20+C22)][22-24]。烷烃指数(Alkane Index,AI)的计算公式:AI=C29/C31[23]。另外,本文中所用浮游植物生物标志物含量已被报道[19]。
1.4 主成分分析主成分分析使用的统计软件是SPSS 22.0(SPSS公司,芝加哥,伊利诺斯)。本文对60个样品中各个正构烷烃绝对含量与TOC的比值主成分分析之前进行了Z-得分归一化和中点值标准化。
2 结果与讨论 2.1 正构烷烃的组合特征为了更好地了解渤海-北黄海表层沉积物中正构烷烃的组合特征,分别从该海域的泥质区与非泥质区选择了具有代表性的站位(北黄海泥质区B23,非泥质区B07;渤海泥质区B50,非泥质区B42),对其正构烷烃含量与烷烃碳数作图分析如图 2。从图 2中发现:渤海-北黄海泥质区和非泥质区表层沉积物中正构烷烃都呈现高碳数单峰群模式,且其中C27、C29、C31正构烷烃含量明显地高于其他碳数的正构烷烃。低碳数正构烷烃不具有明显的优势主峰碳且含量普遍较低。一般来说,海洋沉积物中源于陆源高等植物表层蜡质的高碳数正构烷烃(≥C22),以正构烷烃C27、C29和C31最为丰富,且具有显著的奇偶优势[22]。低碳数正构烷烃(< C21)通常被认为来自海洋藻类和细菌,以C15、C17或C19正构烷烃为主峰碳,且有奇碳数优势[25-27]。细菌作用或石油烃的输入也能贡献低碳数正构烷烃,但不具有明显的奇偶优势[28-29]。因此在海洋沉积物中可以通过定量研究不同碳数正构烷烃的分子组合特征和比例关系来指示不同来源的碳分子贡献。结合图 2分析结果,表明该研究海域受陆源影响较强。从空间分布趋势中看:CPIH的高值区主要分布于黄河口并由黄河口逐渐向渤海东部减小,低值区主要出现在渤海海峡,成山头,鸭绿江入海口以及北黄海的北部(见图 3(a)),表明该研究海域陆源输入的有机物主要沉积在河口。近30年来,随着经济的发展,渤海的生态系统正承受着前所未有的压力。石油平台开采活动、船舶航行以及河流输入无一不对渤海沉积物的物源格局造成干扰[30-31]。对黄海表层沉积物研究,发现低碳数正构烷烃不具有明显的奇偶优势,且气相色谱图中< C24部分出现鼓包[7]。Milliman等[32]发现沉积物中低碳数正构烷烃易受氧化降解影响。CPIL的高值区主要分布于渤海的北部沿岸,海河入海口,黄河口的东部;而低值区主要分布于黄河口,渤海海峡以及北黄海的南部(见图 3(b))。CPIL平均值为0.9,大多数站位CPIL值接近1。高成熟度的烃源沉积岩和石油等化石源有机物中正构烷烃同系物的CPI≈1[33-35],并结合图 2分析结果,表明该海域低碳数正构烷烃无奇偶优势,不能被认为来自海洋藻类和细菌,可能受石油及其衍生物污染的影响。
|
图 2 渤海-北黄海泥质区与非泥质区样品中的不同链长烷烃含量的直方图 Fig. 2 Histogram of n-alkanes distributions in the mud area and non-mud area of the Bohai Sea and the NorthYellow Sea |
|
图 3 渤海-北黄海CPIH(a)与CPIL(b)值的空间分布 Fig. 3 Spatial distributions of CPI high (a) and CPI low (b) values in surface sediments of the Bohai Sea and the North Yellow Sea |
上述分析发现高碳数正构烷烃主要来自陆源高等植物,而且来自陆源输入的木本植物的正构烷烃多以C29正构烷烃为主峰,草本植物来源的正构烷烃多以C31正构烷烃为主峰[36-37],AI>1表示陆源沉积有机质中木本植被输入的增加,AI < 1则代表草本植被输入增加[38]。因此,可利用烷烃指数(Alkane Index)来估测陆源沉积有机质中植被类型(草本和木本植物)来源的相对贡献本。AI的高值区主要分布于渤海海峡、鸭绿江入海口,次高值区出现在渤海东部,反映出以木本植物略占优势的陆源输入;黄河口东部地区出现小范围的最低值,反映出以草本植物略占优势的陆源输入(见图 4)。而AI值范围为0.62~1.54,平均值为1.02,大多数站位AI值接近1,反映出C29与C31的含量相近,说明整体上渤海-北黄海陆源沉积物中草本和木本植物的输入所占比例相似。渤海表层沉积物和黄河下游颗粒物中木质素主要来源于被子植物草本组织与木本组织的混合[12, 39],这与本研究是一致的。
|
图 4 渤海-北黄海表层沉积物中AI值的空间分布 Fig. 4 Spatial distribution of AI value in surface sediments of the Bohai Sea and the North Yellow Sea |
北黄海-渤海表层沉积物中C14~C38正构烷烃总含量范围为206.8~3 109.1 ng/g,平均值为1 227.3 ng/g。C27+C29+C31正构烷烃含量变化范围为41.1~1 714.1 ng/g。C27+C29+C31正构烷烃含量的高值区主要分布于北黄海的中部,南黄海的北部也出现次高值;低值区主要在鸭绿江入海口,渤海海峡以及渤海的东部远岸(见图 5a)。C15+C17+C19正构烷烃的含量范围为12.2~268.7 ng/g,平均值为86.4 ng/g。C15+C17+C19正构烷烃含量的高值区主要分布于滦河入海口附近,渤海的东北部沿岸、西部及西南部,次高值区主要分布于北黄海的中部,南黄海的北部,其低值区主要分布在北黄海(见图 5b)。渤海表层沉积物的TOC含量随着粒度的减小,呈指数增加[12]。将该海域表层沉积物的TOC含量分布与该地区的表层沉积物的粒度[40-41]比较,发现TOC含量分布与粒度分布存在着密切的相关关系。在渤海中部、北黄海中部和黄海中部泥质区北部表层沉积物粒度小的区域TOC含量高;在渤海东部和北黄海东北部表层沉积物粒度相对较大的区域TOC含量低[19]。细颗粒易优先吸附富集有机物[6]。C27+C29+C31正构烷烃含量与TOC成显著正相关(R2=0.81)(见图 6a),高碳数正构烷烃含量的高值区主要分布在泥质区,低值区主要位于非泥质区(见图 5a),表明在这一海域C27+C29+C31正构烷烃含量与TOC分布趋势类似,与粒度分布存在一定的相关性,水动力作用对陆源有机物的散布和沉积发挥了重要的作用。而C15+C17+C19正构烷烃含量与TOC无明显相关性(R2=0.14)(见图 6b),而且又有着与高碳数正构烷烃不同的空间分布趋势,其高值区主要位于非泥质区(见图 5b),表明水动力作用不是主要控制该领域C15+C17+C19正构烷烃分布的因素,分布趋势的不同可能与低碳数正构烷烃的来源有关。
|
图 5 渤海-北黄海表层沉积物中C27+C29+C31正构烷烃含量(a)与C15+C17+C19正构烷烃含量(b)的空间分布 Fig. 5 Spatial distributions of C27+C29+C31 n-alkane (a) and C15+C17+C19 n-alkane (b) content in surface sediments of the Bohai Sea and the North Yellow Sea |
|
图 6 渤海-北黄海表层沉积物中C27+C29+C31正构烷烃含量(a)和C15+C17+C19正构烷烃含量(b)分别与TOC的散点图 Fig. 6 The scatter plots of C27+C29+C31 n-alkane content versus TOC (a) and C15+C17+C19 n-alkane content versus TOC (b) in surface sediments of the Bohai Sea and the North Yellow Sea |
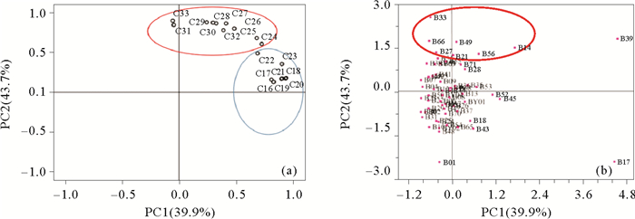
主成分分析可以用来确定表层沉积物样品中正构烷烃各个含量之间的关系。将渤海-黄海海域各个站位中正构烷烃的绝对含量进行主成分分析,来研究这一海域表层沉积物中正构烷烃的来源。结果显示,主成分分析将正构烷烃分成了陆源和海源两类,高碳数正构烷烃主要来自陆源,低碳数正构烷烃主要代表海源相对贡献;正构烷烃的分布、沉积主要受水动力作用控制,高碳数正构烷烃在泥质区容易沉积,低碳数正构烷烃多在非泥质区[3-4]。图 7a是利用渤海-北黄海表层沉积物中正构烷烃绝对含量分别与TOC做比值进行的主成分分析。在减小了粒度和沉积速率影响下,主成分分析将该海域的正构烷烃分成了两类:低碳数正构烷烃(C14~C23)(与PC1正相关)和高碳数正构烷烃(C24~C33)(与PC2正相关),主成分PC1和PC2方差贡献率分别为39.9%和43.7%。图 7b中与PC2呈明显正相关的站位(B14、B21、B27、B33、B49、B56、B66)主要来自非泥质区,表示相对含量高的高碳数正构烷烃主要位于非泥质区。这与在该海域利用正构烷烃的绝对含量进行主成分分析所得出的绝对含量高的高碳数正构烷烃主要位于泥质区的结果[3-4]相反,说明水动力条件不是控制正构烷烃分布的唯一因素。而PC1正相区无论是来自非泥质区还是泥质区的站位都聚集在一起(见图 7b),表明低碳数正构烷烃的沉积范围不受泥质区和非泥质区的限制。
|
图 7 渤海-北黄海主成分分析PC1, PC2的正交载荷图(a)与散点图(b) Fig. 7 Plots of loadings (a) and scores (b) from PC1, PC2 from PCA analysis in the Bohai Sea and the North Yellow Sea |
菜子甲醇(Brassicasterol)主要来源于硅藻[44],甲藻甾醇(Dinosterol)是甲藻细胞膜的主要成分,虽然其它少数的浮游植物(包括硅藻)也可以合成极少量的甲藻甾醇[37],但其主要还是由甲藻产生[38],而海洋中长链烯酮(Alkenones)由大洋种颗石藻产生。因此,沉积物中三种浮游植物标志物的含量在某种程度上可以代表真光层的浮游植物生物量,可以作为海洋有机质的良好指标[45]。由上述分析可知该海域的C27、C29、C31正构烷烃来自高等植物,可以用C27+C29+C31正构烷烃含量代表陆源优势正构烷烃的含量之和。将高碳数正构烷烃相对含量((C27+C29+C31)/TOC)[1]和低碳数正构烷烃相对含量((C15+C17+C19)/TOC)分别与三种浮游植物生物标志物相对含量(B+D+A/TOC)对比(见图 8)发现:(C27+C29+C31)/TOC与(B+D+A)/TOC无相关性(R2=0.04)(见图 8a),表明该海域代表陆源有机物的高碳数正构烷烃与海源有机物的分布不同,物源影响着海洋沉积有机物的分布。假设在该海域低碳数正构烷烃(C15+C17+C19正构烷烃含量)和三种浮游植物生物标志物(B+D+A含量)都可以指示海源,那么在消除或减小了沉积速率和粒度影响下,两者之间会存在一定的相关关系。然而,(C15+C17+C19)/TOC与(B+D+A)/TOC)不具有相关性(R2=-0.002)(见图 8b),表明在该海域C15+C17+C19正构烷烃不能作为海源优势正构烷烃之和,指示海源。
|
图 8 渤海-北黄海表层沉积物中(C27+C29+C31)/TOC与B+D+A/TOC (a)和(C15+C17+C19)/TOC与B+D+A/TOC (b)的散点图 Fig. 8 The scatter plots of TOC-based C27+C29+C31 n-alkane content versus TOC-based B+D+A content (a) and TOC-based C15+C17+C19 n-alkane content versus TOC-based B+D+A content (b) in surface sediments of the Bohai Sea and the North Yellow Sea |
除来源和水动力条件外,降解也是影响沉积有机物分布的一个重要因素,低碳数正构烷烃又易在氧化环境中降解[32]。C26正构醇和C29正构烷烃均来自高等植物,C29正构烷烃比C26正构醇更难降解[46],因此,可以用C26正构醇与C29正构烷烃的比值来估计在氧化还原条件下沉积物的变化情况[47-48]。较低的C26正构醇/C29正构烷烃比值,代表在有氧条件下高效的有机物降解,反之,代表在还原条件下,较慢的有机物降解。渤海-北黄海表层沉积物中的C26-OH/C29含量变化范围为0.9~2.8,大部分站位的降解指数值大于1,表明该海域沉积有机物的保存较稳定,正构烷烃的分布受降解影响较小。C26-OH/C29与C27+C29+C31正构烷烃含量和C15+C17+C19正构烷烃含量之间均无相关性(见图 9),进一步表明:降解不是该海域低碳数正构烷烃分布的主要控制因素。研究指出,由黄河输入边缘海的颗粒有机物来源复杂,53%~57%的颗粒碳来源于黄土高原沉积,10%~33%来自古沉积岩的自然侵蚀和化石燃料燃烧,16%~33%来源陆水生生物产生的现在碳[49]。化石燃料燃烧和陆地烃源沉积岩在成熟风化过程中会产生一系列的正构烷烃同系物(n-C16~45)[31, 50],该海域沉积有机碳受一定程度的再悬浮-分选作用,可以通过底栖雾状层横向分散[51]。这些原因可能都会影响该海域的低碳数正构烷烃的分布和来源,至于其来源的明确有待更深入的研究。
|
图 9 渤海-北黄海表层沉积物中C26-OH/C29与C27+C29+C31正构烷烃(a)和C15+C17+C19正构烷烃(b)含量的散点图 Fig. 9 The scatter plots of C26-OH/C29 and C27+C29+C31 n-alkane (a), C15+C17+C19 n-alkane (b) content in surface sediments of the Bohai Sea and the North Yellow Sea |
(1) 北黄海-渤海表层沉积物中正构烷烃呈单峰模式,高碳数正构烷烃主峰碳为C27、C29、C31正构烷烃,具有奇碳数优势,受陆源影响较强,且陆源有机物中草本植被输入与木本植被输入所占比例相似。低碳数正构烷烃的CPI平均值接近1,不具有奇偶优势,不能被认为来自海洋的藻类和细菌,可能受到石油及其衍生物的污染。
(2) 主成分分析表明水动力条件不是控制该海域表层沉积物中正构烷烃分布的唯一因素,来源也是其分布的重要因素。
(3) 将(C27+C29+C31)/TOC和(C15+C17+C19)/TOC含量分别与(B+D+A)/TOC做相关性分析,进一步表明该研究海域C15、C17、C19正构烷烃不能作为海源生物标志物,高碳数正构烷烃主要来自陆源。此外,降解指数(C26-OH/C29)与C15+C17+C19正构烷烃含量的对比表明该海域沉积有机物的保存较稳定,降解不是低碳数正构烷烃分布的主要控制因素。至于低碳数正构烷烃的来源和分布控制机制还有待进一步研究。
| [1] |
Xing L, Hou D, Wang X, et al. Assessment of the sources of sedimentary organic matter in the Bohai Sea and the northern Yellow Sea using biomarker proxies[J]. Estuarine, Coastal and Shelf Science, 2016, 176: 67-75. DOI:10.1016/j.ecss.2016.04.009
( 0) |
| [2] |
Milliman J D, Syvitski J P M. Geomorphic/tectonic control of sediment discharge to the ocean: the importance of small mountainous rivers[J]. The Journal of Geology, 1992, 100(5): 525-544. DOI:10.1086/629606
( 0) |
| [3] |
Hu L, Guo Z, Feng J, et al. Distributions and sources of bulk organic matter and aliphatic hydrocarbons in surface sediments of the Bohai Sea, China[J]. Marine Chemistry, 2009, 113(3): 197-211.
( 0) |
| [4] |
Hu L, Shi X, Guo Z, et al. Sources, dispersal and preservation of sedimentary organic matter in the Yellow Sea: the importance of depositional hydrodynamic forcing[J]. Marine Geology, 2013, 335: 52-63. DOI:10.1016/j.margeo.2012.10.008
( 0) |
| [5] |
李泽利, 马启敏, 程海鸥, 等. 锦州湾表层沉积物正构烷烃特征参数研究[J]. 环境科学, 2011(11): 3300-3304. Li Ze-Li, Ma Qi-Min, Cheng Hai-Ou, et al. Normal alkanes characteristic parameters of Jinzhou Bay surface sediments[J]. Environmental Science, 2011(11): 3300-3304. ( 0) |
| [6] |
鲁晓红, 陈颖军, 黄国培, 等. 黄渤海表层沉积物中正构烷烃和甾醇的分布及来源研究[J]. 生态环境学报, 2011, 20(21): 1117-1122. Lu Xiao-Hong, Chen Ying-Jun, Huang Guo-Pei, et al. Distribution and sources of lipid biomarkers in surface sediments of theYellow Sea and the Bohai Sea[J]. Ecology and Environmental Sciences, 2011, 20(6-7): 1117-1122. ( 0) |
| [7] |
Wu Y, Zhang J, Mi T-z, et al. Occurrence of n-alkanes and polycyclic aromatichydrocarbons in the core sediments of the Yellow Sea[J]. Marine Chemistry, 2001, 76(1): 1-15.
( 0) |
| [8] |
蔡德陵, 石学法, 周卫健, 等. 南黄海悬浮体和沉积物的物质来源和运移:来自碳稳定同位素组成的证据[J]. 科学通报, 2009, 46(S1): 16-23. Cai De-Ling, Shi Xue-Fa, Zhou Wei-Jian, et al. The source and transport of the suspension and sediment: evidence from stable carbon isotope[J]. Science Bulletin, 2009, 46(S1): 16-23. ( 0) |
| [9] |
赵美训, 张玉琢, 邢磊, 等. 南黄海表层沉积物中正构烷烃的组成特征、分布及其对沉积有机质来源的指示意义[J]. 中国海洋大学学报(自然科学版), 2011, 41(4): 90-96. Zhao Mei-Xun, Zhang Yu-Zhuo, Xing Lei, et al. The Composition and distribution of n-alkanes in surface sediments from the South Yellow Sea and their potential as organic matter source indicators[J]. Periodical of Ocean University of China, 2011, 41(4): 90-96. ( 0) |
| [10] |
吴莹, 张经, 于志刚. 渤海柱状沉积物中烃类化合物的分布[J]. 北京大学学报(自然科学版), 2001, 37(2): 273-277. Wu Ying, Zhang Jing, Yu Zhi-Gang. Distribution of lipids in the core sediments of the Bohai Sea[J]. Acta Scientiarum Naturalium Universitatis Pekinensis, Natural Science Edition, 2001, 37(2): 273-277. ( 0) |
| [11] |
孙书文. 渤海及邻近海域表层沉积物中木质素的分布特征及其陆源有机质示踪义[D]. 青岛: 中国海洋大学海洋化学系, 2012. Sun Shu-Wen. The distribution of lignin and its terrigenous organic matter tracer in surface sediments of Bohai and adjacent areas[D]. Qingdao: Ocean University of China, Department of Marine Chemistry, 2012. http://cdmd.cnki.com.cn/Article/CDMD-10423-1012505155.htm ( 0) |
| [12] |
高立蒙, 姚鹏, 王金鹏, 等. 渤海表层沉积物中有机碳的分布和来源[J]. 海洋学报, 2016, 38(6): 8-20. Gao Li-Meng, Yao Peng, Wang Jin-Peng, et al. Distribution and sources of organic carbon in surface sediments from Bohai[J]. Acta Oceanologica Sinice, 2016, 38(6): 8-20. ( 0) |
| [13] |
陈义兰, 吴永亭, 刘晓瑜, 等. 渤海海底地形特征[J]. 海洋科学进展, 2013, 31(1): 75-82. Chen Yi-Lan, Wu Yong-Ting, Liu Xiao-Yu, et al. Features of seafloor topography in the Bohai Sea[J]. Advances in Marine Science, 2013, 31(1): 75-82. ( 0) |
| [14] |
Zhang J, Huang W, Liu M. Geochemistry of major Chinese river-estuary systems[M]. //Zhao D, Liang Y, Tseng C, et al. Oceanology of China Sea. Netherlands: Kluwer Academic Publishers, 1994: 179-188.
( 0) |
| [15] |
林美华. 黄海海底地貌分区及地貌类型[J]. 海洋科学, 1989(6): 7-15. Lin Mei-Hua. The submarine geomorphological zones and geomorphological typesin the Yellow Sea[J]. Marine Science, 1989(6): 7-15. ( 0) |
| [16] |
李乃胜, 赵松龄, 鲍·瓦西里耶夫. 西北太平洋边缘海地质[M]. 哈尔滨: 黑龙江教育出版社, 2000. Li Nai-Sheng, Zhao Song-Ling, Bo Vasilyev. Geology of the Pacific Marginal sea[M]. Harbin: Heilongjiang Education Press, 2000. ( 0) |
| [17] |
臧家业, 汤毓祥, 邹娥梅, 等. 黄海环流的分析[J]. 科学通报, 2001, 46(增刊): 7-15. Zang Jia-Ye, Tang Yu-Xiang, Zou E-Mei, et al. the Yellow Sea circulation analysis[J]. Science Bulletin, 2001, 46(Supplement): 7-15. ( 0) |
| [18] |
高文献. 黄海沉积物中Branched GDGTs的分布及陆源有机质BIT指标的比较研究[D]. 青岛: 中国海洋大学, 2011. Gao Wen-Xian. A Comparative Study on the Distribution of Branched GDGTs and Terrestrial Organic Matter BIT Index in the Sediments of the Yellow Sea[D]. Qingdao: Ocean University of China, 2011. http://cdmd.cnki.com.cn/Article/CDMD-10423-1011230600.htm ( 0) |
| [19] |
王星辰, 邢磊, 张海龙, 等. 北黄海-渤海表层沉积物中浮游植物生物标志物的分布特征及指示意义[J]. 中国海洋大学学报(自然科学版), 2014, 44(5): 69-73. Wang Xing-Chen, Xing Lei, Zhang Hai-Long, et al. Distribution characteristics and indicative significance of phytoplankton biomarkers in surface sediments of the North Yellow Sea and the Bohai Sea[J]. Periodical of Ocean University of China, 2014, 44(5): 69-73. ( 0) |
| [20] |
Eglinton G, Hamilton R J. Leaf epicuticular waxes[J]. Science, 1967, 156(3780): 1322-1335. DOI:10.1126/science.156.3780.1322
( 0) |
| [21] |
Meyers P A. Organic geochemical proxies of paleoceanographic, paleolimnologic, and paleoclimatic processes[J]. Organic Geochemistry, 1997, 27(5): 213-250.
( 0) |
| [22] |
BrayE E, Evans E D. Distributionof n-paraffins as a clue to recognition of sourse beds[J]. Geochimica et Cosmochimica Acta, 1961, 22(1): 2-15. DOI:10.1016/0016-7037(61)90069-2
( 0) |
| [23] |
Zhang ZH, Zhao M X, Eglinton G, et al. Leaf wax lipids as paleovegetational and paleoen-vironmental proxies for the Chinese Loess Plateau over the last 170 kyr[J]. Quaternary Science Review, 2006, 25: 575-594. DOI:10.1016/j.quascirev.2005.03.009
( 0) |
| [24] |
Sikes E L, Uhle M E, Nodder S D, et al. Sources of organic matter in a coastal marine environment: Evidence from n-alkanes and their δ13C distributions in the Hauraki Gulf, New Zealand[J]. Marine Chemistry, 2009, 113: 149-163. DOI:10.1016/j.marchem.2008.12.003
( 0) |
| [25] |
Cranwell P A, Eglinton G, Robinson N. Lipids of aquatic organisms as potential contributi-ons to lacustrine sediments-Ⅱ[J]. Organic Geochemistry, 1987, 11(6): 513-527. DOI:10.1016/0146-6380(87)90007-6
( 0) |
| [26] |
Silliman J E, Schelske C L. Saturated hydrocarbons in the sediments of Lake Apopka, Florida[J]. Organic Geochemistry, 2003, 34(2): 253-260. DOI:10.1016/S0146-6380(02)00169-9
( 0) |
| [27] |
张龙军, 宫萍, 张向上. 河口有机碳研究综述[J]. 中国海洋大学学报(自然科学版), 2005, 35(5): 737-744. Zhang Long-Jun, Gong Ping, Zhang Xiang-Shang. A review of the sudy of estuarine organic carbon[J]. Periodical of Ocean University of China, 2005, 35(5): 737-744. ( 0) |
| [28] |
朱纯, 潘建明, 卢冰, 等. 长江口及邻近海域现代沉积物中正构烷烃分子组合特征及其对有机碳运移分布的指示[J]. 海洋学报, 2005, 27(4): 59-67. Zhu Chun, Pan Jian-Ming, Lu Bing, et al. Compositional feature of n-alkanes in modern sediment from the Changjiang estuery and adjacent area and its implication to transport and distribution of organic carbon[J]. Acta Oceanologica Sinice, 2005, 27(4): 59-67. ( 0) |
| [29] |
Hostettler F D, Pereira W E, Kvenvolden K A, et al. A record of hydrocarbon input to San Francisco Bay as traced by biomarker profiles in surface sediment and sediment cores[J]. Marine Chemistry, 1999, 64(1): 115-127.
( 0) |
| [30] |
胡利民, 刘季花, 石学法, 等. 渤海石油污染:来自表层沉积物中生物标志物的证据[J]. 海洋学报, 2013, 35(1): 121-130. Hu Li-Min, Liu Ji-Hua, Shi Xue-Fa, et al. Petroleum contamination in the surface sediments of the Bohai Sea: evidence from the sedimentary biomaker records[J]. Acta Oceanologica Sinice(in Chinese), 2013, 35(1): 121-130. ( 0) |
| [31] |
李胜勇. 渤海及邻近海域表层沉积物中石油烃的分布特征及来源研究[D]. 青岛: 中国海洋大学, 2013. Li Sheng-Yong. Distribution Characteristics and Sources of Petroleum Hydrocarbons in Surface Sediments of Bohai and Adjacent Sea Area[D]. Qingdao: Ocean University of China, 2013. http://cdmd.cnki.com.cn/Article/CDMD-10423-1013367834.htm ( 0) |
| [32] |
Milliman J D, Huang-Ting S, Zuo-Sheng Y, et al. Transport and deposition of river sediment in the Changjiang estuary and adjacent continental shelf[J]. Continental Shelf Research, 1985, 4(1): 37-45.
( 0) |
| [33] |
Collister J W, Lichtfouse E, Hieshima G, et al. Partial resolution of sources of n-alkanes in the saline portion of the Parachute Creek Member, Green River Formation (Piceance Creek Basin, Colorado)[J]. Organic Geochemistry, 1994, 21(6-7): 645-659. DOI:10.1016/0146-6380(94)90010-8
( 0) |
| [34] |
Pearson A, Eglinton T I. The origin of n-alkanes in Santa Monica Basin surface sediment: a model based on compound-specific Δ14C and δ13C data[J]. Organic Geochemistry, 2000, 31(11): 1103-1116. DOI:10.1016/S0146-6380(00)00121-2
( 0) |
| [35] |
Bjorøy M, Hall P B, Hustad E, et al. Variation in stable carbon isotope ratios ofindividual hydrocarbons as a function of artificial maturity[J]. Organic Geochemistry, 1992, 19(1): 89-105.
( 0) |
| [36] |
Ficken K J, Li B, Swain D L, et al. An n-alkane proxy for the sedimentary inputs of subme-Rged floating freshwater aquatic macrophytes[J]. Organic Geochemistry, 2000, 31: 745-749. DOI:10.1016/S0146-6380(00)00081-4
( 0) |
| [37] |
Mead R, Xu Y, Chong J, et al. Sediment and soil organic matter source assessment as reve-aled bythe molecular distribution and carbon isotopic composition of n-alkanes[J]. Organic Geochemistry, 2005, 36(3): 363-370. DOI:10.1016/j.orggeochem.2004.10.003
( 0) |
| [38] |
Volkman J K, Barrett S M, Blackburn S I, et al. Microalgal biomarkers: a review of recent research developments[J]. Organic Geochemistry, 1998, 29(5-7): 1163-1179. DOI:10.1016/S0146-6380(98)00062-X
( 0) |
| [39] |
张婷婷. 黄河下游颗粒有机碳输运的季节变化特征及人为活动的影响[D]. 青岛: 中国海洋大学, 2015. Zhang Ting-Ting. Saesonal Variation and Anthropogenic Impact on the Transport of Particulate Organic Carbon in the Lower Yellow River[D]. Qingdao: Ocean University of China, 2015. http://cdmd.cnki.com.cn/Article/CDMD-10423-1015715244.htm ( 0) |
| [40] |
王伟, 李安春, 徐方建, 等. 北黄海表层沉积物粒度分布特征及其沉积环境分析[J]. 海洋与湖沼, 2009, 40(5): 525-531. Wang Wei, Li An-Chun, Xu Fang-Jian, et al. The distribution characteristics of grain size and sedimentary environment analysis in urface sediments of North the Yellow Sea[J]. Oceanologia Et Limnologia Sinica, 2009, 40(5): 525-531. DOI:10.11693/hyhz200905001001 ( 0) |
| [41] |
乔淑卿, 石学法, 王国庆, 等. 渤海底质沉积物粒度特征及输运趋势探讨[J]. 海洋学报, 2010, 32(4): 139-147. Qiao Shu-Qing, Shi Xue-Fa, Wang Guo-Qing, et al. Discussion on grain-size characteristics of seafloor sediment and transport pattern in the Bohai Sea[J]. Acta Oceanologica Sinice, 2010, 32(4): 139-147. ( 0) |
| [42] |
Wang J, Yao P, Bianchi T S, et al. The effect of particle density on the sources, distribution, and degradation of sedimentary organic carbon in the Changjiang Estuary and adjacent shelf[J]. Chemical Geology, 2015, 402: 52-67. DOI:10.1016/j.chemgeo.2015.02.040
( 0) |
| [43] |
王金鹏, 姚鹏, 孟佳, 等. 基于水淘选分级的长江口及其邻近海域表层沉积物中有机碳的来源, 分布和保存[J]. 海洋学报, 2015, 37(6): 41-57. Wang Jin-Peng, Yao Peng, Meng Jia, et al. Sources, Distribution and preservation of size-fractinated sedimentary organic carbon of the Changjiang Estuany and adjacent shelf based on water elutriation[J]. Acta Oceanologica Sinice, 2015, 37(6): 41-57. DOI:10.11978/j.issn.1009-5470.2014.06.006 ( 0) |
| [44] |
Barrett S M, Volkman J K, Dunstan G A, et al. Sterols of 14 Species of marine diatoms (bacillariophyta) 1[J]. Journal of Phycology, 1995, 31(3): 360-369. DOI:10.1111/j.0022-3646.1995.00360.x
( 0) |
| [45] |
Xing L, Zhang H, Yuan Z, et al. Terrestrial and marine biomarker estimates of organicmatter sources and distributions in surface sediments from the East China Sea shelf[J]. Continental Shelf Research, 2011, 31(10): 1106-1115. DOI:10.1016/j.csr.2011.04.003
( 0) |
| [46] |
Cacho I, Grimalt J O, Sierro F J, et al. Evidence for enhanced Mediterranean thermohaline circulation during rapid climatic coolings[J]. Earth and Planetary Science Letters, 2000, 183(3): 417-429.
( 0) |
| [47] |
Martrat B, Grimalt J O, Shackleton N J, et al. Four climate cycles of recurring deep and surfacewater destabilizations on the Iberian margin[J]. Science, 2007, 317(5837): 502-507. DOI:10.1126/science.1139994
( 0) |
| [48] |
Xing L, Zhang R, Liu Y, et al. Biomarker records of phytoplankton productivity and community structure changes in the Japan Sea over the last 166 kyr[J]. Quaternary Science Reviews, 2011, 30(19): 2666-2675.
( 0) |
| [49] |
Tao S, Eglinton T I, Montluçon D B, et al. Pre-aged soil organic carbon as a major component of the Yellow River suspended load: Regional significance and global relevance[J]. Earth and Planetary Science Letters, 2015, 414: 77-86. DOI:10.1016/j.epsl.2015.01.004
( 0) |
| [50] |
Freeman K H, Colarusso L A. Molecular and isotopic records of C4 grassland expansion in the late miocene[J]. Geochimica et Cosmochimica Acta, 2001, 65(9): 1439-1454. DOI:10.1016/S0016-7037(00)00573-1
( 0) |
| [51] |
Bao R, McIntyre C, Zhao M, et al. Widespread dispersal and aging of organic carbon in shallow marginal seas[J]. Geology, 2016, 44(10): 791-794. DOI:10.1130/G37948.1
( 0) |
2. Ocean University of China Institute of Marine Organic Geochemistry, Qingdao 266100, China
2018, Vol. 48



0)