文章信息
- 郑建岚, 佘嘉佳, 王国杰
- ZHENG Jianlan, SHE Jiajia, WANG Guojie
- 荷载与氯化物耦合作用下高性能混凝土中钢筋锈蚀试验
- Experimental study of steel bars corrosion in HPC affected by load and chloride
- 武汉大学学报(工学版), 2018, 51(1): 32-39
- Engineering Journal of Wuhan University, 2018, 51(1): 32-39
- http://dx.doi.org/10.14188/j.1671-8844.2018-01-005
-
文章历史
- 收稿日期: 2016-06-30
2. 福州大学福建省环保节能型高性能混凝土协同创新中心,福建 福州 350108;
3. 福州大学土木工程学院,福建 福州 350108
2. Environmental Protection, Energy-saving Collaborative Innovation Center of High-performance Concrete in Fujian Province, Fuzhou University, Fuzhou 350108, China;
3. College of Civil Engineering, Fuzhou University, Fuzhou 350108, China
钢筋锈蚀是影响混凝土结构耐久性最重要的因素之一,它会使混凝土保护层胀裂甚至脱落,削弱钢筋与混凝土之间的粘结,影响结构的正常使用.许多试验结果表明荷载和锈蚀共同作用降低了混凝土结构的承载能力[1-3].王阵地[4]、刘琳[5]等人进行了多因素耦合作用下钢筋的锈蚀试验,得出应力增大了钢筋锈蚀风险的结论;耿国庆[6]、陈雯[7]等人研究了不同pH值的模拟混凝土孔溶液中钢筋锈蚀的极化电阻的区别.已有研究主要围绕普通混凝土中的钢筋锈蚀来进行[8],但近年来高性能混凝土大量运用于各种环境和不同类型的建筑物以满足施工对混凝土工作性的要求等.矿物掺和料和外加剂的掺入,将改变高性能混凝土中钢筋的锈蚀状况.本文以单掺粉煤灰、复掺粉煤灰与矿渣以及掺阻锈剂和应力水平为主要因素,开展高性能混凝土在氯离子和荷载耦合作用下钢筋抗锈蚀性能试验研究.
1 试验方案 1.1 原材料与试件设计试验所用胶凝材料包括P·O 42.5R普通硅酸盐水泥、矿渣和Ⅱ级粉煤灰,其化学成分见表 1;钢筋为HPB300普通建筑圆钢;细集料采用细度模数为2.6的河砂,粗集料为粒径分别是5~20 mm和16.5~31 mm的碎石,以7:3比例混合;拌和水为自来水,减水剂为聚羧酸系高性能减水剂.本试验采用的两种品牌阻锈剂分别以符号a、b表示.
| 材料 | 质量分数/% | ||||||
| CaO | SiO2 | Al2O3 | MgO | SO3 | Fe2O3 | f-CaO | |
| 水泥 | 61.5 | 19.80 | 5.18 | 1.73 | 2.60 | 2.87 | 0.58 |
| 粉煤灰 | 0.2 | 52.20 | 28.96 | 1.45 | 0.20 | 5.97 | 0.35 |
| 矿渣 | 45.2 | 39.44 | 8.70 | 2.78 | 0.31 | 0.96 | 0 |
高性能混凝土试件为100 mm×100 mm×400 mm小梁,中间埋置2根直径为8 mm的圆钢,保护层厚度为15 mm,暴露面积约为100.48 cm2.钢筋在埋入混凝土之前先用丙酮去除表面油脂,用盐酸洗去表面铁锈,最后用碳酸钠中和钢筋表面盐酸,经清水冲洗干净擦干后烘干.试件成型之后伸出端部钢筋的焊接导线包裹纱布后用环氧树脂密封,养护28 d.
试验共有12个配合比,混凝土强度等级为C40,水胶比为0.375,砂率为43%.具体配合比、28 d抗压强度以及工作性见表 2.其中,A系列研究粉煤灰掺量对钢筋锈蚀的影响,B系列研究矿物掺和料总掺量在40%时粉煤灰与矿渣复掺对钢筋锈蚀的影响.表 2中最后2行为考虑阻锈剂对钢筋锈蚀的影响,分别表示在A2配合比基础上掺阻锈剂a和阻锈剂b,阻锈剂掺量均为胶凝材料总量的3%,等量取代水泥,即12 kg.
| 系列 | 编号 | 矿物掺和料掺量和比例 | 配合比/(kg·m3) | 坍落度 /mm |
抗压强度 /MPa |
||||||
| 水 | 水泥 | 粉煤灰 | 矿渣 | 砂 | 粗集料 | 减水剂 | |||||
| A系列粉煤灰单掺 | A1 | FA=0% | 160 | 400 | 0 | 0 | 779 | 1 029 | 4.0 | 210 | 52.2 |
| A2 | FA=20% | 160 | 320 | 80 | 0 | 779 | 1 029 | 4.0 | 210 | 50.8 | |
| A3 | FA=30% | 160 | 280 | 120 | 0 | 779 | 1 029 | 4.0 | 190 | 49.8 | |
| A4 | FA=40% | 160 | 240 | 160 | 0 | 779 | 1 029 | 3.8 | 210 | 45.5 | |
| A5 | FA=50% | 160 | 200 | 200 | 0 | 779 | 1 029 | 3.8 | 190 | 42.7 | |
| A6 | FA=60% | 160 | 160 | 240 | 0 | 779 | 1 029 | 3.8 | 210 | 36.4 | |
| B系列复掺40% | B1 | FA:SG=3:7 | 160 | 240 | 48 | 112 | 779 | 1 029 | 4.0 | 200 | 51.3 |
| B2 | FA:SG=3:5 | 160 | 240 | 60 | 100 | 779 | 1 029 | 4.0 | 200 | 51.0 | |
| B3 | FA:SG=5:5 | 160 | 240 | 80 | 80 | 779 | 1 029 | 4.0 | 200 | 49.2 | |
| B4 | FA:SG=7:3 | 160 | 240 | 112 | 48 | 779 | 1 029 | 4.0 | 200 | 49.0 | |
| C系列掺阻锈剂 | C1-a | FA=20% | 160 | 308 | 80 | 0 | 779 | 1 029 | 5.0 | 180 | 48.6 |
| C2-b | FA=20% | 160 | 308 | 80 | 0 | 779 | 1 029 | 4.2 | 215 | 53.4 | |
以上配合比均满足泵送混凝土所需的坍落度要求,每组配合比成型5个试件,其中3个施加荷载,2个不加荷载,比较荷载对钢筋锈蚀的影响.共制作60个试件.
1.2 持续加载装置试验中采用弯曲弹簧加载装置,加载点位置为小梁3等分点,支座距离试件边缘50 mm.所有试件施加荷载按受弯构件正截面承载力50%采用.
1.3 通电加速锈蚀装置将加载与不加载的试件全部浸泡于浓度为3.5%的NaCl溶液中,溶液为NaCl(分析纯)和去离子水调配而成.通过对钢筋施加外部直流电来加速钢筋锈蚀.电源正极与钢筋相连,负极与不锈钢板相连,在每根钢筋上施加6 V电压,试验过程中保持恒定.
1.4 电化学测试方法使用PARSTAT 4000电化学工作站进行电化学测试.采用经典的三电极法,即饱和甘汞电极为参比电极,307不锈钢板为辅助电极,混凝土小梁中的钢筋为工作电极.测试方法为线性极化法和电化学阻抗谱法.在进行线性极化法测试时,对钢筋进行相对开路电位±10 mV的极化,扫描速率为0.167 mV/s.在EIS测试中,扫描频率从高频区的1 MHz扫描到低频区的10 mHz,所施加的电压为10 mV.
1.5 腐蚀产物观测锈蚀试验后用清水将小梁冲洗干净,用钢丝球刷去表面的锈迹,用裂缝观测仪观测小梁混凝土裂缝并记录最大裂缝宽度,在万能试验机上分别测试锈蚀后加载小梁受拉区钢筋和不加载小梁钢筋的失重率.
2 试验结果与分析 2.1 开路电位与极化电阻当外部电流密度为0时,对于不可逆电极其开路电位就是其自腐蚀电位[2].通电锈蚀28 d之后小梁的Ecorr(腐蚀电位)经测试都明显低于-275 mV,表明小梁都处于锈蚀状态.由于Ecorr的测试受众多因素影响,故只能作为定性描述的指标,而腐蚀电流密度icorr可以定量表征钢筋的腐蚀程度,由下式求得[9]:
(1)
式中:B为Stern-Geary常数,常在26~52 mV取值,但B值会随腐蚀状态而改变[10];Rp为极化电阻,可以通过线性极化法直接测得,其值越高,表示钢筋腐蚀速率越低.极化电阻指引起极化的电阻,这种在电极表面上生成的使欧姆电阻增加的物质正是钢筋表面的钝化膜,钢筋在发生锈蚀时,钝化膜的破坏是第一步,因此极化电阻能够反映钢筋锈蚀的信息[11].故本文用极化电阻间接表征钢筋的腐蚀速率.
图 1是锈蚀28 d后对A系列和B系列配合比加载小梁受拉区T钢筋与不加载小梁N钢筋进行测试得到的极化电阻值.
|
| 图 1 锈蚀28 d后加载小梁中T钢筋和不加载小梁中N钢筋Rp Figure 1 Rp of T steel and N steel bars in the little beam after 28 d |
通过观察A系列单掺粉煤灰小梁以得出不同掺量粉煤灰对极化阻值的影响.对于T钢筋和N钢筋,粉煤灰掺量在40%以下时,随着粉煤灰掺量的提高极化电阻值随之增大,但粉煤灰掺量超过40%后极化阻值随之减少,说明粉煤灰减缓高性能混凝土中钢筋锈蚀速度的最佳掺量是40%.粉煤灰掺量为20%、30%、40%、50%、60%的加载小梁受拉区钢筋极化电阻值比不掺粉煤灰小梁分别提高11.2%、164.8%、215.7%、142.8%、120.4%.
出现以上现象的原因一方面是因为粉煤灰和水泥相比有较大的比表面积和较小的密度,其等量代替水泥相当于在混凝土的水泥石中引进了更多次中心质,改善了次中心质和次介质的颗粒级配,填充了水泥颗粒之间较大的空隙,降低了浆体中的毛细孔隙率,细化了孔径,所以水和侵蚀介质难以进入混凝土内部;另一方面,更多较低碱度的C-S-H胶凝材料使得水泥石结构更加致密,从而降低了混凝土孔隙率,改善了孔的级配,使孔细化阻断了可能形成的渗透通路[12].
2.1.2 复掺粉煤灰与矿渣对极化阻值的影响通过分析总掺量为40%的粉煤灰与矿渣复掺B系列试验结果可以得到,有无荷载时粉煤灰与矿渣复掺比例为5:5的B3极化电阻值最大,表明其锈蚀速率最低.B系列极化阻值大部分大于A系列,特别是明显高于未掺入矿物掺和料A1配合比各小梁.例如B2、B3小梁的粉煤灰与矿渣复掺比例为3:5、5:5时,其加载小梁T钢筋的极化阻值分别比A1提高217.5%、275.8%,其不加载小梁N钢筋的极化阻值则分别提高118.1%、174.2%.表明矿渣的加入对进一步细化混凝土内部孔隙有着明显的作用.其原因之一是粉煤灰与矿渣的细度不同,复掺之后两者相互填充孔隙,这种超叠加效应使得混凝土中毛细孔径更加细小,提高了浆体的密实性.此外,粉煤灰的早期强度低而矿渣早期强度高,两者复掺弥补了各自的不足.因此,采用复掺的混凝土对抗钢筋锈蚀有很好的改善.
图 2分别为不掺矿物掺和料、单掺粉煤灰和复掺粉煤灰与矿渣混凝土试件的扫描电镜图片,从图中可以看出,掺入矿物掺和料的试件其细观结构较为致密,其中复掺粉煤灰与矿渣效果更好.
|
| 图 2 SEM照片 Figure 2 Photograph by SEM |
对比图 1中加载小梁T钢筋与不加载小梁N钢筋的极化电阻值,可明显看出后者的极化电阻值明显高于前者,表明荷载加速了钢筋的锈蚀.其中,荷载作用对A2小梁中钢筋的锈蚀速度影响最为明显,即荷载作用使掺20%粉煤灰的小梁中钢筋的极化电阻值显著下降,锈蚀速率大为提高,其有荷载时的极化阻值相比无荷载时降低了60.2%.但随着粉煤灰掺量增大,不同程度地减弱荷载对钢筋锈蚀的不利影响,其中荷载对钢筋锈蚀影响最小的是A4小梁,只降低了4.7%.A系列和B系列配合比加载小梁中钢筋极化电阻值均值比不加载小梁降低了23.3%.其原因是在弯曲荷载作用下,混凝土受拉区封闭孔连通和微裂纹扩展,氯离子、氧气和水从孔洞和裂缝传输到钢筋表面.
2.2 电化学阻抗谱 2.2.1 单掺粉煤灰对阻抗谱的影响在阻抗谱分析中,通常使用两种分析图,一种是Nyquist图,这种图是以阻抗的虚部Zim作为纵轴,以阻抗的实部Zre作为横轴绘制的阻抗谱;另一种为Bode图,其横轴为输入正弦波频率的对数,纵轴为阻抗模|Z|,|Z|值越大表示钢筋锈蚀速度越低.
图 3、4为A系列的Nyquist图,图 4中曲线低频段呈直线表示钢筋钝化,可看出,经过28 d锈蚀后,小梁中钢筋Nyquist图低频端明显收缩,相应的钢筋腐蚀速度急剧增大.此外,对比锈蚀前后钢筋Nyquist图上高频端可以发现,图 4上高频端起点较图 3相比往左平移;高频端的坐标值对应保护层的电阻,而钢筋的腐蚀速度和混凝土电阻率成反比关系[13],故以上现象都表明混凝土保护层电阻变小,锈蚀速率变大.
|
| 图 3 锈蚀前A系列小梁钢筋Nyquist图 Figure 3 Nyquist graph of A series steel bars before corrosion |
|
| 图 4 锈蚀后A系列小梁钢筋Nyquist图 Figure 4 Nyquist graph of A series steel bars after corrosion |
对比图 5(a)、(b)中的各条曲线阻抗模值可以判断得出不同配合比小梁中钢筋锈蚀速度的区别.
|
| 图 5 锈蚀后A系列小梁钢筋bode图 Figure 5 Bode graph of A series steel bars after corrosion |
各配合比加载小梁T钢筋锈蚀速度大小为
各配合比不加载小梁N钢筋锈蚀速度大小为
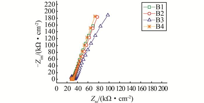
图 6为复掺B系列锈蚀前的Nyquist图,反映了单掺粉煤灰时相同的规律,曲线低频段呈直线表示钢筋钝化.图 7为锈蚀后各配合比Nyquist图.为了清楚比较单掺与复掺配合比试件中钢筋锈蚀速度的区别,综合比较了A系列的A2、A4与复掺B系列阻抗谱图.分析两图都可以得出,对于复掺B系列,B1组高频端最左,B3组高频端最右,反映出B1的锈蚀速度最大,B3的锈蚀速度最小.
|
| 图 6 锈蚀前B系列小梁钢筋Nyquist图 Figure 6 Nyquist graph of B series steel bars before corrosion |
|
| 图 7 锈蚀后各配合比小梁的钢筋Nyquist图 Figure 7 Nyquist graph of steel bars after corrosion |
通过图 8的阻抗模大小可以得到各配合比加载小梁中T钢筋中锈蚀速度的大小为
|
| 图 8 锈蚀后各配合比小梁的钢筋Bode图 Figure 8 Bode graph of steel bars after corrosion |
不加载小梁中N钢筋中锈蚀速度大小为
图 9、10为A2、A4配合比加载小梁T钢筋和不加载小梁N钢筋锈蚀3 d前后通过EIS测试得到的Nyquitst图,图例中0 d表示未锈蚀前进行EIS测试,3 d表示锈蚀3 d后进行EIS测试,钢筋命名符号同前.从图中可以看出锈蚀前钢筋表现出完整的高频容抗弧,而低频容抗弧由于受测试频率的限制表现为一段上扬的直线.通常来说,测试曲线中高频区与低频区分别存在两段容抗弧,其中低频区的圆弧接近于直线,这是混凝土中钢筋钝化状态的典型特征.通电锈蚀3 d之后低频端容抗弧半径和未锈蚀之前测试结果相比明显减小,其中又以加载钢筋的容抗弧半径减小最多,这与混凝土保护层电阻率下降有关,表示荷载加速了钢筋的锈蚀.
|
| 图 9 A2加载小梁T钢筋和不加载小梁N钢筋Nyquist图 Figure 9 Nyquist graph of steel bars in A2 |
|
| 图 10 A4加载小梁T钢筋和不加载小梁N钢筋Nyquist图 Figure 10 Nyquist graph of steel bars in A4 |
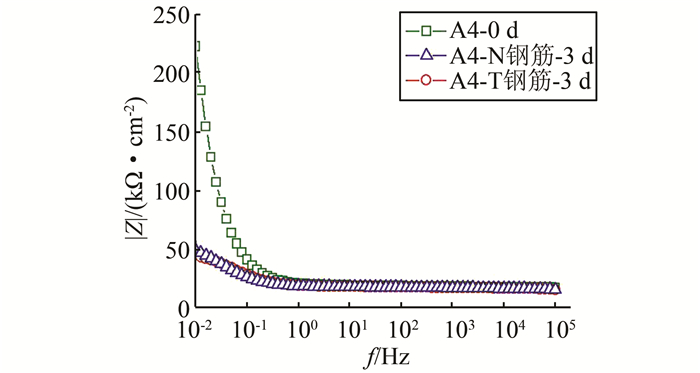
图 11、12为A2、A4配合比加载小梁T钢筋和不加载小梁N钢筋的Bode图.通电锈蚀3 d之后钢筋的阻抗模明显减小,其中加载小梁减小得更多.同样说明荷载加速了钢筋的锈蚀速率.对比两图 3d的曲线可以发现,相对于A2的两条加载与不加载的曲线之间阻抗模差值大于50 kΩ·cm2,A4的两条曲线的阻抗模则差别不大,说明在锈蚀的前3 d,荷载对A2锈蚀速率的影响更大.这与线性极化法测试得到的结果一致.
|
| 图 11 A2加载小梁T钢筋和不加载小梁N钢筋Bode图 Figure 11 Bode graph of steel bars in A2 |
|
| 图 12 A4加载小梁T钢筋和不加载小梁N钢筋Bode图 Figure 12 Bode graph of steel bars in A4 |
图 13为有无掺阻锈剂的A2配合比加载小梁中T钢筋的Nyquist图和Bode图.可以看出掺入阻锈剂后的A2小梁T钢筋的高频区横坐标起始值或是阻抗模都比无阻锈剂掺入时的A2组大,说明阻锈剂的掺入一定程度上减缓了钢筋锈蚀.a、b两种阻锈剂的阻抗模值相差近1倍,说明不同阻锈剂对抑制钢筋锈蚀速度的效果有明显区别,后者阻锈效果更好.
|
| 图 13 A2掺两种阻锈剂的Nyquist图和Bode图 Figure 13 Nyquist graph and Bode graph of steel bars in A2 with two kinds of corrosion inhibitors |
通电锈蚀期间,钢筋的锈蚀产物充满混凝土内部孔隙之后会溢出小梁表面并形成堆积.在裂缝处有青绿色Fe(OH)2或红褐色Fe2O3锈蚀产物出现.清除表面锈蚀产物,可见小梁表面顺筋方向产生了长度不一的裂缝,如图 14,从图中可看出,各小梁受拉区裂缝宽度基本大于不加载小梁裂缝宽度,说明荷载加速了锈蚀产物的生成,从而增大混凝土保护层中的锈胀拉应力.
|
| 图 14 部分小梁受拉区开裂情况 Figure 14 Cracking situation in tension zone of part little beams |
裂缝的产生是由于小梁内部钢筋腐蚀产生大量锈蚀产物,当其充满混凝土内部孔隙后产生的膨胀力使得保护层开裂.使用裂缝观测仪测量锈蚀28 d后小梁保护层开裂最大裂缝宽度,如图 15所示.
|
| 图 15 各小梁最大裂缝宽度值 Figure 15 Maximum crack width of little beams |
比较单掺粉煤灰的A1~A6小梁,粉煤灰掺量为40%时裂缝宽度最小,其受拉区和不加载小梁最宽裂缝比不掺粉煤灰的A1组分别减小了66.7%、80%.复掺时B2和B3小梁的受拉裂缝宽度最小,其与A1相比裂缝最大宽度减小了83.3%,其与粉煤灰掺量为40%的A4相比也减小了50%.
将小梁破型之后可以发现,受拉区一侧的锈蚀产物明显多于受压区,如图 16所示,再一次证实了荷载的作用加速了钢筋的锈蚀,此外,不掺矿物掺和料的A1小梁产生的锈蚀产物明显多于粉煤灰掺量为40%的A4小梁,说明矿物掺和料的掺入对抑制钢筋锈蚀有明显帮助.
|
| 图 16 小梁破型后照片(上部为受拉区) Figure 16 Picture of little beams in broken type (The upper is tensile area) |
试验对单掺A系列、复掺B系列以及掺阻锈剂加载小梁和不加载小梁中锈蚀后钢筋的质量进行了称重,通过下式计算失重率(见图 17):
(2)
|
| 图 17 单掺、复掺系列加载试件受拉区钢筋、不加载试件钢筋失重率图 Figure 17 Weightlessness rate chart of steel bars of loaded specimen in tensile zone and unloaded specimen |
式中:m1为钢筋锈蚀前质量,g;m2为钢筋锈蚀后质量,g.
2.4.1 单掺粉煤灰对失重率的影响从图 17可知,有、无荷载作用时未掺入矿物掺和料的小梁中钢筋的失重率都最大.随着粉煤灰掺量的增加,钢筋的失重率呈降低趋势,粉煤灰掺量为40%时其作用效果最好,此后随着粉煤灰掺量的增大,失重率又呈上升趋势.其中,粉煤灰掺量为40%的加载小梁中的T钢筋与不加载小梁中的N钢筋的失重率分别是7.75%、7.28%,仅为不掺矿物掺和料对应小梁中钢筋的0.82倍和0.84倍.
2.4.2 复掺粉煤灰与矿渣对失重率的影响对比复掺系列4个配合比可以发现,有、无荷载作用时复掺比例为5:5小梁中钢筋失重率最低.由图 17可以看出,复掺系列失重率柱状图高度大部分都位于单掺粉煤灰系列失重率之下,表明复掺时对抑制混凝土中钢筋锈蚀比单掺时效果更佳.例如荷载作用下,粉煤灰与矿渣5:5复掺小梁中的T钢筋失重率仅为未掺入矿物掺和料小梁的0.77倍.无荷载作用时,复掺比例5:5的小梁中N钢筋为未掺入矿物掺和料的小梁的0.61倍.
2.4.3 荷载对失重率的影响A系列、B系列以及掺阻锈剂C系列配合比加载小梁受拉区钢筋的平均失重率达到7.59%,为不加载小梁钢筋平均失重率的1.19倍.
2.4.4 阻锈剂对失重率的影响两种阻锈剂的掺入均降低了钢筋的失重率,如对加载小梁中的T钢筋来说,未掺入阻锈剂前钢筋失重率为8.99%,掺入a种阻锈剂后失重率为7.57%,掺入b种阻锈剂后失重率为4.34%.后两者仅为前者的0.86倍和0.49倍.
3 结论1) 随着单掺粉煤灰掺量的增大,钢筋锈蚀速度和锈蚀程度出现先减小后增大的情况.粉煤灰掺量为20%、30%、40%、50%、60%时,试件受拉区钢筋极化电阻值比不掺粉煤灰试件分别提高了11.2%、164.8%、215.7%、142.8%、120.4%.当粉煤灰掺量为40%时其作用效果最好,如受拉区最大裂缝宽度与不掺矿物掺和料试件相比降低了66.7%,受拉区钢筋失重率是不掺矿物掺和料试件的0.82倍.
2) 采用粉煤灰与矿渣复掺能够进一步减缓混凝土中钢筋的锈蚀程度.复掺比例为1:1试件受拉区钢筋的极化阻值比不掺粉煤灰试件提高275.8%,在复掺系列中锈蚀速度最低,其受拉区保护层最大裂缝宽度与不掺矿物掺和料的小梁相比降低了83.3%,受拉区钢筋失重率是不掺矿物掺和料对应试件中钢筋的0.77倍.
3) 荷载会显著加速钢筋的锈蚀速度和程度.单掺粉煤灰系列、粉煤灰与矿渣复掺系列配合比极化阻值在荷载作用下降低的均值在23.3%左右.从失重率方面分析,本文12组配合比加载小梁受拉区钢筋的平均失重率达到7.59%,为不加载小梁钢筋平均失重率的1.19倍.
4) 不同品牌阻锈剂的阻锈效果并不一致,本文中两种阻锈剂电化学测试得到的阻抗模值相差近一倍.粉煤灰掺量为20%的小梁分别掺入a、b两种阻锈剂后,钢筋失重率为未掺入时的0.85和0.49倍.
| [1] | Malumbela G, Alexander M, Pilate M. Lateral deformation of RC beams under simultaneous load and steel corrosion[J]. Construction and Building Materials, 2010, 24(1): 17–24. DOI:10.1016/j.conbuildmat.2009.08.005 |
| [2] | Pradhan B, Bhattacharjee B. Performance evaluation of rebar in chloride contaminated concrete by corrosion rate[J]. Construction and Building Materials, 2009, 23(6): 2346–2356. DOI:10.1016/j.conbuildmat.2008.11.003 |
| [3] | Wei J, Fu X X, Dong J H. Corrosion evolution of reinforcing steel in concrete under dry/wet cyclic conditions contaminated with chloride[J]. Science Direct, 2012, 28(10): 905–912. |
| [4] |
王阵地, 姚燕, 王玲. 冻融循环-氯盐侵蚀-荷载耦合作用下混凝土中钢筋的锈蚀行为[J].
硅酸盐学报, 2011(6): 1022–1027.
Wang Zhendi, Yao Yan, Wang Ling. Corrosion be havior of steel bar embedded in concrete subject to freeze-thaw cycles-chloride attack-flexural load[J]. Journal of Chinese Ceramic Society, 2011(6): 1022–1027. |
| [5] |
刘琳. 力学和环境耦合因素作用下钢筋混凝土的寿命预测模型[D]. 南京: 东南大学, 2008.
Liu Lin. Life prediction model of reinforced concrete under the action of coupling mechanics and environment factors[D]. Nanjing: Southeast University, 2008. http://www.wanfangdata.com.cn/details/detail.do?_type=degree&id=Y1424266 |
| [6] |
耿国庆, 施锦杰, 孙伟. 模拟混凝土孔溶液中钢筋腐蚀的稳态与瞬态电化学方法比较[J].
腐蚀科学与防护技术, 2011(4): 323–329.
Geng Guoqing, Shi Jinjie, Sun Wei. Comparison of the transient and stead electrochemical measurements for steel corrosion in simulated concrete pore solution[J]. Corrosion Science and Protection Technology, 2011(4): 323–329. |
| [7] |
陈雯, 杜荣归, 胡融刚, 等. 模拟混凝土孔隙液中钢筋表面膜组成与腐蚀行为的关联[J].
金属学报, 2011, 47: 735–742.
Chen Wen, Du Ronggui, Hu Ronggang, et al. Correlation between composition of reinforcing steel surface film and steel corrosion behavior in simulated concrete pore solutions[J]. Acta Metallurgica Sinica, 2011, 47: 735–742. |
| [8] |
卢木, 王濮信, 卢金勇. 混凝土中钢筋锈蚀的研究现状[J].
混凝土, 2000(2): 37–41.
Lu Mu, Wang Puxin, Lu Jinyong. The current research status of steel corrosion in concrete[J]. Concrete, 2000(2): 37–41. |
| [9] | Stern M, Geary A L. Electrochemical polarization:Theoretical analysis of the shape of polarization curves[J]. Journal of Electrochemical Society, 1957, 104(1): 56–63. DOI:10.1149/1.2428496 |
| [10] |
施锦杰, 孙伟. 电迁移加速氯盐传输作用下混凝土中钢筋锈蚀[J].
东南大学学报(自然科学版), 2011(5): 1042–1047.
Shi Jinjie, Sun Wei. Investigation of steel corrosion induced by accelerated chloride migration in concrete[J]. Journal of Southeast University (Natural Science Edition), 2011(5): 1042–1047. |
| [11] |
巴恒静, 赵静旋. 利用极化电阻测试混凝土模拟空隙溶液中钢筋锈蚀临界氯离子浓度[J].
混凝土, 2010(12): 1–4.
Ba Hengjing, Zhao Jingxuan. Study on chloride threshold level of reinforcing steel corrosion in simulated concrete pore solution by testing Rp[J]. Concrete, 2010(12): 1–4. DOI:10.3969/j.issn.1002-3550.2010.12.001 |
| [12] |
于继寿, 殷国伟, 葛勇, 等. 掺合料对钢筋锈蚀性能的影响[J].
武汉理工大学学报, 2009(2): 82–86.
Yu Jishou, Yin Guowei, Ge Yong, et al. Effect of mineral admixtures on reinforcement corrosion[J]. Journal of Wuhan University of Technology, 2009(2): 82–86. |
| [13] |
施锦杰, 孙伟. 弯曲荷载与氯盐耦合作用下混凝土中钢筋锈蚀程度评估[J].
硅酸盐学报, 2010(7): 1201–1208.
Shi Jinjie, Sun Wei. Evaluation of steel corrosion in concrete under simultaneous flexural load and chloride attacks[J]. Journal of Chinese Ceramic Society, 2010(7): 1201–1208. |
2018, Vol. 51


