| 膨润土负载木质素分散的纳米零价铁的制备及其在去除铬废水中的应用 |
铬及其化合物广泛用于油漆、颜料, 木材防腐剂、电镀、皮革鞣制、纺织印染以及不锈钢行业等[1]。通常, 铬在水环境中存在两种价态:Cr(Ⅲ)和(Cr(Ⅵ)[2]。Cr(Ⅵ)具有毒性和致癌性, 因此受到了更多关注。同时, Cr(Ⅲ)与Cr(Ⅵ)相比毒性较小, 易于以氢氧化物或络合物的形式沉淀并从废水中去除[3]。许多国家和组织为铬(Ⅵ)的排放制定了极其严格的标准。在中国, 它被认为是第一类污染物之一, Cr(Ⅵ)的允许排放浓度为0.5 mg/L(GB 8978-1996), 而总铬(包括Cr(Ⅲ), Cr(Ⅵ)及其其他形式)被限制在1.5 mg/L以下。
目前, 处理含Cr(Ⅵ)废水的主要方法包括物理吸附[4], 化学还原[5], 离子交换[6], 生物富集[7]和膜分离[8]。但是这些方法处理效果不理想, 处理效率慢, 价格昂贵等缺点。当务之急是寻找一种既便宜又有效的方法。自上世纪80年代以来, Senzaki[9]提出使用零价铁去除水中的有机污染物, 而Gillham[10]提出将零价铁用于原位修复受污染的地下水, 零价铁的还原技术作为一种廉价, 简单而有效的技术用于修复环境污染, 已成为备受瞩目。由于其较高的反应性和有效去除水中多种重金属的能力, 纳米零价铁(nZⅥ)已成为地下水污染修复技术中非常活跃的研究领域。然而, 由于其非常小的尺寸和较高的化学反应性, nZⅥ粒子具有容易被氧化和团聚等缺点。根据现有文献[11-13], 固定在其他载体上的nZⅥ不仅可以保持纳米材料的固有特性, 还可以增强其稳定性, 降低nZⅥ的氧化速率, 减少颗粒的团聚, 提高反应效率并实现颗粒的再利用。
膨润土是一种普通廉价的层状天然矿物粘土, 其主要成分是蒙脱石。膨润土根据其结构特点, 具有比表面积大, 亲水性吸附, 阳离子交换, 分散, 悬浮等优点, 已广泛应用于环境污染控制领域, 如重金属和有机污染物的吸附[14]。由于膨润土具有特殊的物理和化学特性, 已被引入nZⅥ的制备过程中作为载体。加载后, nZⅥ的分散性和稳定性得到改善。结合膨润土的协同吸附作用, 提高了环境污染物的去除效率。
木质素是世界上第二大有机化合物。由于其良好的分散性, 粘附性和表面活性, 木质素已成为研究热点。木质素分子包含酚羟基, 醇羟基, 羰基, 羧基和共轭双键等活性基团, 可以进行各种化学反应, 如磺化, 硝化, 卤化, 烷基化, 缩聚或接枝共聚[15]。由于木质素是一种含有许多负性基团的多环大分子有机化合物, 对高价金属离子具有很强的亲和力[16], 因此引起了我们的关注。以有机木质素为分散剂, 以膨润土为载体, 用nZⅥ处理水中的Cr(Ⅵ), 并设计了一系列实验以探索最佳处理效果。
1 材料与方法 1.1 材料及试剂膨润土、有机木质素、六水合三氯化铁、硼氢化钠、丙烯酰胺、N, N’-亚甲基双丙烯酰胺、过硫酸钾等化学试剂均为市售分析纯, 去离子水则为实验室提供。
1.2 纳米零价铁的制备实验根据式(1), 采用液相还原法合成了膨润土-木质素纳米零价铁(BL-nZⅥ)。首先, 将9.66 g六水合氯化铁(FeCl3·6H2O)溶解在50 mL去离子水中, 然后加入带有磁力搅拌的500 mL三口烧瓶中。直接添加2 g膨润土, 并将2 g有机溶剂木质素溶解在10 mL无水乙醇中并添加到反应器中。将混合物搅拌20 min以完全混合。将3.54 g的硼氢化钠溶解在100 mL蒸馏水中, 通过分液漏斗滴入反应器中(1滴/s), 待添加完毕后搅拌30 min。将4 g丙烯酰胺和0.2 g N, N′-亚甲基双丙烯酰胺分别溶解在10 mL去离子水中, 并添加到反应器中。10 min后, 将溶解有0.5 g过硫酸钾(K2S2O4)的10 ml去离子水和100 μL N, N, N′, N′-四甲基乙二胺添加到反应器中并搅拌1 h。制备全过程在氮气氛围中, 并在25 ℃的水浴中进行。真空抽滤混合物以获得固体, 并用水和无水乙醇冲洗混合物3次以防止纳米颗粒被空气中的氧气氧化。将所得固体放置在培养皿中在冷冻干燥器中保持12 h。将干燥后的纳米颗粒保存在氮气氛围中以供使用。
| $ 4 \mathrm{Fe}^{2+}+3 \mathrm{BH}_{4}^{-}+9 \mathrm{H}_{2} \mathrm{O} \longrightarrow 4 \mathrm{Fe}^{0}(\mathrm{S})+ 3 \mathrm{H}_{2} \mathrm{BO}_{3}^{-}+12 \mathrm{H}^{+}+6 \mathrm{H}_{2}(\mathrm{g}) $ | (1) |
通过X射线衍射(XRD)(D8-Advance, Bruker AXS Co.Ltd, 德国)分析nZⅥ, B-nZⅥ和BL-nZⅥ元素的产物和化学价变化, 以5° min-1的扫描速率收集从20°到80° 2θ的连续图谱。使用SEM(Regulus 8220, 日立, 日本)和TEM(JEM 2100, JEOL, 日本)以研究nZⅥ, BL-nZⅥ和BL-nZⅥ的形态。
1.4 去除实验首先, 使用适量的重铬酸钾制备1 000 mg/L Cr(Ⅵ)溶液, 并稀释至批量实验所需的所有浓度。将100 mL Cr(Ⅵ)溶液倒入250 mL三口烧瓶中。将相同重量的材料(包括nZⅥ, B-nZⅥ和BL-nZⅥ)添加到烧瓶中。将氮气通入溶液5 min中以去除氧气, 并在实验开始时将烧瓶密封。在指定的时间间隔, 用注射器从反应器中取出大约1 mL样品并进行分析。
2 结果与讨论 2.1 nZⅥ, B-nZⅥ和BL-nZⅥ的表征为了获得这三种材料的微观表面形态, 用SEM对其进行了表征。如图 1(a)(b)所示, 未处理的纳米零价铁颗粒(nZⅥ)的明显团聚是由于范德华力和纳米颗粒之间的磁力引起的, 这是限制纳米零价铁在实践中应用的主要因素。从图中可以看出, nZⅥ团聚后形成的大颗粒的粒径主要分布在5-20 μm。如图 1(c)(d)所示, 膨润土对nZⅥ的分散作用有限, 仔细检查还发现nZⅥ之间存在团聚现象。可以得出结论, 使用膨润土作为载体不能有效防止nZⅥ的团聚。图 1(e)(f)显示了以膨润土为载体和有机木质素为稳定剂制备的新型纳米零价铁颗粒。纳米颗粒均匀分布在膨润土的表面, 几乎没有团聚, 这是由于有机木质素可以将纳米零价铁颗粒均匀地分散在膨润土的表面以防止其团聚。同时, 木质素可以将纳米零价铁颗粒牢固地固定在膨润土的表面。BL-nZⅥ的分散性和强度均优于其他两种材料。
![]() |
| 注:(a)(b)nZⅥ; (c)(d)B-nZⅥ; (e)(f)BL-nZⅥ 图 1 SEM图 |
为了进一步得到纳米颗粒的分散状态和尺寸, 对样品进行了TEM表征。如图 2(a)(b)所示, nZⅥ表现出明显的团聚现象, 彼此重叠的nZⅥ颗粒看起来像一条项链。B-nZⅥ的TEM图像(图 2(c)(d))显示, 尽管某些颗粒仍然重叠, 颗粒在膨润土表面上分布不均匀, 但纳米颗粒的团聚得到一定的缓解。在图 2(e)(f)中, BL-nZⅥ表现出均匀的分布, 在纳米颗粒的表面上出现涂层, 并且大多数颗粒单独存在。
![]() |
| 注:(a)(b)nZⅥ; (c)(d)B-nZⅥ; (e)(f)BL-nZⅥ 图 2 TEM图 |
在图 3中, (a)(b)(c)是nZⅥ, B-nZⅥ, BL-nZⅥ的XRD衍射图谱。通过2θ=44.9o处的衍射峰可以证明Fe0存在于所有产物中[17]。这间接证明了硼氢化钠成功地将铁离子还原为零铁。2θ=26.6°是膨润土的特征峰, 这表明零价铁颗粒已经成功负载在膨润土上。与B-nZⅥ(图 3(b))的光谱相比, BL-nZⅥ的图谱(图 3(c))在2θ=44.6°处有明显的收缩, 这表明添加有机溶剂木质素可以有效地提高零价铁颗粒的分散均匀性。
![]() |
| 注:(a)nZⅥ; (b)B-nZⅥ; (c)BL-nZⅥ 图 3 XRD衍射图谱 |
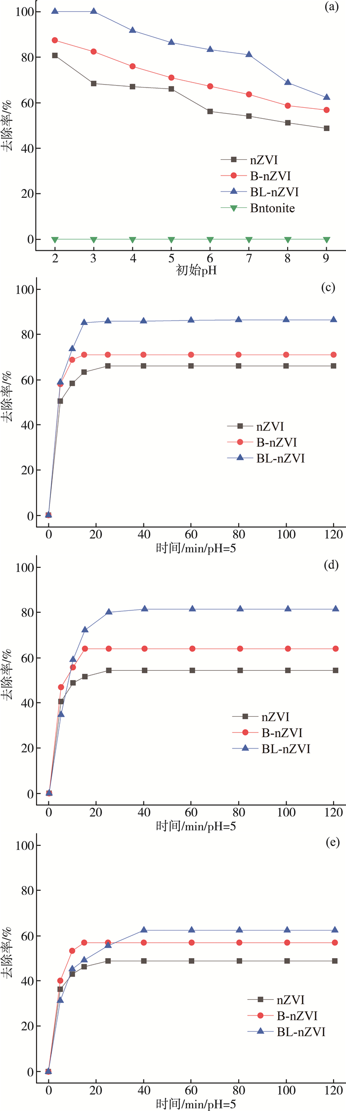
2.2 Cr(Ⅵ)去除性能研究 2.2.1 初始pH的影响
该实验在Cr(Ⅵ)浓度为50 mg/L, 产物剂量为1 g/L, 反应时间为120 min, 搅拌速度为150 r/min的条件下进行。当添加相同重量的膨润土时, Cr(Ⅵ)的浓度几乎不会降低。这表明膨润土在不同pH条件下对Cr(Ⅵ)的吸附能力较差。在相同的pH条件下, 三种材料中Cr(Ⅵ)的去除能力顺序为BL-nZⅥ>B-nZⅥ>nZⅥ。
从图 4可见, 溶液的初始pH对Cr(Ⅵ)的去除具有显着影响。结果表明, 去除率随酸度的增加而显着提高。当pH值小于3时, 去除率大于99%。当pH从2增加到9时, BL-nZⅥ对水溶液中Cr(Ⅵ)的去除效率从100%降低到62.2%。这是因为当pH值介于2和6.5之间时, Cr(Ⅵ)的主要的形式是HCrO4-, 而当pH值介于6.5和9之间时则是CrO42-。在反应过程中, 纳米零价铁将电子提供给H+, HCrO4-/CrO42-或其他形式的铬酸根阴离子, 被氧化为Fe2+或Fe3+。在酸性条件下, 溶液中有足够的H+, 可以加速Fe0的腐蚀速率并产生更多的Fe2+。Fe2+具有很强的还原能力, 可以将Cr(Ⅵ)还原为Cr(Ⅲ), 从而提高了反应效率。另一方面, 膨润土的表面电荷发生变化。在pH值较低的溶液中, H+含量增加, 质子化程度增加, 从而使负载有纳米零价铁的膨润土表面的正电荷增加。重铬酸钾在酸性条件下主要以HCrO4-的形式存在, 并带有负电荷, 这有利于溶液中膨润土表面的正电荷吸附。相反, 在碱性溶液中, H+含量低, 质子化程度减弱, 并且在碱性条件下Cr(Ⅵ)主要以CrO42-的形式存在[18]。由于膨润土的表面带负电, 因此对CrO42-的吸附能力减弱, Cr(Ⅵ)的去除率降低。
![]() |
| 图 4 (a) 不同浓度对去除率的影响; (b)-(e)不同pH下; 去除率随时间变化 |
2.2.2 Cr(Ⅵ)初始的影响
本实验研究了在50-200 mg/L范围内不同初始浓度对Cr(Ⅵ)去除率的影响。在三种纳米材料的投加量为1 g/L, pH为3, 反应时间为120 min, 搅拌速度为150 r/min的条件下进行实验。图中的实验结果表明, Cr(Ⅵ)的去除速率稳定在30 min。随着初始浓度的增加, 三种材料对Cr(Ⅵ)的去除率趋于降低。令人惊讶的是, 当初始浓度为100 mg/L时, BL-nZⅥ对Cr(Ⅵ)的去除率保持接近100%。当Cr(Ⅵ)的初始浓度达到200 mg/L时, 所有三种材料的去除率均显着下降。显然, 当Cr(Ⅵ)的初始浓度相同时, BL-nZⅥ的去除效率优于其他两种材料。
从图 5可以看出, 当初始pH值为3时, Cr(Ⅵ)的初始浓度为50 mg/L, 80 mg/L, 100 mg/L, 150 mg/L和200 mg/L, Cr(Ⅵ)的去除率BL-nZⅥ的铬含量分别为100%, 100%, 100%, 83.14%和65.00%。这是因为Cr(Ⅵ)具有强烈的降低活性的趋势, 导致暴露于Cr(Ⅵ)中的铁被Cr(Ⅵ)迅速氧化成Fe2+或Fe3+[19]。零价铁与Cr(Ⅵ)之间的反应可以认为是在其表面上进行的。反应后, 形成氧化物或氢氧化物并附着在nZⅥ的其余表面上, 导致零价铁表面上的活性部位减少, 从而阻碍了进一步的反应。在pH为3时, 溶液中的氢离子将迅速溶解氧化物或氢氧化物沉淀, 这有助于进一步反应。这可能是当初始浓度为80 mg/L和100 mg/L时Cr(Ⅵ)去除率不会降低的原因。但是, 当初始Cr(Ⅵ)浓度较高时, 该反应使溶液pH升高, 直到氢离子浓度不足以继续溶解氧化物或氢氧化物沉淀, 最终Cr(Ⅵ)的去除率降低。
![]() |
| 图 5 初始浓度对去除率的影响 |
2.2.3 投加量的影响
实验研究了投加量对nZⅥ, B-nZⅥ和BL-nZⅥ去除Cr(Ⅵ)的影响。结果示于图 6。实际上, 在pH为3和Cr(Ⅵ)的初始浓度为50 mg/L的情况下, 不同的材料在相同的剂量下表现出不同的性能。当剂量为0.1 g/L时, BL-nZⅥ和B-nZⅥ具有相似的去除率。主要原因是材料中负载的零价铁的有效的活性点位已得到充分利用。但是, 当剂量增加至0.25g时, BL-nZⅥ的分散优势得到了充分证明。它的去除率已经接近100%。B-nZⅥ的效果没有明显改善。差异主要是由于材料的反应性差异引起的。当pH和剂量相同时, 材料的反应性成为影响去除效率的主要原因。由于具有更好的分散均匀性和最小的平均尺寸颗粒, 与其他两种材料相比, BL-nZⅥ具有更高的反应性。同时, 与nZⅥ相比, B-nZⅥ具有更好的分散性。
![]() |
| 图 6 投加量对去除率的影响 |
2.2.4 材料重复利用
图 7中研究了重复使用的nZⅥ, B-nZⅥ和BL-nZⅥ对Cr(Ⅵ)去除的影响。这组研究对产品的工业化具有至关重要的意义。重复使用5次后, 三种材料对Cr(Ⅵ)的去除表现出不同的去除率。
![]() |
| 图 7 重复使用次数对去除率的影响 |
随着使用次数的增加, nZⅥ对Cr(Ⅵ)的去除率显着降低。在第五次利用率时, 去除率已降至22.58%。相比之下, B-nZⅥ的性能优于nZⅥ, 因为它由膨润土负载。膨润土的负载有效地防止了nZⅥ的团聚, 并为还原Cr(Ⅵ)提供了更多的活性位点。从该实验现象可以推断出铁与Cr(Ⅵ)之间的反应是不可逆的化学反应。消耗了零价铁并且反应产生的氢氧化物附着在铁上这一事实表明, 反应部位的减少是效率降低的重要原因[20]。反应一段时间后, 溶液的pH值将升高, 这将导致木质素溶解并破坏分散体系。先前的实验表明, 可以忽略膨润土对Cr(Ⅵ)的吸附。膨润土仅通过负载nZⅥ起到防止团聚的作用。把纳米零价铁固定在膨润土上的木质素不仅可以充当分散剂, 而且还可以在其表面吸附Cr(Ⅵ), 从而使nZⅥ易于与Cr(Ⅵ)反应。
3 结论以膨润土为载体, 有机溶剂木质素为分散剂, 合成了一种新型的零价铁纳米粒子(BL-nZⅥ)。SEM和TEM图像显示纳米粒子可以均匀地分散在BL-nZⅥ中, 添加分散剂可以有效地减小纳米粒子的平均尺寸。BL-nZⅥ在从水溶液中去除Cr(Ⅵ)方面表现出卓越的性能。在初始Cr(Ⅵ)为50 mg/L, 初始pH为3.0, 反应时间约为30 min的条件下, Cr(Ⅵ)的去除率可达到100%。Cr(Ⅵ)去除效率要比nZⅥ和B-nZⅥ高得多。同时, BL-nZⅥ显示出更高的氢离子消耗量和更宽的pH范围, 当初始pH为9时, 甚至可以进行氧化还原反应, 相应的Cr(Ⅵ)去除率仍可以高于62.3%。BL-nZⅥ的Cr(Ⅵ)还原过程属于快速平衡, 尽管初始pH值从2.0变为9.0, 但在大多数反应时间内, 颗粒均在碱性条件下工作。BL-nZⅥ的pH值范围更广, 表明它在实际处理Cr(Ⅵ)污染废水中具有更高的潜力。
| [1] |
蔡华敏, 韩巍, 蒋鑫, 等. 水中铬(Ⅵ)离子的去除研究进展[J]. 山东化工, 2020, 49(03): 53-54. |
| [2] |
闫奇, 郑乾送, 周江敏, 等. 生物炭负载羧甲基纤维素钠稳定化纳米铁对水中六价铬的去除[J]. 环境工程学报, 2020, 14(03): 579-587. |
| [3] |
杨召营, 李晓静. 纳米材料与技术在水处理中的应用[J]. 化工技术与开发, 2012, 41(01): 23-25. |
| [4] |
WANG Z, HUANG W, BIN P, et al. Preparation of quaternary amine-grafted organosolv lignin biosorbent and its application in the treatment of hexavalent chromium polluted water[J]. International Journal of Biological Macromolecules, 2019(126): 1014-1022. |
| [5] |
YANG X, LIU L, ZHANG M, et al. Improved removal capacity of magnetite for Cr(Ⅵ)by electrochemical reduction[J]. Journal of Hazardous Materials, 2019(374): 26-34. |
| [6] |
KORAK J A, HUGGINS R, ARIAS-PAIC M. Regeneration of pilot-scale ion exchange columns for hexavalent chromium removal[J]. Water Research, 2017(118): 141-151. |
| [7] |
HEDAYATKHAH A, CRETOIU M S, EMTIAZI G, et al. Bioremediation of chromium contaminated water by diatoms with concomitant lipid accumulation for biofuel production[J]. Journal of Environmental Management, 2018(227): 313-320. |
| [8] |
DOGNANI G, HADI P, MA H, et al. Effective chromium removal from water by polyaniline-coated electrospun adsorbent membrane[J]. Chemical Engineering Journal, 2019(372): 341-351. |
| [9] |
GUAN X, SUN Y, QIN H, et al. The limitations of applying zero-valent iron technology in contaminants sequestration and the corresponding countermeasures:The development in zero-valent iron technology in the last two decades(1994-2014)[J]. Water Research, 2015(75): 224-248. |
| [10] |
李晨桦, 陈家玮. 膨润土负载纳米铁去除地下水中六价铬研究[J]. 现代地质, 2012, 26(05): 932-938. |
| [11] |
KHALIL A M E, ELJAMAL O, AMEN T W M, et al. Optimized nano-scale zero-valent iron supported on treated activatedcarbon for enhanced nitrate and phosphate removal from water[J]. Chemical Engineering Journal, 2017(309): 349-365. |
| [12] |
PANG H, DIAO Z, WANG X, et al. Adsorptive and reductive removal of U(Ⅵ)by Dictyophora indusiate-derived biochar supported sulfide NZⅥ from wastewater[J]. Chemical Engineering Journal, 2019(366): 368-377. |
| [13] |
徐海玉, 张明青, 陈翌昱. 有机凹凸棒石负载纳米零价铁去除水中六价铬[J]. 中国环境科学, 2019, 39(12): 5079-5084. |
| [14] |
李向欣, 卢林刚, 石兴隆. 改性钠基膨润土制备及对苯胺吸附性能的优化[J]. 科学技术与工程, 2019, 19(16): 388-392. |
| [15] |
陈冰玉, 邸明伟. 木质素解聚研究新进展[J]. 高分子材料科学与工程, 2019, 35(06): 157-164. |
| [16] |
王则祥, 李航, 谢文銮, 等. 木质素基本结构、热解机理及特性研究进展[J]. 新能源进展, 2020, 8(01): 6-14. |
| [17] |
FU R, ZHANG X, XU Z, et al. Fast and highly efficient removal of chromium(Ⅵ)using humus-supported nanoscale zero-valent iron:Influencing factors, kinetics and mechanism[J]. Separation and Purification Technology, 2017(174): 362-371. |
| [18] |
SHI L, ZHANG X, CHEN Z. Removal of Chromium(Ⅵ)from wastewater using bentonite-supported nanoscale zero-valent iron[J]. Water Research, 2011, 45(2): 886-892. |
| [19] |
ZHANG Y, LI Y, LI J, et al. Enhanced Cr(Ⅵ)removal by using the mixture of pillared bentonite and zero-valent iron[J]. Chemical Engineering Journal, 2012(185-186): 243-249. |
| [20] |
CHI Z, HAO L, DONG H, et al. The innovative application of organosolv lignin for nanomaterial modification to boost its heavy metal detoxification performance in the aquatic environment[J]. Chemical Engineering Journal, 2020(382): 122789. |
2020, Vol. 34









