| 微波还原鲕状赤铁矿中铁晶粒的形核生长机理 |
2. 长沙矿冶研究院有限责任公司 矿产资源开发利用技术研究所,湖南 长沙 410012
2. Department of Mineral Resources Development and Utilization Technology, Changsha Research Institute of Mining and Metallurgy Co. Ltd., Changsha 410012, Hunan, China
积极开展含磷难处理铁矿石高效利用基础研究,对缓解我国铁矿石供给紧张局面、保证我国铁矿石的供给安全具有十分重要的战略意义。文献[1-8]表明,还原-磁选法是开发利用鲕状赤铁矿的有效方法。还原-磁选法处理鲕状赤铁矿的关键在于通过碳热还原获得铁晶粒生长聚集良好的金属化球团,并在还原过程中加入脱磷剂改变含磷矿相,随后在通过磨矿磁选获得高品位铁粉,实现铁磷分离。微波加热用于矿石还原具有降低还原温度、提高金属化率、促使包裹体解离、促进铁晶粒生长等强化作用[9-12],已报道的采用微波加热还原处理过的矿物包括磁铁矿[13]、赤铁矿[14]、鲕状赤铁矿[11, 15]、钒钛磁铁矿[16]、含镍硅酸盐红土[17]等。
目前关于鲕状赤铁矿碳热还原过程铁晶粒形核生长机理研究的文献较少。Sun等[18]研究了鲕状赤铁矿还原过程铁晶粒的生长机理,认为金属铁晶粒生长的第一阶段是由氧化铁矿物的化学反应决定,第二阶段是金属铁的表面扩散和金属铁的扩散相结合控制;朱德庆等[19]利用Hillert模型研究低品位赤铁矿煤基还原中铁晶粒的长大行为,得到铁晶粒的生长活化能132.53 kJ/mol,生长速率常数1.155 μm2/min;贾岩等[7]在鲕状赤铁矿还原过程中主要考察还原温度、还原时间、二元碱度等实验因素对铁晶粒聚集、兼并和生长的影响。本文拟用微波加热还原鲕状赤铁矿含碳球团,以铁金属化率为对象,采用Avrami-Erofeyev动力学模型[20-22]研究还原过程中铁晶粒形核生长机制与限制性环节。
1 研究方法 1.1 实验样品实验所用鲕状赤铁矿来自鄂西某地。鲕状赤铁矿石铁品位为43.50%,氧化铁是矿石中的主要含铁成分,矿石中含有大量的二氧化硅,其次为氧化铝,而氧化钙的含量较低,矿石的碱度仅为0.17,属于酸性矿石;鲕状赤铁矿石中有害杂质元素硫的含量较低,但磷含量偏高,为0.85%,其中94.83%的磷以胶磷矿形式存在;矿石主要分为赤铁矿相和脉石矿物,绝大部分赤铁矿以鲕粒状形式存在,而脉石矿物则主要由石英、高岭石和鲕绿泥石组成。该矿石的化学成分、物相组成、矿相组成等详见文献[1-2, 11, 23]。实验所用还原剂为焦炭,其固定碳含量为86%。
1.2 微波还原实验实验仪器采用微波高温处理系统(HTIII, KMUST),频率2.45 GHz、最大输出功率为1.2 KW,可通过自动调节模块实现温度控制,最高温度1 300 ℃。按照碳氧比1.5:1称取矿粉与焦炭粉混合破碎磨矿至80% -0.074 mm后进行造球并烘干备用。实验时将球团放入坩埚中,并在球团上方铺上一定量碳粒,将坩埚放入微波炉中升温至1 173、1 273、1 373、1 473 K,分别保温7.5、10、15、20 min,待实验结束关闭微波后将坩埚取出,自然冷却至室温后对金属化球团进行研磨,按照国标测试分析全铁含量和金属铁含量,并采用XRD、SEM、EDX分析其物相组成、微观形貌和元素分布。
1.3 动力学模型采用Avrami-Erofeyev模型研究还原过程中金属铁晶粒成核长大速度,侧重于研究铁晶粒形核-生长过程,其动力学方程如下[20-22]:
| $ \begin{array}{c} - \ln (1 - M) = \\ \frac{{4\pi N_{j,0}^ + {u^3}}}{{{V_t}K_n^3}}[exp( - {K_n}t) - 1 + {K_n}t - \frac{{({K_n}t)}}{{{2^2}}} + \frac{{({K_n}t)}}{{{6^3}}}] \end{array} $ | (1) |
| $ M = C + D{t^4};D = \frac{{\pi N_{j, 0}^*{u^3}}}{{6{V_t}}} $ | (2) |
| $ - \lg (1 - M) = A + B{t^3};B = \frac{{Ke}}{{2.303}} = \frac{{2\pi N_{j, 0}^*{u^3}}}{{6.909{V_t}}} $ | (3) |
| $ {K_n} = \frac{{12D}}{{6.909B}} $ | (4) |
式中:Nj, 0*为单位体积内金属铁晶粒数目;Vt为完全还原时新相(Fe)体积;u为单位时间新生相球半径的增长;Kn为金属铁晶粒形核速率常数;Ke为铁晶核长大速率常数;A,C依次为积分常数;M为铁金属化率;t为还原时间,min。通过采用lgKn与1/T或者lgKe与1/T成线性关系,并根据式(3)和(4)进行拟合计算,求得反应过程中金属铁晶粒形核活化能和铁晶粒长大活化能:
| $ \lg {K_n} = \lg K_n^0 - \frac{{{E_1}}}{{2.303R}} \cdot \frac{1}{T} $ | (5) |
| $ \lg {K_e} = \lg K_e^0 - \frac{{{E_2}}}{{2.303R}} \cdot \frac{1}{T} $ | (6) |
式中E1为铁晶粒形核活化能,kJ/mol;E2为铁晶粒生长活化能,kJ/mol;T为还原温度,K。可以看出Avrami-Erofeyev模型金属铁晶粒形核生长动力学方程是采用金属化率,没有直接从铁晶粒长大的角度来衡量。
2 实验结果与分析图 1为还原温度和时间对球团金属化率的影响规律。从图 1可以看出,在还原时间20 min条件下,还原温度由1 173 K升高到1 473 K时,含碳球团金属化率由77.59%提高至92.59%,增长趋势明显,这是由于含碳球团铁氧化物与焦炭的还原过程为吸热反应,温度的升高会加速反应进行,促进金属铁生成。在还原温度1 173 K条件下,当还原时间由7.5 min延长到20 min时,被还原后的含碳球团金属化率由48.21%提高到77.59%,呈现快速上升趋势,这是因为反应初期,微波炉中还原气氛充足,含碳球团在高温下发生充分还原,使得金属化率增长速率加快。
![]() |
| 图 1 还原温度和时间对金属化率的影响 Fig.1 Influences of temperature and holding time on metallization rate |
对各温度下还原20 min的样品进行X射线检测分析,结果见图 2所示。从下到上,四个样品的金属化率分别为77.6%、88.7%、90.4%和92.6%。如图 2所示,它们的物相组成相似。根据物相含量与衍射峰强度之间关系,物相组成含量按顺序分别为金属铁、石英、铁橄榄石(Fe2SiO4)、钙铝硅酸盐(CaAl2Si2O8)、铁浮氏体(FeO)、辉石[(Ca, Mg, Fe)(Mg, Fe)Si2O6)、硅酸钙(Ca3Si2O7)和磷酸盐(如Ca2P2O7, Al(PO3)3, SiP2O7、Fe(PO3)3等]。因为鲕状赤铁矿的矿石特点[23],铁橄榄石与磷酸盐、铁橄榄石与浮氏体、钙铝硅酸盐与辉石、钙铝硅酸盐与磷酸盐等形成共晶化合物,表明它们在原矿石中呈紧密共生。
![]() |
| 图 2 金属化球团的XRD图谱 Fig.2 XRD patterns of reduced pellets |
根据图 1还原产物金属化率的结果,绘制微波加热还原时间7.5~20 min条件下-lg(1-MFe)对t3以及MFe对t4的关系图,如图 3所示。图 3中-lg(1-MFe)与t3以及MFe与t4呈现良好的线性关系,根据式(2)~(4)拟合计算得到动力学参数,如表 1、2所示。表 1、2显示,铁晶粒形核速率拟合置信度R2为0.941 1~0.997 7,形核速率常数随温度升高而降低,形核趋势减缓,提高还原温度不利于铁晶粒形核,这是由于还原温度的升高有利于金属铁的生成,同时也有利于金属铁与SiO2、Al2O3发生反应生成铁橄榄石和铁尖晶石,阻碍了金属铁晶粒的形核;铁晶粒生长速率拟合置信度R2为0.948 4~0.984 8,生长速率常数随温度升高而增大,生长趋势增大,提高还原温度有利于铁晶粒生长。
![]() |
| 图 3 -lg(1-MFe)与t3关系图(1)及MFe对t4关系图(2) Fig.3 Relationships between -lg(1-MFe) vs t3 (1) and MFe vs t4 (2), respectively |
| 表 1 铁晶粒形核动力学拟合结果 Table 1 Fitting results of iron grain nucleation |
|
| 表 2 铁晶粒生长动力学拟合结果 Table 2 Fitting results of iron grain growth |
|
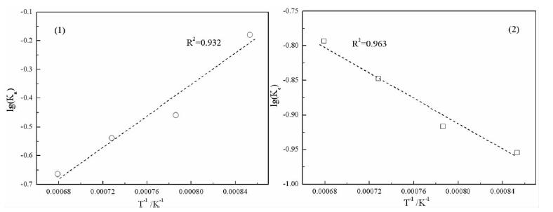
根据表 1、2拟合结果及式(5)、(6)获得铁晶粒形核动力学曲线与生长动力学曲线,结果见图 4所示。图 4显示,铁晶粒形核动力学线性方程为
![]() |
| 图 4 铁晶粒形核动力学曲线(1)与生长动力学曲线(2) Fig.4 Kinetics curves for iron grain nucleation (1) and growth (2) |
采用扫描电镜和能谱仪对1 473 K下不同还原时间样品的微观形貌与铁元素分布进行了观测分析,如图 5所示。图 5中a、b、c三个样品对应的还原时间分别为7.5 min、15 min和20 min,d、e、f分别对应a、b、c三个视场的铁元素分布。图 5表明,随着还原时间延长和还原程度提高,铁晶粒逐渐链接、聚集,逐渐富集,趋向于形成较大颗粒铁晶粒与铁链晶。鲕状赤铁矿中的部分铁氧化物呈弥散分布、极难聚集长大,利用微波加热的热点效应,可为铁晶粒的聚集长大提供条件。
![]() |
| 图 5 1 473 K下不同还原时间样品的微观形貌与铁元素分布地图 Fig.5 SEM morphologies and Fe distribution maps for samples with different holding times (1 473 K) |
进一步观察分析了1 473 K下还原时间15 min的金属化球团的铁晶粒形貌与元素组成,结果见图 6所示。图中a为500倍视场,b为a视场中黑色方框部分的放大视场,c、d为b视场中1、2点位处的能谱分析结果。从图a、b可以清晰看到铁晶粒的生长形态部分为球形熔滴状、部分为蠕虫状链晶,视域内最大单个铁晶粒尺寸约为10 μm。当晶胚达到某一临界尺寸后,就成为可以稳定存在并自发长大的晶核,这一过程称为形核,图中大小不一的铁晶粒反映其初始形核、逐渐合并长大的过程。图c、d显示,能谱点1处主要元素为Fe,并含有微量C和P;能谱点2处主要元素为O、Al、Si、Ca和Fe,对应为脉石成分。铁晶粒中的C源于还原过程发生的渗碳,P源自于少量胶磷矿被还原进入铁晶粒形成Fe-P合金。本文重点在于描述微波还原过程中铁晶粒的形核与生长行为,而实验样品球团在1 273 K微波还原15 min时金属化率大于70%,并且该温度下形核速率常数和生长速率常数均较大,有利于铁晶粒的形核生长聚集,在我们已发表的工作中[1, 2],利用该还原条件在球团中加入脱磷剂、碱度剂并降低还原温度,可有效实现鲕状赤铁矿的提铁脱磷。
![]() |
| 图 6 还原时间为15 min的样品SEM与EDX图 Fig.6 SEM morphologies and EDX spectrum for reduced samples with the holding time of 15 min (1473 K) |
3 结论
(1) 采用微波加热还原鲕状赤铁矿含碳球团,在还原温度1 173~1 473 K和还原时间7.5~20 min条件下,铁晶粒形核速率拟合置信度R2为0.941 1~0.997 7,形核速率常数随温度升高而降低;铁晶粒生长速率拟合置信度R2为0.948 4~0.984 8,生长速率常数随温度升高而增大;铁晶粒形核活化能为51.21 kJ/mol、铁晶粒生长活化能为18.05 kJ/mol,还原过程受到铁晶粒形核控制;在还原温度1 473 K,还原时间20 min时金属化率达到最大值92.6%;金属化球团的物相组成主要有金属铁、石英、铁橄榄石、钙铝硅酸盐、浮氏体、辉石、硅酸钙和磷酸盐。
(2) 微波场中铁晶粒的形核生长能垒都比常规加热还原要低,形核与生长速率更快;两种不同加热方式的限制性环节不一样,采用微波加热还原可适当降低还原温度,进一步促进铁晶粒形核。
(3) 随着还原时间延长和还原程度提高,铁晶粒逐渐链接、聚集,铁晶粒的生长形态部分为球形熔滴状、部分为蠕虫状链晶,视域内最大单个铁晶粒尺寸约为10 μm;微波场中的热点效应,可能造成微区铁晶粒生长过程中呈熔融态,促进相互间的链接生长。
| [1] |
陈雯, 何文浩, 赵强, 等. 微波强化鲕状赤铁矿还原脱磷机理研究[J]. 钢铁研究学报, 2020, 32(1): 1039-1050. |
| [2] |
何文浩, 陈雯, 王鑫, 等. 鲕状赤铁矿微波碳热还原-磁选提铁脱磷实验研究[J]. 矿冶工程, 2019, 39(5): 92-94, 99. |
| [3] |
蒋曼, 王依帆, 张乐, 等. 高磷鲕状赤铁矿煤基还原焙烧制备直接还原铁[J]. 山东理工大学学报(自然科学版), 2020, 4(3): 1-4. |
| [4] |
吴世超, 孙体昌, 杨慧芬. 国外某高磷鲕状赤铁矿直接还原-磁选降磷研究[J]. 金属矿山, 2019(11): 109-114. |
| [5] |
李国峰, 高鹏, 韩跃新, 等. 高磷鲕状赤铁矿深度还原过程中磷的迁移行为[J]. 金属矿山, 2017(2): 43-47. |
| [6] |
韩跃新, 任多振, 孙永升, 等. 高磷鲕状赤铁矿深度还原过程中磷的迁移规律[J]. 钢铁, 2013, 48(7): 7-11. |
| [7] |
贾岩, 倪文, 郑斐, 等. 鲕状赤铁矿深度还原过程中铁粒生长特征研究[J]. 金属矿山, 2010(10): 52-56. |
| [8] |
唐海燕, 李京社, 孟文佳, 等. 恩施高磷鲕状赤铁矿煤基直接还原的试验[J]. 钢铁, 2013, 48(8): 9-13. |
| [9] |
郑孝英, 陈沪飞, 陈晋, 等. 微波预处理对磁铁矿选矿效果的影响研究[J]. 矿冶, 2017, 26(6): 1-4, 11. |
| [10] |
李康强, 李鑫培, 和飞, 等. 低品位软锰矿还原技术研究进展[J]. 矿冶, 2019, 28(3): 64-70, 88. |
| [11] |
LEI Y, LI Y, CHEN W, et al. Microwave carbothermic reduction of oolitic hematite[J]. ISIJ International, 2017, 57(5): 791. |
| [12] |
LEI Y, Li Y, Peng J H, et al. Carbothermic reduction of Panzhihua oxidized ilmenite in a microwave field[J]. ISIJ International, 2011, 51(3): 337. DOI:10.2355/isijinternational.51.337 |
| [13] |
RAJAVARAM R, LEE J, OH J S, et al. Microwave heating characteristics of magnetite ore[J]. Metals and Materials International, 2016, 22(6): 1116-1120. DOI:10.1007/s12540-016-6045-2 |
| [14] |
VEERANJANEYULU R, SHREY A, NIKHIl D. Optimization of microwave carbothermal reduction for processing of banded hematite jasper ore[J]. Minerals Engineering, 2019, 138: 204-214. DOI:10.1016/j.mineng.2019.05.004 |
| [15] |
HE Z, WANG S. Influence study on dephosphorization of carbon-containing high-phosphorus iron ore by microwave field[J]. Metalurgia International, 2012, 17(3): 64-66. |
| [16] |
余文华. 微波加热在钒钛磁铁矿冶金领域应用的研究进展[J]. 钢铁钒钛, 2011, 32(3): 87-96. |
| [17] |
MA J, PICKLES C A. Microwave segregation process for nickeliferous silicate laterites[J]. Canadian Metallurgical Quarterly, 2003, 42(3): 313-326. DOI:10.1179/cmq.2003.42.3.313 |
| [18] |
SUN Y S, HAN Y X, GAO P, et al. Growth kinetics of metallic iron phase in coal-based reduction of oolitic iron ore[J]. ISIJ International, 2016, 56(P): 1697-1704. |
| [19] |
朱德庆, 肖永忠, 春铁军, 等. 低品位赤铁矿直接还原过程中铁晶粒的长大行为[J]. 中国有色金属学报, 2013(11): 234-239. |
| [20] |
梅贤恭, 袁明亮, 左文亮, 等. 高铁赤泥煤基直接还原中铁晶粒成核及晶核长大动力学[J]. 中南工业大学学报, 1996(2): 159-163. |
| [21] |
SAKAR S B, RAY H S. Nucleation and grain growth model for reduction of hematite to magnetite[J]. Trans[SI], 1988, 28: 1006-1010. |
| [22] |
CHAIGNEAU R, HEEREMA R H. The influence of specific impurities on the nucleation and growth of magnetite during reduction of artificially prepared hematite[J]. Metallurgical Transactions B, 1991, 22(4): 503-511. DOI:10.1007/BF02654289 |
| [23] |
雷鹰, 李雨, 陈雯, 等. 鄂西某鲕状赤铁矿石工艺矿物学研究[J]. 金属矿山, 2016(12): 130-133. |
2020









