| 基于密度泛函理论的铁含量对含铁闪锌矿浮选影响的研究 |
2. 广西大学 资源环境与材料学院, 广西 南宁 530004
2. School of Resources, Environment and Materials, Guangxi University, Nanning 530004, Guangxi, China
闪锌矿是自然界中最常见的含锌矿物,是可工业利用的锌矿之一,含锌量高达67%。根据美国地质调查局(USGS)2021年公布的最新数据显示,全球范围内已经探明的锌资源储量19亿t,2020年全球锌金属总产量约为1 200万t[1],其中90%左右均来源于闪锌矿[2]。而中国作为锌金属消费大国,仅2018年锌消耗量就达647万t,占全球消费量的47.5%,供应缺口巨大[3]。为满足锌金属的需求,各国学者对于锌资源的开采、提纯进行了广泛研究[4-6],而闪锌矿作为锌金属的主要来源,更具有研究价值[7]。
闪锌矿的主要化学成分是ZnS,属于硫化物矿物,相对分子质量为97,理论上纯闪锌矿的含Zn量为67.0%,含S量为33.0%,组成元素Zn、S的最外层电子排布式分别为3d104s2、3s23p4,离子半径分别为0.51 Å(1 Å=0.1 nm)、1.80 Å,闪锌矿空间群为Td2=F43m,属立方(等轴)晶系[8]。一些杂质(如铁、镉、锗、镓、铟、铅、铜、锡、铋等)会在闪锌矿形成过程中以类质同象或伴生的形式混入其中[9]。研究表明[10],在分别含有铁、锰、钴、镍、铜、镓、锗、锡、铅9种替位晶格杂质的闪锌矿中,含铁闪锌矿具有最负的形成能,铁是最稳定存在于闪锌矿晶格中的杂质,铁在闪锌矿中的含量也由6%到12%不等,含铁量最高可达30%[11-12]。铁是以类质同象的形式进入闪锌矿晶格中,即铁替换锌形成含铁闪锌矿,化学式为[ZnxFe(1-x)]S,属等轴晶系,具有离子-共价型化学键[13-15]。
浮选为闪锌矿常用的回收方法,闪锌矿中广泛存在的杂质在很大程度上会影响其可浮性。众所周知,闪锌矿可浮性较差,往往需要加入硫酸铜活化后才能用黄药捕收。有研究表明,闪锌矿中的镉、铜、铅和银杂质会提高闪锌矿的可浮性[16-20],而铁杂质对闪锌矿可浮性的影响则存在一定争议。有学者认为,硫酸铜为闪锌矿的常用活化剂,但铁降低了铜的活性,因此影响了活化后闪锌矿的浮选效果[21]。也有学者认为,含铁闪锌矿表面的铁原子比锌原子活跃,有利于捕收剂分子在矿物表面的吸附。如S.L. Harmer等[22]认为,含铁量高的闪锌矿会由于表面氧化的增加导致表面缺陷变多,因此会吸附更多的铜离子,使闪锌矿更容易浮选。谢贤[23]采用四种药剂对不同铁含量的闪锌矿纯矿物进行浮选试验发现,回收率均为:低铁闪锌矿>高铁闪锌矿>超高铁闪锌矿。因此有必要进一步开展铁杂质对闪锌矿性质及浮选行为影响的研究。
本文采用密度泛函理论,从原子层面上分别研究了低铁和高铁闪锌矿的表面弛豫、电子态密度、能带结构等性质,同时考察了铁含量对闪锌矿铜活化的影响。研究结果可以对含铁闪锌矿的浮选实践提供理论指导。
1 计算模型及方法闪锌矿的单胞、表面及掺杂均使用Materials Studio软件的DMol3模块进行[24]。计算中交换关联函数采用广义梯度近似(GGA)下的PW91梯度修正函数[25],采用DND基组,并考虑自旋极化。优化收敛标准如下:能量收敛精度为2.0×10-5 Ha,原子间作用力为0.004 Ha/Å,原子位移为0.005 Å;SCF收敛精度为1.0×10-5 Ha,所有原子计算选择全电子基组。
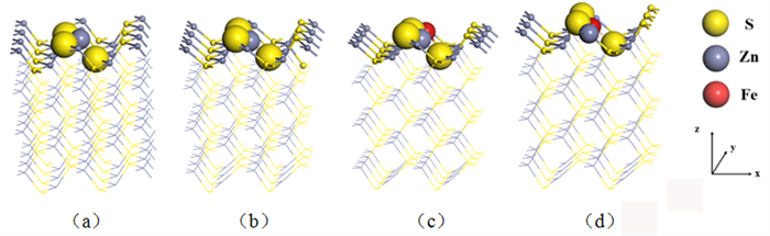
理想闪锌矿优化后的晶格常数为:a=b=c=5.510 Å,α=β=γ=90°,与实验值5.414 Å接近,表明计算方法可靠。使用优化后的晶胞构建8层的闪锌矿(110)表面,真空层为15 Å,如图 1(a)所示。
![]() |
| 图 1 闪锌矿晶体示意图:(a)优化前闪锌矿表面;(b)理想闪锌矿表面;(c)低铁闪锌矿表面;(d)高铁闪锌矿表面 Fig.1 Schematic diagram of sphalerite crystals: (a) Surface of sphalerite before optimization; (b) Surface of ideal sphalerite; (c) Surface of low-iron sphalerite; (d) Surface of high-iron sphalerite |
用一个铁原子替代理想闪锌矿(110)表面上的一个锌原子,代表低铁闪锌矿表面,用两个铁原子替代理想闪锌矿表面邻近的两个锌原子,代表高铁含量的闪锌矿(110)表面,替换能可根据公式(1)进行计算:
| $ \Delta {E_{sub}} = E_{slab + {X_{sit}}}^{tot} + {\mu _M} - E_{slab}^{tot} - {\mu _X} $ | (1) |
式中:Eslab+Xsittot和Eslabtot分别表示闪锌矿表面有掺杂铁原子和没有掺杂铁原子时的总能量;μ原子化学势为优化后的单位原子的总能量;ΔEsub为替换能,ΔEsub值越负,说明替换反应越容易发生。
2 结果与讨论 2.1 铁含量对闪锌矿(110)表面弛豫的影响图 1表示的是四种闪锌矿表面,其中图 1(a)为未优化的理想闪锌矿(110)表面; 图 1(b)为优化后的理想闪锌矿(110)表面; 图 1(c)表示优化后的低铁含量的闪锌矿(110)表面; 图 1(d)为优化后的高铁含量闪锌矿(110)表面。从图中可以看出,优化后的表面不论是理想表面或是含铁表面均产生弛豫,其中优化前锌原子的位置在优化后均有向下弛豫的趋势,使此处的Zn(Fe)原子靠近其周围的三个硫原子组成的平面。已经有学者研究表明,优化后的理想闪锌矿表面的Zn处于周围三个硫原子组成的平面中,锌原子周围的硫原子在空间上遮蔽了锌原子,所产生的位阻效应不利于表面锌原子与黄药硫原子作用[4]。
在浮选过程中,矿物表面金属原子与药剂分子反应首先要克服空间位阻的影响。因此分析矿物表面上各原子z方向弛豫显得尤为重要。优化后的理想闪锌矿及含铁闪锌矿表面原子弛豫结果如表 1所示。由表 1可知,表面的S、Zn及Fe在x、y、z方向均有不同程度的弛豫,对于理想闪锌矿,S原子有明显的向表面外部的弛豫(Δz>0),而优化后的Zn向体相内部弛豫0.459 Å,有较大的弛豫,作为药剂的主要吸附位点,Zn向体相内部弛豫不利于闪锌矿表面与药剂的作用;对于低铁闪锌矿,优化后的S同样有向表面外侧弛豫的倾向,而Zn和Fe均有不同程度的向体相内部的弛豫,Zn在低铁闪锌矿表面向体相内部弛豫0.457 Å, 弛豫程度小,Fe则向体相内部弛豫0.246 Å,Zn和Fe向体相内的弛豫均小于理想闪锌矿的Zn(0.459 Å)。从空间位阻角度分析可知,低铁闪锌矿比理想闪锌矿更容易与药剂作用,且Fe是更容易与药剂发生作用的活性位点;对于高铁闪锌矿,同样S原子会向表面外侧弛豫,而两个Fe原子向体相内部弛豫为0.512 Å,向内弛豫程度高于理想闪锌矿(0.459 Å),不利于与黄药的硫原子发生相互作用。
| 表 1 理想闪锌矿、低铁闪锌矿和高铁闪锌矿表面弛豫 Table 1 Atoms displacement of ideal sphalerite、low iron and high iron surface |
|
2.1 铁含量对闪锌矿(110)表面电子性质的影响
理想闪锌矿表面的硫原子和锌原子态密度如图 2(a)所示。图中可以看出,闪锌矿表面三配位的硫原子的2p轨道在费米能级附近-4.6~0.3 eV处出现较大的峰值,而锌原费米能级附近较活跃的3d轨道在-7~-5 eV有较大的峰,较硫活性弱。低铁闪锌矿表面和高铁闪锌矿表面的态密度如图 2(b)、(c)所示。低铁闪锌矿表面中最活跃的三配位铁,在费米能级附近-4~1.8 eV出现了较大的峰,而硫原子费米能级附近的2p轨道的峰出现在-6~0.5 eV,锌的3d轨道则主要分布在-8~-6 eV处,相较于理想闪锌矿,硫和锌的态密度均向深能级处移动,表现更稳定。对于高铁闪锌矿,铁杂质也是闪锌矿表面最活跃的原子,在费米能级附近铁的3d轨道在-4~0 eV和0~1.8 eV处均出较大的峰,而硫的2p轨道的峰值出现在-6~0 eV处,锌的3d轨道的峰出现在-8.2~-6.3 eV处,相较于理想闪锌矿,表面上三配位的硫原子和锌原子的态密度均向深能级移动,使硫和锌更加稳定。铁是含铁闪锌矿表面的活跃原子,对比低铁闪锌矿和高铁闪锌矿表面铁的态密度可知,低铁闪锌矿的铁在费米能级处有较大的态密度峰,说明铁的活性较强,而高铁闪锌矿的铁在费米能级处几乎没有态密度峰,说明铁的活性较差。
![]() |
| 图 2 不同铁含量的闪锌矿表面态密度: (a)理想闪锌矿表面态密度(b)低铁闪锌矿表面态密度(c)高铁闪锌矿表面态密度 Fig.2 The atomic partial density of states of the surface of iron-bearing sphalerite: (a) Ideal sphalerite, (b) low iron and (c) high iron |
理想闪锌矿表面能带结构如图 3(a)所示,能量零点设在费米能级处(EF),理想闪锌矿的带隙为2.42 eV。从图中可以看出,理想闪锌矿表面的导带底和价带顶均位于高对称G点,说明理想闪锌矿是直接带隙P型半导体。Alpha和beta两条能带结构图重叠,说明理想闪锌矿表面上自旋和下自旋值相等,即总的自旋值为0。
![]() |
| 图 3 不同含铁量的闪锌矿表面能带 Fig.3 Band structure of iron-bearing sphalerite surface: (a) Ideal sphalerite, (b) low iron and (c) high iron |
低铁闪锌矿和高铁闪锌矿的能带分别如图 3(b)、(c)所示。图 3(b)可以看出,低铁闪锌矿表面带隙计算值为0.80 eV,小于理想闪锌矿表面的带隙计算值2.42 eV,说明铁杂质的存在使闪锌矿表面带隙减小,电化学活性增强。低铁闪锌矿表面alpha和beta两条能带结构图重叠,说明自旋值为0。而图 3(c)可以看出,高铁闪锌矿表面带隙计算值为0.49 eV,小于低铁闪锌矿表面的带隙计算值0.80 eV,说明铁含量的增加减小了闪锌矿表面禁带宽度。高铁闪锌矿表面alpha和beta两条能带结构图不完全重叠,说明与低铁闪锌矿相比高铁闪锌矿表面自旋值增加,即铁含量的增加使闪锌矿表面由低自旋变成了高自旋。
2.3 铁含量对闪锌矿表面铜活化的影响由于闪锌矿的天然可浮性较差,通常状况下闪锌矿的浮选需要活化,一般选择CuSO4进行活化。为研究铁含量对铜活化的影响,分别用一个和两个铁替换理想闪锌矿表面的锌原子,再用分别用一个和两个铜去替换上述的铁原子和理想闪锌矿表面的锌原子,通过公式(1)计算替换能,如表 2所示。通过替换能分析铁含量对铜原子活化的影响。
| 表 2 闪锌矿表面铜、铁的替换能 Table 2 Substitution energy of copper and iron atoms on the surface of sphalerite |
|
替换能越负表明替换反应越容易发生,由表 2可知,表面铜原子和铁原子替换表面一个锌原子和两个锌原子的替换能均为负值,说明铜原子和铁原子都可以替换闪锌矿表面的锌原子。单个铁原子和两个铁原子的替换能均分别小于单个铜原子和两个铜原子的替换能(-188.8 kJ/mol < -152.27 kJ/mol;-520.99 kJ/mol < -206.98 kJ/mol),说明铁原子比铜原子更容易替换闪锌矿表面锌原子。而铜原子替换铁原子的替换能为正值,并且高铁闪锌矿表面铜替换铁的替换能更大,说明在含铁闪锌矿表面铜原子基本不能替换铁原子;同时,由于铁原子的存在占据了铜的活化位点,因此铁原子含量越高,铜的活化位点就越少,即含铁量越高,闪锌矿的铜活化越难进行。
铜活化后的闪锌矿表面铜原子、锌原子和硫原子的态密度如图 4所示。由图可知,铜活化的闪锌矿表面Cu 3d轨道在费米能级附近有较高的峰,Cu 3p轨道费米能级处也有一个小峰,而Zn 3d轨道在小于-5 eV的深能级处,Zn 3p轨道在-3~0 eV之间只有一个平缓的小峰,说明铜活化的闪锌矿表面铜原子比锌原子活跃。而与理想闪锌矿表面相比,铜活化后的闪锌矿表面硫原子态密度总体向深能级移动,锌原子的态密度也略微向深能级移动了一些。
![]() |
| 图 4 铜活化闪锌矿表面原子态密度 Fig.4 The atomic partial points density of states of the surface of copper-activated sphalerite |
铜原子虽然不能替换铁闪锌矿中的铁原子,但铜活化后的闪锌矿表面锌原子和硫原子的态密度(如图 4)与含铁闪锌矿表面的锌和硫的态密度(如图 2)相比,铁和铜在费米能级附近都有较为活跃的态密度峰出现。与铜活化的闪锌矿表面相比,含铁闪锌矿表面的锌原子和硫原子向深能级有更大的偏移。这意味着,铁的存在会使闪锌矿(ZnS)表面的锌更惰性,从而不利于闪锌矿的浮选。
3 结论通过密度泛函理论,计算分析了不同铁含量对闪锌矿表面性质及铜活化的影响,研究结果表明:
(1) 理想、低铁和高铁闪锌矿(110)表面原子的弛豫分析表明,优化后的闪锌矿表面上的Zn和Fe均向体相内部弛豫,Fe的存在会使Zn向体相内部的弛豫变小。高铁闪锌矿的铁原子向体相内部的弛豫最大,与药剂吸附时需要克服的空间位阻也最大,低铁闪锌矿的铁原子向体相内部弛豫较小,减小空间位阻有利于与药剂发生作用。
(2) 态密度结果表明,铁杂质的存在使表面锌原子电子向深能级移动,活性变弱,而铁是表面较活跃的原子;低铁闪锌矿的铁在费米能级处出现较大的峰,反应活性较强;高铁闪锌矿中铁原子在费米能级处没有态密度峰,反应活性较差。能带结构表明,低铁闪锌矿表面没有自旋极化现象,而高铁闪锌矿表面自旋值增加,不利于闪锌矿的浮选,同时,铁含量的增加使闪锌矿表面禁带宽度减小。
(3) 铜不能置换含铁闪锌矿表面的铁原子,铁的存在会减少闪锌矿表面的活化位点,因此铁含量越高越不利于铜活化闪锌矿。
| [1] |
U.S. Geological Survey. Mineral commodity summaries 2021 [R]. Saint Louis: U.S. Geological Survey, 2021: 191.
|
| [2] |
刘建. 闪锌矿表面原子构型及铜吸附活化浮选理论研究[D]. 昆明: 昆明理工大学, 2013. LIU J. Atomic configuration of sphalerite surface and theory of copper adsorption activated flotation[D]. Kunming: Kunming University of Science and Technology, 2013. |
| [3] |
International Lead and Zinc Study Group(ILZSG). Lead and zinc new mine and smelter projects [Z]. 2019: 1-65.
|
| [4] |
CHEN Y, LIU X M, CHEN J H. Steric hindrance effect on adsorption of xanthate on sphalerite surface: A DFT study[J]. Minerals Engineering, 2021, 165: 106834. DOI:10.1016/j.mineng.2021.106834 |
| [5] |
刘小妹, 陈晔, 冯瑶, 等. 闪锌矿银活化及对黄药吸附影响的第一性原理研究[J]. 矿产保护与利用, 2021, 41(2): 7-12. LIU X M, CHEN Y, FENG Y, et al. The first-principle study of silver activation and xanthate adsorption on sphalerite surface[J]. Conservation and Utilization of Mineral Resources, 2021, 41(2): 7-12. |
| [6] |
何名飞, 卜浩, 高玉德, 等. 铁闪锌矿中稀有金属铟的高效提取应用研究[J]. 有色金属(选矿部分), 2021(6): 102-106. HE M F, BU H, GAO Y D, et al. Study on high efficiency extraction of indium from marmatite[J]. Nonferrous Metals(Mineral Processing Section), 2021(6): 102-106. |
| [7] |
刘红召, 杨卉芃, 冯安生. 全球锌矿资源分布及开发利用[J]. 矿产保护与利用, 2017(01): 113-118. LIU H Z, YANG H P, FENG A S. The Distribution and Utilization of Global Zinc Resource[J]. Conservation and Utilization of Mineral Resources, 2017(01): 113-118. |
| [8] |
曾爱花. 结晶学及矿物学实习教程[M]. 北京: 中国原子能出版社, 2012. ZENG A H. Crystallography and mineralogy internship course[M]. Beijing: China Atomic Energy Press, 2012. |
| [9] |
叶霖, 高伟, 杨玉龙, 等. 云南澜沧老厂铅锌多金属矿床闪锌矿微量元素组成[J]. 岩石学报, 2012, 28(5): 1362-1372. YE L, GAO W, YANG Y L, et al. Trace elements in sphalerite in Laochang Pb-Zn polymetallic deposit, Lancang, Yunnan Province[J]. Acta Petrologica Sinica, 2012, 28(5): 1362-1372. |
| [10] |
陈晔. 晶格缺陷对闪锌矿半导体性质及浮选行为影响的第一性原理研究[D]. 南宁: 广西大学, 2009. CHEN Y. A first-principles study on the effect of lattice defects on the semiconductor properties and flotation behavior of sphalerite[D]. Nanning: Guangxi University, 2009. |
| [11] |
张芹, 胡岳华, 顾帼华, 等. 铁闪锌矿的浮选行为及其表面吸附机理[J]. 中国有色金属学报, 2004(4): 676-680. ZHANG Q, HU Y H, GU G H, et al. Mechanism of Cu2+ ion activation flotation of marmatite in absence and presence of ethyl xanthate[J]. The Chinese Journal of Nonferrous Metals, 2004(4): 676-680. DOI:10.3321/j.issn:1004-0609.2004.04.027 |
| [12] |
林隆述, 张志兰, 章正刚. 闪锌矿系列的物理性质研究[J]. 成都地质学院学报, 1989(2): 36-45. LIN L S, ZHANG Z L, ZHANG Z G. The physical properties study of sphalerite series[J]. Journal of Chengdu University of Technology(Science & Technology Edition), 1989(2): 36-45. |
| [13] |
黎维中. 难处理铅锌银硫化矿物资源综合回收的研究与实践[D]. 长沙: 中南大学, 2007: 1-3. LI W Z. Research on floation sepaeation of complex lead-zinc-sliver sulfide ore and its practice[D]. Changsha: Central South University, 2007: 1-3. |
| [14] |
王濮, 潘兆橹, 翁玲宝. 系统矿物学: 上册[M]. 北京: 地质出版社, 1982. WANG P, PAN Z L, WENG L B. System mineralogy: volume 1[M]. Beijing: Geological Press, 1982. |
| [15] |
黎全. 大厂100(105)号锡石多金属矿选矿关键技术研究及应用[D]. 长沙: 中南大学, 2002. LI Q. Research and practice of key benefication on No. 100 and No. 105 ore body of dachang tin-polymetallic deposit. Changsha: Central South University, 2002. |
| [16] |
曾勇, 刘建, 王瑜, 等. 典型金属离子对闪锌矿浮选行为的影响及作用机制的研究进展[J]. 矿产保护与利用, 2019, 39(2): 109-117. ZENG Y, LIU J, WANG Y, et al. Research progress on the interaction mechanism of typical metal ions with sphalerite and its effect on flotation[J]. Conservation and Utilization of Mineral, 2019, 39(2): 109-117. |
| [17] |
Gerson A R, Lange A G, Prince K E, et al. The mechanism of copper activation of sphalerite[J]. Applied surface science, 1999, 137(1/2/3/4): 207-223. |
| [18] |
SARVARAMINI A, LARACHI F, HART B. Collector attachment to lead-activated sphalerite - experiments and DFT study on pH and solvent effects[J]. Applied surface science, 2016, 367: 459-472. DOI:10.1016/j.apsusc.2016.01.213 |
| [19] |
STEELE H N, WRIGHT K, HILLIER I H. A quantum- mechanical study of the (110) surface of sphalerite (ZnS) and its interaction with Pb2+ species[J]. Physics and chemistry of minerals, 2003, 30(2): 69-75. DOI:10.1007/s00269-002-0296-9 |
| [20] |
陈薇, 童雄. 浮选闪锌矿和铁闪锌矿的捕收剂研究现状及进展[J]. 国外金属矿选矿, 2007(8): 25-27. CHEN W, TONG X. Research status and progress of collectors for flotation of sphalerite and sphalerite[J]. Metallic Ore Dressing Abroad, 2007(8): 25-27. |
| [21] |
BOULTON A, FORNASIERO D, RALSTON J. Effect of iron content in sphalerite on flotation[J]. Minerals Engineering, 2005, 18(11): 1120-1122. DOI:10.1016/j.mineng.2005.03.008 |
| [22] |
HARMER S L, MIERCZYNSKA-VASILEV A, BEATTIE D A, et al. The effect of bulk iron concentration and heterogeneities on the copper activation of sphalerite[J]. Minerals engineering, 2008, 21(12): 1005-1012. |
| [23] |
谢贤. 难选铁闪锌矿多金属矿石的浮选试验与机理探讨[D]. 昆明: 昆明理工大学, 2011. XIE X. Flotation test and mechanism discussion of refractory sphalerite polymetallic ore[D]. Kunming: Kunming University of Science and Technology, 2011. |
| [24] |
VANDERBILT, DAVID. Soft self-consistent pseudopotentials in a generalized eigenvalue formalism[J]. Physical Review B Condensed Matter, 1990, 41(11): 7892. DOI:10.1103/PhysRevB.41.7892 |
| [25] |
PERDEW JP, WANG Y. Accurate and simple analytic representation of the electron-gas correlation energy[J]. Physical Review B, Condensed matter, 1992, 45(23): 13244-13249. DOI:10.1103/PhysRevB.45.13244 |
2022







