| 肟类选冶药剂的合成与应用 |
肟是一类具有-C=N-O-H结构的化合物,它具有独特的化学反应活性,已广泛应用于浮选捕收剂、萃取剂、絮凝剂、吸附剂等[1-4]。近年来,肟类化合物的研究发展非常迅速,不仅发展出了许多具有多功能基的肟类化合物,一些传统肟类化合物的合成方法也得到了改进。本文主要介绍了肟类选冶药剂的结构和性质、新型多功能基肟类与传统肟类选冶药剂的合成新方法,以及它们在矿物浮选与冶金领域的应用进展,并展望了其发展方向。
1 肟的结构及性质肟包括醛肟、酮肟、羟肟酸、偕胺肟等多种类型,其结构通式和各种肟类化合物的结构如图 1所示。肟分子中的氮原子和氧原子都存在孤对电子,使其与金属离子具有良好的配位能力[5-6]。
![]() |
| 图 1 肟类化合物的结构式 Fig.1 Structures of oxime compounds |
醛肟和酮肟的结构相似,由醛形成的肟称醛肟,由酮形成的肟称酮肟。醛肟和酮肟的结构和配位形式较稳定,能够与很多金属元素形成配合物,在配位化学中应用较广泛。
羟肟酸是一种具有互变异构结构的化合物,其羟肟式称为羟肟酸,氧肟式称为氧肟酸或异羟肟酸,两种互变异构体同时存在,且以氧肟式为主。由于羟肟酸分子中含孤对电子的氧和氮位置相互靠近,使它能与金属离子生成稳定的螯合物,除了“O, N”四元螯合之外,羟肟酸还可以通过O原子与金属阳离子结合形成“O, O”五元螯合结构(图 2)。
![]() |
| 图 2 羟肟酸与金属离子的螯合结构 Fig.2 Chelating structures of hydroxamic acid and metal ions |
偕胺肟存在两种互变异构体,分子中存在距离较近且带有孤对电子的O、N原子,与羟肟酸分子类似,易与Au、Hg、Ag、Fe、Cu等金属离子形成稳定的螯合物(图 3)。
![]() |
| 图 3 偕胺肟与金属离子的螯合结构 Fig.3 Chelating structures of amidoxime acid and metal ions |
2 肟类化合物的设计与合成
针对我国矿产资源“贫、细、杂”化,资源尤其是伴生资源利用率低,选冶药剂生产过程污染严重等问题,开发新型高效的选冶药剂及其绿色制备技术,对于提高我国资源综合利用水平、保护生态环境、建设绿色矿山具有重要意义[7]。肟类选冶药剂的研究重点是设计新型高效的药剂与发展绿色高效的合成工艺。近年来发展的新型肟类选冶药剂包括羧基羟肟酸、酰氨基羟肟酸、巯基肟、烯基肟、氨基偕胺肟、双偕胺肟、肟类高分子等,传统肟类选冶药剂如苯甲羟肟酸(BHA)的合成方法也有新进展。
2.1 羟肟酸 2.1.1 苯甲羟肟酸BHA是最常用的螯合剂之一。其传统的合成工艺是采用苯甲酸酯和羟胺在溶剂中进行羟肟化反应,该工艺产生的废水难以处理,污染严重。钟宏等[8]发明了一种在无溶剂条件下,通过机械活化法制备羟肟酸的方法,将二苯甲酸二甘醇酯、盐酸羟胺和氢氧化钠等原料进行机械研磨,即可得到苯甲羟肟酸钠,合成路线如式(1)所示,收率可达88.91%。
![]() |
(1) |
羧基羟肟酸包括羧基单羟肟酸和羧基双羟肟酸,其结构如图 4所示。羧基和羟肟酸均易与金属阳离子发生配位,因此由两种功能基组合而成的羧基羟肟酸可与金属形成稳定的四、五或六元环螯合物[9]。Jiang等[10]以丙二酸二甲酯和氯甲酸甲酯为原料,合成了2, 2-双(羟肟基)癸酸(BHDA),反应路线如式(2)所示,BHDA的产率可达91%。
![]() |
| 图 4 (1)羧基单羟肟酸和(2)羧基双羟肟酸的分子结构 Fig.4 Structures of (1) carboxyl hydroxamic acid and (2) monocarboxyhydroxamic acid |
![]() |
(2) |
酰氨基和羟肟酸基均具有较强的配位能力,将两个功能基引入分子内,合成一种含多功能基酰氨基羟肟酸(图 5),可增强其螯合能力。Deng等[11]以己内酰胺为原料,通过酯化反应得到6-氨基己酸甲酯,再经酰化和羟肟化反应得到酰氨基羟肟酸N-(6-(羟氨基)-6-氧己基)癸酰胺(NHOD),合成路线如式(3)所示,产品为淡黄色固体,收率为57.3%。
![]() |
| 图 5 酰氨基羟肟酸的分子结构 Fig.5 Structures of amide-alkylhydroximic acid |
![]() |
(3) |
醛肟和酮肟均为较传统的选冶药剂。郑林禄等[12]在杯[4]芳烃下沿引入醛基,再通过肟化反应得到醛肟基杯[4]芳烃衍生物,该产物具有稳定的锥式构象。肖友军等[13]采用分步合成方法,以特辛基苯酚、乙酰氯、无水AlCl3和盐酸羟胺为原料,四氯乙烯为溶剂,合成了2-羟基-5-特辛基苯乙酮肟,产物收率64.9%。张彩霞等[14]将羧基与酮肟结合,以十二烷基苯为原料,草酸酰氯单乙酯为酰化剂,合成了中间产物对十二烷基苯甲酰甲酸乙酯;再将中间产物肟化合成对十二烷基苯基羧基甲酮肟,合成路线如式(4)所示。
![]() |
(4) |
由于巯基和肟基均能够与铜结合,将巯基与肟基组装于同一表面活性剂分子中,可获得一类新型的巯基肟类化合物(图 6),有效地增强与铜的结合能力。Xiao等[15]以氯丙酮、盐酸羟胺和碳酸钠为原料合成氯丙酮肟中间体,该中间体再与黄原酸盐或者二硫代碳酸盐发生取代反应,制备O-异丙基-S-[2-(肟基)丙基]二硫代碳酸酯(IPXPO),合成路线如式5所示,产品为白色固体,纯度为86%,基于氯丙酮的收率可达到70%以上。
![]() |
| 图 6 (1)巯基-酮肟和(2)巯基-羟肟酸的分子结构 Fig.6 Structures of (1) thiol-ketoxime and (2) thiol-hydroxamic acid |
![]() |
(5) |
在选冶药剂的疏水基中引入烯基,有利于提高其分散性。将烯基与羟肟酸或者醛肟基组装于同一表面活性剂分子中,有望发展出一类新型的烯基肟选冶药剂,其结构如图 7所示。Xu等[16]以正丁醛和氢氧化钠为原料合成中间体2-乙基-2-己烯醛,该中间体再与丙酮、次氯酸钠反应形成2-乙基-2-己烯酸,最后通过酯化和羟肟化反应,合成2-乙基-2-己烯羟肟酸(EHHA),合成路线如式(6)所示,收率为71.49%。
![]() |
| 图 7 (1)烯基-羟肟酸和(2)烯基-醛肟的分子结构 Fig.7 Molecular structures of thiol-ketoxime (1) and thiol-hydroxamic acid (2) |
![]() |
(6) |
氨基偕胺肟是在偕胺肟的疏水基上增加了氨基而形成的双功能基化合物,其结构如图 8所示。张严等[17]对伯胺进行氰乙基化得到氨基丙腈,随后采用腈基-羟胺法合成3-十二烷基氨基丙偕胺肟(DAPA),合成路线如式(7)所示。
![]() |
| 图 8 氨基偕胺肟的分子结构 Fig.8 Molecular structures of amino amidoxime |
![]() |
(7) |
![]() |
(8) |
双偕胺肟分子中具有两个偕氨肟功能基,预期具有更强的配位能力。Xu等[18]以偕胺肟、亚硝酸钠和乙二胺为原料合成了双偕胺肟,合成路线如式(8)所示,收率可达70%。
2.6 肟类高分子高分子肟类化合物种类繁多,包括聚羟肟酸、聚偕胺肟等。李海普等[19]以聚丙烯酸钠粉体为原料,甲醇作分散剂,先与硫酸二甲酯进行非均相酯化反应,再与盐酸羟胺进行肟化反应,合成了含异羟肟酸基的聚丙烯酸钠改性产品,产品肟化取代度为11.43%,特性黏度为15.32 dL/g。刘西艳等[20]采用预辐射接枝法在7 L反应釜中制备了超高分子量聚乙烯偕胺肟纤维吸附材料。孟勇等[21]采用反相乳液聚合法制备了黏均相对分子质量为1 200万以上的丙烯酰氨-丙烯酸-丙烯羟肟酸(AM-AA-AHA)共聚物乳液。
3 肟类化合物的应用肟类化合物具有特殊的化学结构、高效的配位作用和优良的表面活性,使其在在矿物浮选和冶金等领域发挥着重要的作用。
3.1 浮选捕收剂 3.1.1 苯甲羟肟酸BHA因其具有良好的螯合性能,成为一种优良的选择性捕收剂。BHA的价格较贵,且不易在水中分散,一般与脂肪酸组合使用。组合捕收剂不仅可以提高脂肪酸的选择性,而且有利于提高脂肪酸的低温浮选性能。Cao等[22]以BHA与油酸组合,开发了一种新型捕收剂Yb105,对钾长石进行浮选,可以得到铁品位为0.23%、K2O品位为12.59%、Na2O品位为0.26%的优质钾长石精矿,精矿产率为 82.55%。
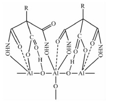
3.1.2 羧基羟肟酸蒋玉仁等[23]将羧基羟肟酸捕收剂COBA引入一水硬铝石和铝硅酸盐的浮选分离研究中。COBA对一水硬铝石捕收能力强,铝硅矿物捕收能力弱,比常规捕收剂油酸选择性高。此外,COBA对黑钨矿单矿物也表现出良好的捕收性能[24]。Jiang等[10]采用BHDA浮选铝土矿,当BHDA浓度为2×10-4 mol/L、pH=7.0时,一水硬铝石的回收率可达到96%,而高岭石和伊利石的回收率分别只有20%和10%。BHDA与一水硬铝石的吸附作用主要是化学吸附,作用示意图如图 9所示;对高岭石和伊利石的吸附主要是物理吸附。BHDA分子上多个功能基促使了其与一水硬铝石表面形成多环螯合,从而促进了它对矿物的捕收。
![]() |
| 图 9 BHDA在一水硬铝石表面作用示意图 Fig.9 Schematic diagram of adsorption of BHDA on the surface of diaspore |
3.1.3 酰氨基羟肟酸
戴婷等[25]考察了N-辛酰氨基己基羟肟酸(NO-8)和N-癸酰氨基己基羟肟酸(NO-10)对菱锰矿浮选性能的影响。结果表明,当矿浆pH 值为6~7时,NO-8和NO-10浮选菱锰矿回收率可达到90%以上,NO-8和NO-10在菱锰矿表面以化学吸附为主。酰氨基羟肟酸还可以用于浮选分离钨矿与含钙矿物,以NO-8浮选分离黑钨矿-方解石时,最佳pH值范围为pH>9.35,最佳捕收剂用量为15 mg/L,其用量是常规羟肟酸捕收剂用量的1/10[26]。NO-8结构中的双极性基和双疏水基使其在矿物表面形成“h”构型,相邻的NO-8分子间的酰氨基-C(=O)NH-存在分子间氢键,使其在黑钨矿表面的排列更为紧密。因此,NO-8对黑钨的捕收能力和吸附作用均强于BHA和辛基羟肟酸(OHA),其作用原理如图 10所示。在最佳pH条件下,矿浆中的OH-和CO32-能与Ca2+离子作用,OH-和CO32-阴离子与NO-8-、NO-82-形成竞争关系,从而弱化了羟肟酸对方解石的吸附作用,有效地实现了黑钨矿与方解石的分离。
![]() |
| 图 10 NO-8、OHA和BHA对黑钨矿的浮选作用原理 Fig.10 The flotation mechanism of NO-8,OHA, or BHA to wolframite minerals |
3.1.4 巯基肟
基于巯基与肟基官能团能够与金属离子产生强的配位作用,研究人员将新型巯基-肟基捕收剂运用至铜矿浮选中,并且得到较好的效果。O-异丙基-S-[2-(肟基)丙基]二硫代碳酸酯(IPXPO)[15]和N-丁氧基丙基-S-[2-(肟基)丙基]二硫代氨基甲酸酯(BOPHPDT)[27]在合适的pH范围内对黄铜矿与孔雀石均有较好的捕收效果。捕收剂通过其巯基官能团的硫原子,肟基官能团中的氧原子分别与铜矿表面的铜原子发生化学吸附形成Cu-S和Cu-O键。Liu等[28-29]研究了S-[(2-羟氨基)-2-氧乙基]-N, N-硫代氨基甲酸酯(HABTC)对孔雀石和黄铜矿的浮选。结果显示,HABTC是孔雀石浮选的优良捕收剂,在pH=8.5~10.3下,HABTC可有效分离孔雀石与石英或方解石。HABTC主要通过与孔雀石矿物表面形成Cu(I)-S和Cu(II)-O键而促进孔雀石的浮选。同样,HABTC与黄铜矿作用时,HABTC中的二硫代氨基甲酸盐和羟肟酸组分可在黄铜矿表面吸附形成Cu(II)-羟肟酸和Cu(I)-二硫代氨基甲酸组分,吸附模型如图 11所示。
![]() |
| 图 11 HABTC在黄铜矿表面的吸附模型 Fig.11 Schematic diagram of adsorption of HABTC on the surface of chalcopyrite |
3.1.5 烯基肟
Xu等[16]将2-乙基-2-己烯羟肟酸(EHHA)、OHA和异辛基羟肟酸(IOHA)用于钛铁矿的浮选,当pH为8.0,药剂浓度为250 mg/L时,三种药剂的浮选回收率分别为84.03%、80.23%和36.25%。烯基醛肟可用于铜矿的浮选,以2-乙基-2-己烯醛肟为捕收剂,用量为200 mg/L,矿浆pH为10时,黄铜矿的回收率可达91.16%;当2-乙基-2-己烯醛肟用量为250 mg/L、矿浆pH为11.5时,孔雀石的回收率可达90.56%。用2-乙基-2-己烯醛肟浮选德兴硫化铜矿,粗选铜精矿品位可达4.52%,回收率可达79.54%[30]。该捕收剂通过C=C和C=N的协同作用,使其对Cu的反应亲和性更强。
3.1.6 氨基偕胺肟张严等[17]将DAPA作为铁矿反浮选捕收剂,当矿浆pH为4~6.5,DAPA对石英的回收率可达到85%以上,而磁铁矿的回收率不超过20%,单独使用DAPA作捕收剂即可有效分离磁铁矿-石英,分离后精矿中TFe可达到68.78%,选择性明显优于十二胺。在酸性条件下,氨基偕胺肟对高岭石、叶腊石和伊利石具有较强的捕收能力,浮选回收率接近100%[31]。氨基偕胺肟捕收剂在铝硅酸盐表面主要表现为静电吸附,在酸性条件下,氨基偕胺肟中的氨基和偕胺肟均能与高岭石、叶腊石和伊利石产生静电作用,提高了矿物的可浮性。
3.2 萃取剂 3.2.1 醛肟和酮肟醛肟和酮肟是最常见的两种肟类的铜萃取剂,醛肟的容量大,萃取率高,适应性强[32-33];酮肟可以提高铜的反萃取率、抑制醛肟的水解、改善分相效果[34]。Panigrahi等[35]发现在含铜、镍、钻和锌的浸出液中,2-羟基-5-壬酰基苯甲酮肟(LIX84-I)对铜的萃取率可达到99.75%。LIX984N是体积比为1 GA6FA 1的LIX860N(有效成分为5-壬基水杨醛肟)和LIX84(有效成分为2-羟基-5-壬基乙酰苯酮肟)的混合物。Li等[36]以LIX984N为萃取剂,可以实现从电镀废水中萃取回收铜离子和镍离子,当pH为4时,Cu2+的萃取率可达92.9%;当pH为10.5时,Ni2+的萃取率可达93.0%。对十二烷基苯基羧基甲酮肟可用于回收硫酸铜溶液中的铜离子,在有机相与水相的体积比为1 GA6FA 2、初始pH值为1.5时,萃取5 min,萃取率可达99.61%[14]。Prochaska等[37]在萃取铜时采用了含有两个酮肟基的萃取剂,相比于传统的LIX萃取剂,其萃取效果更佳,可从较酸的硫酸铜溶液中萃取铜离子。
3.2.2 羟肟酸5, 11, 17, 23, 29, 35-六羧基-37, 38, 39, 40, 41, 42-六羟肟酸甲氧基杯[6]芳烃(HHMHC)是一种上沿羧基化的杯[6]芳烃羟肟衍生物,对镍、铜、铀等金属离子均具有较好的萃取作用。周洁等[38]将其应用于铀(Ⅵ)的萃取,当HHMHC浓度为2×10-4 mol/L、U(Ⅵ)的初始浓度为2.1×10-5 mol/L、萃取温度为25 ℃,pH为6.0、萃取时间为30 min时,HHMHC对U(Ⅵ)的最佳萃取分配比大于10;用0.1 mol/L的HCl溶液反萃,反萃取率可达96%。
含有两个羟肟酸功能基的化合物对金属离子具有更强的螯合能力。二酰异羟肟酸(DHYA)的分子中同时存在两个异羟肟酸基,对高价金属离子(如Ge4+、RE3+)具有较强的螯合能力。时文中等[39]以DHYA为萃取剂,异辛醇为溶剂,磺化煤油为稀释剂,在有机相与水相的体积比为1 GA6FA 4、初始pH值为1、萃取8 min的条件下,进行三级逆流萃取,萃取酸性浸出液中的锗,锗的萃取率可达到99.5%。
3.3 絮凝剂与螯合剂线性肟类高分子在水中具有一定的分散性,在与金属离子螯合后又易于从水中分离,可用作絮凝剂。王其观等[40]将含氧肟酸基的高分子絮凝剂用于处理含针铁矿较多的赤泥,沉降效果比聚丙烯酸钠和ALCLAR665等絮凝剂更好。添加200×10-6 g/L的氧肟酸基的高分子絮凝剂,其对赤泥的沉降速度是聚丙烯酸钠和ALCLAR665的4倍,上清液的澄清度更高。
一些小分子螯合剂也可以被用于金属离子的分离过程。Stemper等[41]将双偕胺肟应用于处理水中的复合铀酰阳离子。结果表明,双偕胺肟分子可螯合多个铀酰阳离子,这对铀分离提取和含铀废水治理具有重要意义。
3.4 吸附剂肟类交联型高分子和复合材料在水和酸碱中具有一定的稳定性,被认为是优良的吸附剂材料。聚乙烯偕胺肟纤维吸附材料具有吸附动力学速度快、吸附容量大、机械性能好等优点,对海水、盐湖水等开放体系环境更适用。刘西艳等[20]研究表明,聚乙烯偕胺肟纤维对铀具有良好的吸附性能,随着铀浓度的增加,对铀酰离子的吸附量也随之增大,当铀浓度由187 μg/L增长至1 639 μg/L时,对铀的吸附量可以由4.54 mg/g增加至17.48 mg/g。
4 结论与展望近年来,肟类化合物良好的表面活性使其应用越来越广泛,本文介绍了近年来多功能基肟类选冶药剂的合成、传统选冶药剂的合成新方法以及它们的应用研究进展,并展望了其今后的发展方向。
(1)目前多功能基肟类表面活性剂合成过程中还存在产品收率不高、有机废水难于处理等问题,结合目前已有的改进传统选冶药剂合成的方法,可以设计开发更为简单绿色的新型肟类化合物的合成思路,减少环境污染,以推动我国选冶药剂产业的绿色可持续发展。
(2)与传统的单官能团肟类化合物相比,新型羧基羟肟酸、酰氨基羟肟酸、巯基肟、烯基肟、氨基偕胺肟、双偕胺肟和肟类高分子等肟类选冶药剂分子有多个功能基,具有较好的捕收、萃取、絮凝、吸附等性能,研究多功能基选冶药剂具有重要意义。
| [1] |
M. H. Dindar, S. A.M. Fathi, M. R. Yaftian, et al. Solid phase extraction of copper(II) ions using C18-silica disks modified by oxime ligands[J]. Journal of Hazardous Materials, 2010, 179(1-3): 289-294. DOI:10.1016/j.jhazmat.2010.02.092 |
| [2] |
梁高杰, 陈文汨, 范尚. 赤泥沉降用新型氧肟酸絮凝剂的合成与应用[J]. 中南大学学报(自然科学版), 2017, 48(2): 295-301. |
| [3] |
安鹏, 匙芳廷, 文君, 等. 电子转移活化再生催化剂原子转移自由基聚合法制备吸附剂及其吸铀性能[J]. 同位素, 2018, 31(2): 84-92. |
| [4] | |
| [5] |
I. Narin, Y. Surme, E. Bercin, et al. SP70-α-benzoin oxime chelating resin for preconcentration-separation of Pb(II), Cd(II), Co(II) and Cr(III) in environmental samples[J]. Journal of Hazardous Materials, 2007, 145(1-2): 113-119. DOI:10.1016/j.jhazmat.2006.11.001 |
| [6] |
张首才, 孙丽娟. 二茂铁羟肟酸去除铜(Ⅱ)、镍(Ⅱ)、锌(Ⅱ)、铬(Ⅲ)的研究[J]. 化学工程师, 2009(8): 63-64. DOI:10.3969/j.issn.1002-1124.2009.08.021 |
| [7] |
贾云, 钟宏, 王帅, 等. 捕收剂的分子设计与绿色合成[J]. 中国有色金属学报, 2020, 30(2): 456-466. |
| [8] |
钟宏,刘威,王帅.一种羟肟酸盐捕收剂的制备方法.201810510460.7[P].2018-05-24.
|
| [9] |
颜玲玲, 殷志刚, 蒋玉仁. 2-羟肟基正壬酸对一水硬铝石的浮选脱硅性能[J]. 广州化学, 2010, 35(3): 26-32. DOI:10.3969/j.issn.1009-220X.2010.03.006 |
| [10] |
Y.R. Jiang, Y.F. Pan, D. Chen, et al. A theoretical study of the effect of carboxyl hydroxamic acid on the flotation behavior of diaspore and aluminosilicate minerals[J]. Clays and Clay Minerals, 2012, 60(1): 52-62. DOI:10.1346/CCMN.2012.0600105 |
| [11] |
L.Q. Deng, S. Wang, H. Zhong, et al. N-(6-(hydroxyamino)-6-oxohexyl) decanamide collector:Flotation performance and adsorption mechanism to diaspore[J]. Applied Surface Science, 2015, 347: 79-87. DOI:10.1016/j.apsusc.2015.03.138 |
| [12] |
郑林禄, 杨发福. 醛肟基杯[4]芳烃衍生物的合成及性能研究[J]. 化学试剂, 2013, 35(3): 282-284. |
| [13] |
肖友军, 贺燕华, 陈建钗. 2-羟基-5-特辛基苯乙酮肟的合成及表征[J]. 有色金属科学与工程, 2014, 5(5): 97-100. |
| [14] |
张彩霞, 舒庆, 刘若琳, 等. 新型铜萃取剂对十二烷基苯基羧基甲酮肟的合成及其萃铜性能[J]. 有色金属科学与工程, 2017, 8(6): 36-42. |
| [15] |
J.J. Xiao, G.Y. Liu, H. Zhong, et al. The flotation behavior and adsorption mechanism of O-isopropyl-S-[2-(hydroxyimino) propyl] dithiocarbonate ester to chalcopyrite[J]. Journal of the Taiwan Institute of Chemical Engineers, 2017, 71: 38-46. DOI:10.1016/j.jtice.2016.12.022 |
| [16] |
H.F. Xu, H. Zhong, Q. Tang, et al. A novel collector 2-ethyl-2-hexenoic hydroxamic acid:Flotation performance and adsorption mechanism to ilmenite[J]. Applied Surface Science, 2015, 353: 882-889. DOI:10.1016/j.apsusc.2015.06.072 |
| [17] |
张严, 卢宇熙, 王帅, 等. 偕氨肟捕收剂对石英和磁铁矿的浮选性能[J]. 矿产保护与利用, 2019(4): 104-108. |
| [18] |
H. Xu, T.W. Chu, X.Y. Wang, et al. Facile synthesis of bis(hydroxamamide)-based tetradentate ligands for 99mTc-radiopharmaceutical[J]. Applied Radiation and Isotopes, 2005, 62(6): 919-922. DOI:10.1016/j.apradiso.2004.12.008 |
| [19] |
李海普, 梁璀, 李学明, 等. 含异羟肟酸基团的高分子絮凝剂的制备[J]. 轻金属, 2010(5): 19-24. |
| [20] |
刘西艳, 许璐, 张晓敏, 等. 一种偕胺肟基纤维材料对模拟盐湖水中铀的吸附研究[J]. 中国科学:化学, 2018, 48(5): 518-526. |
| [21] |
孟勇, 苏胜培, 毛丽秋, 等. 丙烯酰胺-丙烯酸-丙烯羟肟酸共聚物乳液脱除电镀废水中的重金属离子[J]. 化工进展, 2009, 28(11): 2072-2075. |
| [22] |
Z.F. Cao, P. Qiu, S. Wang, et al. Benzohydroxamic acid to improve iron removal from potash feldspar ores[J]. Journal of Central South University, 2018, 25(9): 2190-2198. DOI:10.1007/s11771-018-3907-4 |
| [23] |
蒋玉仁, 胡岳华, 曹学锋. 新型螯合捕收剂COBA结构与捕收性能的关系[J]. 中国有色金属学报, 2001, 11(4): 702-706. DOI:10.3321/j.issn:1004-0609.2001.04.035 |
| [24] |
王明细, 蒋玉仁. 新型螯合捕收剂COBA浮选黑钨矿的研究[J]. 矿冶工程, 2002, 22(1): 56-57. DOI:10.3969/j.issn.0253-6099.2002.01.018 |
| [25] |
戴婷, 王帅, 钟宏. N-烃基酰氨基己基羟肟酸对菱锰矿的浮选性能与吸附机理[J]. 中国锰业, 2018, 36(4): 142-146. |
| [26] |
L.Q. Deng, H. Zhong, S. Wang, et al. A novel surfactant N-(6-(hydroxyamino)-6-oxohexyl)octanamide:Synthesis and flotation mechanisms to wolframite[J]. Separation and Purification Technology, 2015, 145: 8-16. DOI:10.1016/j.seppur.2015.02.029 |
| [27] |
肖静晶, 刘广义, 钟宏. N-丁氧基丙基-S-[J]. 中国有色金属学报, 2018, 28(2): 416-424. |
| [28] |
S. Liu, H. Zhong, G.Y. Liu, et al. Cu(I)/Cu(II) mixed-valence surface complexes of S-[(2-hydroxyamino)-2-oxoethyl]-N,N-dibutyldithiocarbamate:Hydrophobic mechanism to malachite flotation[J]. Journal of Colloid and Interface Science, 2018, 512: 701-712. DOI:10.1016/j.jcis.2017.10.063 |
| [29] |
S. Liu, G.Y. Liu, H. Zhong, et al. The role of HABTC's hydroxamate and dithiocarbamate groups in chalcopyrite flotation[J]. Journal of Industrial and Engineering Chemistry, 2017, 52: 359-368. DOI:10.1016/j.jiec.2017.04.015 |
| [30] |
H.F. Xu, H. Zhong, S. Wang, et al. Synthesis of 2-ethyl-2-hexenal oxime and its flotation performance for copper ore[J]. Minerals Engineering, 2014, 66-88: 173-180. |
| [31] |
黄志强.新型阳离子捕收剂的合成及其对铝硅矿物的浮选性能与机理研究[D].长沙:中南大学,2015.
|
| [32] |
Q. Kong, X.Z. Bai, H.J. Lin, et al. Improved determination of salicylaldoxime in water samples by liquid-liquid extraction followed by high performance liquid chromatographic analysis[J]. Journal of Central South University, 2018, 25(4): 701-708. DOI:10.1007/s11771-018-3774-z |
| [33] |
H. Miyasaka, A. Saitoh, S. Yanagida, et al. Nickel(II) and iron(II) mononuclear complexes with 1-methylimidazole-2-aldoximate:New building units for molecule-assembled magnetic materials[J]. Inorganica Chimica Acta, 2005, 358(12): 3525-3535. DOI:10.1016/j.ica.2005.05.010 |
| [34] |
A. Parus, K. Wieszczycka, A. Olszanowski. Solvent extraction of cadmium(II) from chloride solutions by pyridyl ketoximes[J]. Hydrometallurgy, 2011, 105(3-4): 284-289. DOI:10.1016/j.hydromet.2010.10.007 |
| [35] |
S. Panigrahi, P. K. Parhi, K. Sarangi, et al. A study on extraction of copper using LIX 84-I and LIX 622N[J]. Separation and Purification Technology, 2009, 70(1): 58-62. DOI:10.1016/j.seppur.2009.08.013 |
| [36] |
L.Q. Li, H. Zhong, Z.F. Cao, et al. Recovery of copper(II) and nickel(II) from plating wastewater by solvent extraction[J]. Chinese Journal of Chemical Engineering, 2011, 19(6): 926-930. DOI:10.1016/S1004-9541(11)60073-6 |
| [37] |
K. Prochaska, 黄 宗良. 含两个羟肟基团的螯合萃取剂的界面活性和铜的萃取速率[J]. 湿法冶金, 1995(2): 47-50. |
| [38] |
周洁, 王劲松, 林艳, 等. 5,11,17,23,29,35-六羧基-37,38,39,40,41,42-六羟肟酸甲氧基杯[6]芳烃对铀(Ⅵ)的萃取[J]. 环境工程学报, 2015, 9(11): 5315-5321. DOI:10.12030/j.cjee.20151129 |
| [39] |
时文中, 朱国才. 氯化铵氯化-二酰异羟肟酸萃取法从粉煤灰中提取锗的研究[J]. 河南大学学报(自然科学版), 2007(2): 147-151. DOI:10.3969/j.issn.1003-4978.2007.02.009 |
| [40] |
王其观, 胡慧萍, 陈湘攀, 等. 含氧肟酸基团絮凝剂的合成及其对赤泥的沉降效果[J]. 轻金属, 2013(8): 20-23. |
| [41] |
J. Stemper, W. Tuo, E. Mazarío, et al. Synthesis of bis(amidoxime)s and evaluation of their properties as uranyl-complexing agents[J]. Tetrahedron, 2018, 74(21): 2641-2649. DOI:10.1016/j.tet.2018.04.016 |
2020






















