2. 欧美新材料(浙江)有限公司, 浙江 湖州 313000
2. Ochemate Advanced Material Technology, Co. Ltd., Huzhou 313000, China
纳滤是一种低压驱动的膜分离技术,可有效截留水体中多价盐离子和有机小分子,在水体软化、饮用水净化、工业废水回用等领域有广泛应用。卷式膜元件是当前纳滤膜产品的主流形式,具有制造简单、元件性能稳定等优点,但同时存在高能耗、易污染等问题。中空纤维膜元件结构利用了纤维的自支撑特性,将纤维膜簇简单地密封于壳体内即可作为元件使用,极大精简了元件结构(无需进水隔网和导水隔网),有效提高了进水流道的开放性,可改善能耗损失和膜污染问题[1],由于中空纤维元件的装填膜密度(750~1 700 m2·m−3)较卷式元件(300~1 000 m2·m−3)更大,元件产水效率更高[2]。上述优点使中空纤维结构成为高性能纳滤膜的重要发展方向。
然而,中空纤维膜具有高弧度、高应力的表面特性,导致基膜表面纳滤分离层成膜不均匀与基膜结合强度差等问题,极大限制了中空纤维纳滤膜的规模化制造。美国AquaAir公司与Pentair公司曾分别推出TTM型[3]与HFW型[4]中空纤维纳滤膜产品,均因膜结构不稳定或分离性能不足未获得广泛应用。近年来,中空纤维纳滤膜制备技术在成膜均匀性和膜结构稳定性方面持续改进,国内部分企业如欧美新材料(湖州)、惟新环保(南京)和金赛科技(吉林)等成功研发相关膜产品并开始在市政供水深度处理、终端家用净水等领域推广应用。但目前中空纤维纳滤膜的研发主要依赖试验手段,缺乏系统的理论指导,严重制约膜性能的改进优化。由于制膜方法直接影响膜结构均匀性与稳定性,而膜材料性质决定了膜分离效果及其他功能特性(如化学耐受性、物理抗压性),本综述重点分析不同制膜工艺与功能材料所制备的中空纤维纳滤膜性能特征,探讨各种制膜过程的难点及研究进展,系统综述了中空纤维纳滤膜发展现状,并对这一新兴热点领域的未来研究方向进行了展望。
2 中空纤维纳滤膜制备方法与材料发展现状梳理近年来(2009~2020)相关研究报道,不同制备中空纤维纳滤膜方法的文献比例和不同材质纳滤膜的性能见图 1(a)。从图中可知中空纤维纳滤膜制备方法主要为界面聚合(interfacial polymerization)、相转化(phase inversion)、浸涂法(dip-coating)以及少数静电自组装(electrostatic self-assembly)和表面改性法(surface modification)。分析不同制膜方法所采用的膜材料如表 1所示。由表 1可知:(1)界面聚合适于将难溶性交联聚酰胺材料(包括哌嗪(piperazine,PIP)类聚酰胺、聚乙烯亚胺(polyethylenimine,PEI)类聚酰胺)原位聚合于中空纤维基膜表面作为纳滤功能层;(2)相转化法适于将可溶性聚合物(如线性聚酰胺酰亚胺(polyamideimide,PAI)、磺化聚砜(sulfonated polysulfone,SPS)、聚苯并咪唑(polybenzimidazole,PBI))溶解再成形为中空纤维膜丝,聚合物固化后形成纳滤膜;(3)浸涂法仅需少量聚合物即可在多孔基膜上形成纳滤功能层,适于处理成本较高的材料(如杂萘联苯聚芳醚砜(poly(phthalazinone ether sulfone,PPES)、磺化聚醚醚酮(sulfonated polyetheretherketone,SPEEK)),或致密度高、渗透阻力大的材料(如聚乙烯醇(poly(vinyl alcohol),PVA),纤维素类);(4)静电自组装法基于电荷相互作用原理,适用于带相反电荷的聚电解质材料;(5)表面改性法通过交联手段提高纳滤膜层致密度,可将超滤膜升级为纳滤膜,或用于提升原纳滤膜的分离精度。
|
图 1 中空纤维纳滤膜制备研究现状
Fig.1 Research profiles of hollow fiber nanofiltration membranes
Note: PEI[5-9]; PIP[8, 10-12]; SPS[13-16]; PBI[17-19]; PAI[20-23]; SPEEK[24-26] Data from Science Citation Index-Expanded during 2009-2021. (79 papers in sum) |
|
|
表 1 不同制备方法涉及膜材料 Table 1 Membrane materials used in different preparation methods |
由图 1(b)可见,界面聚合法的纳滤膜孔径小、切割分子量(molecular weight cut-off)低、截留精度高;相转化(聚苯并咪唑除外)和浸涂法的纳滤膜孔径大、单位水通量(specific pure-water flux)大、渗透性更佳,这说明制膜方法与膜材料特性直接影响了膜性能,下文将从制备方法与对应的膜材料展开论述。
3 界面聚合界面聚合方法是将中空纤维基膜表面先后接触含多元胺单体的水相和含多元酰氯单体的有机相溶液,2种单体在“油-水”界面快速缩聚进而形成致密的聚酰胺纳滤层。与平板膜不同,纤维膜表面曲度高,应力大,因此,对单体分子结构有一定的要求,使界面聚合形成纳滤层具有较好的柔性,并通过交联改性、物理涂层等方法进一步强化纳滤层与基膜表面的结合强度。
3.1 聚合单体 3.1.1 哌嗪哌嗪(PIP)分子的酰胺化活性高,可与多元酰氯反应快速生成聚酰胺纳滤膜,且其具有较好的柔展性和化学稳定性,是常用的中空纤维纳滤膜单体。但聚哌嗪酰胺膜产水通量普遍较低,当前研究主要以改善膜渗透性为目标,方法包括:
(1) 在聚合反应中引入大分子单体,降低膜层致密度。如Yoon等[27]在水相溶液中添加较PIP单体分子尺寸更大的4, 4'-二哌啶参与界面聚合反应,减低膜致密度,结果表明,4, 4'-二哌啶占总单体质量分数达到20% 时,膜通量可增加40% 以上。尽管该方法可显著强化渗透性能,但膜材料本征结构的改变很可能造成分离选择性和化学稳定性的损失,增加了真实应用难度。
(2) 添加共溶剂,促进单体扩散。在界面聚合过程中引入共溶剂组分,使“油-水”界面处形成局部混溶区,单体快速扩散至该区域后参与聚合反应,由于反应区域空间扩大,生成的纳滤膜结构较为疏松,渗透性提高[28-29]。如Liu等[30]分别将四氢呋喃、1, 4-二氧己环、1, 3, 5-三氧杂环己烷等3种极性共溶剂添加至有机反应相中,提高PIP向有机相溶解扩散的速率从而减少纳滤层厚度[28],结果表明强极性的1, 4-二氧己环使膜通量提高46%。共溶剂法不改变膜材料结构,对膜性能影响相对可控,具有较好的实际应用意义。
(3) 负载纳米颗粒,构建纳米水通道。将纳米粒子分散到水/油反应相中使其负载到聚合膜内,水分子通过纳米材料内部孔道或粒子与聚合物的间隙快速透过膜层,从而强化膜渗透性[31]。目前研究表明,水通道蛋白[32]、石墨烯[33-34]和分子筛[35]等纳米材料在复合至中空纤维纳滤膜内后,通量可分别增大约150%、27% 和40%。该方法可在维持膜截留性的前提下显著提高膜通量,但实际应用中仍要克服纳米颗粒团聚易失效、膜本体与无机材料界面易出现缺陷等问题,纳米颗粒在膜内的长期稳定性也有待进一步验证。
(4) 提高基膜渗透性,减小渗透阻力。基膜渗透阻力是制约纳滤膜通量的重要因素之一[36],Yoon等[27]采用静电纺丝法制备了孔隙率高达85% 的聚丙烯腈(polyacrylonitrile,PAN)中空纤维超滤膜,其渗透阻力远小于常规平板基膜(纯水通量增大近70倍),由该底膜制备的中空纤维纳滤膜水通量可达到平板纳滤膜的2.4倍。但该制膜方法必须兼顾膜丝整体抗压性,过高的基膜孔隙率将导致运行时膜丝被压扁甚至断裂。
3.1.2 聚乙烯亚胺聚乙烯亚胺(PEI)是一类具有支化结构的大分子多元胺[3],由其合成的聚酰胺纳滤膜在低压下具有良好渗透性和理想的钙、镁等高价离子截留效果。PEI分子还具有良好的表面附着能力,在膜制备时可均匀吸附于中空纤维基膜表面,保证了纳滤层的结构均匀性和完整性,并拓展了基膜材料的选择自由度,除传统聚砜(polysulfone,PSF)/聚醚砜(polyethersulfone,PES)[5, 7-9, 37]外,聚酰胺酰亚胺(PAI)[6]、聚偏氟乙烯(polyvinylidene fluoride,PVDF)[38]以及聚丙烯(polypropylene,PP)[39]等多种材料也可作为基膜,Chong等[40]和Li等[41]甚至在无机中空陶瓷管表面采用PEI材料制备出“无机-有机”复合纳滤膜,对于提高中空纤维纳滤膜的耐受性(抗溶剂、耐酸碱、耐高温等),扩大应用范围具有重要意义。因此,PEI是高通量和高价离子脱除型中空纤维纳滤膜的理想材料。
PEI系列聚合物的相对分子质量是影响单体在基膜表面吸附、界面反应活性和成膜致密性的关键因素。Fang等[7]与Wei等[9]比较了由数百至数十万相对分子质量PEI制备的中空纤维纳滤膜的性能差异,结果显示当PEI相对分子质量过小时,膜水通量和脱盐率较低,这可能是小分子PEI更容易扩散到水/油两相界面与酰氯发生反应,导致纳滤层较厚,降低了膜渗透性,小相对分子质量PEI吸附能力相对较弱,膜层易产生缺陷进而影响截留性;但PEI相对分子质量过大时,过高支化结构比例引起膜结构过度疏松,对膜的截留性能产生不利影响。根据现有研究结果,采用相对分子质量为50 000-100 000的PEI制备中空纤维纳滤膜较为适宜[5-9, 37-41]。
调控PEI类纳滤膜性能的另一种有效途径是在聚合体系中引入高活性单体,如Fang等[37]采用“PEI+PIP”混合水相单体制备中空纤维纳滤膜,仅添加少量PIP(占总单体质量分数5%)即可使膜对硫酸镁的截盐率从80% 提升至90% 以上,推测是由于小分子PIP扩散速率远高于PEI,少量的PIP可充分参与界面反应,显著提高了膜的致密度,这种加入少量高扩散性单体使截留性显著提高的效应同样出现在“哌嗪+间苯二胺”混合水相体系的制膜研究中[42-43],利用该原理配合PEI相对分子质量优化可以灵活调控纳滤膜性能,在“截留性-渗透性”方面取得理想平衡。
上述研究表明由PIP合成的纳滤膜较PEI更致密,截留精度更高,但后者表面附着力强,其纳滤层与纤维基膜表面结合强度大,成膜完整性和长期稳定性好。因此,研发兼具二者优点的反应单体是该领域主要的研究方向之一,但在现有反应体系基础上开展针对膜完整性/稳定性的强化技术研究也具有重要的实用价值。
3.2 中空纤维纳滤膜完整性与稳定性研究采用界面聚合法制备中空纤维纳滤膜时,无法利用传统辊筒装置对中空纤维表面进行挤除处理,不利于水相的均匀铺展,使纳滤分离层在完整性和稳定性方面明显不足,目前有大量针对性研究。
1、促进单体在基膜表面均匀分布,提高成膜完整性。方法有:(1)优化界面聚合条件:如Fang等[7]以PEI制备中空纤维纳滤膜时,通过水相添加十二烷基磺酸钠促进水相均匀铺展,明显改善纳滤层完整性,可使脱盐率(氯化镁)从31.7% 上升至95.7%;Zhu等[44]在中空纤维纳滤膜制备过程中,所采用的PVDF基膜较为疏水,不利于水相铺展,通过延长水相接触时间至5 min以上方可获得较理想的截留性能。(2)通过化学/物理方法对基膜进行亲水化改性,促进水相均匀铺展:化学改性包括对PP基膜的铬酸亲水化[39]、PAN基膜NaOH碱水解亲水化[45]和聚氯乙烯(polyvinyl chloride,PVC)基膜羧酸亲水化[46];物理改性法主要是亲水涂层改造,如Yabuno等[47]在基膜铸膜液中添加PVA,通过热处理使PVA材料渗透到基膜表面,辅以“硫酸+戊二醛”固定交联,显著强化水相在基膜表面的均匀性。
2、强化基膜/分离层结合力,提高膜结构稳定性。实际工况下,中空纤维膜丝将发生轻微抖动甚至相互摩擦,纳滤层与基膜之间需要足够结合力以保持膜结构稳定。通过改性调节基膜表面性质可加强与单体的相互作用,提高基膜与纳滤层结合强度。如Yang等[48]通过对PAN基膜进行羧酸化改性,使其与正电性PEI单体产生静电相互作用;Zhu等[44]与Singto等[49]分别预先在基膜表面构建高黏合性的聚多巴胺或聚单宁酸层作为基膜和分离层之间的黏结层,这些方法都能有效强化膜稳定性,但引入了新工序或额外阻力层,影响制备效率和产水通量。更有效的策略是直接采用能与单体化学交联的基膜材料,如Sun等[6]采用PAI作为基膜材料,利用其内部羰基可与PEI中氨基发生化学交联反应的原理,显著增强了PEI纳滤层与基膜的结合稳定性。
强化膜完整性和稳定性的方法之间存在互补性,因为促进单体均匀分布可同时增加纳滤层与基膜接触面积,强化二者结合力;而为强化基膜结合力所引入的官能团(如羧基[48],羟基[44, 49],羰基[6]等)可与单体分子预先发生相互作用,促进其均匀分布。这种协同强化效应有利于解决界面聚合法在中空纤维纳滤膜制备时的问题,但目前缺乏对单体分布均匀性的定量化研究以及对膜性能的长期跟踪评估,上述强化手段的长期有效性亟待进一步论证。
4 相转化相转化法制膜技术是将纳滤膜的聚合物溶液经多孔喷丝头挤出,经凝固浴处理后,聚合物逐渐固化形成中空纤维纳滤膜[50]。该方法解决了界面聚合法中单体分布的均匀性问题,使纳滤层结构更加完整与稳定。该方法的膜材料选择范围广,根据纳滤层与基膜材料的差异性,可分为单层挤出法(纳滤层与基膜材料相同)和双层共挤出法(纳滤层与基膜材料不同)。
4.1 单层挤出法单层挤出法制备的纳滤膜属于均质结构,制备简单快捷,易于工业放大,常用材料包括磺化聚(醚)砜类、线性聚酰胺类以及聚苯并咪唑类等聚合物,这些材料的溶解性好且固化成膜速度快,但不同材料的化学特性使得纳滤膜在截留性、渗透性和化学耐受性方面存在较大差异。
4.1.1 磺化聚(醚)砜类聚砜类材料的耐热性和耐酸碱性良好,成膜孔径可控,采用高浓度铸膜液时可形成纳滤级膜孔[51-52]。如Darvishmanesh等[53]以质量分数为25% 的聚苯砜铸膜液进行相转化纺丝,制得的中空纤维纳滤膜对小分子有机物(玫瑰红,相对分子质量为1 018)具有良好的截留率(98.6%);Ji[52]采用含聚砜的二甲基乙酰胺(dimethylacetylamide, DMAc)铸膜液进行纺丝,添加石墨烯和聚乙烯吡咯烷酮小分子,强化膜渗透性,可获得有效孔径为2~3 nm的纳滤层,对相对分子质量为670的刚果红的截留率可达99.9%。
聚砜材料因亲水性较差导致成膜后水通量较低,磺酸化改性可显著改善亲水性[14],但直接对聚砜纳滤膜进行磺酸化处理容易破坏聚合物主链分子结构,降低膜截留性与稳定性,当前研究主要采用共混体系铸膜液(聚砜及其磺化衍生物)的制备策略,如Thong等[13]研究了聚砜/磺化聚砜混合铸膜液制备中空纤维纳滤膜,经过对相转化工艺中收丝速度、凝固浴温度等参数的优化,膜通量较纯聚砜膜可提高50% 以上,对小分子二氢吲哚(相对分子质量=466)截留率达到98%。
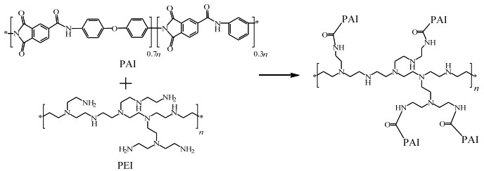
4.1.2 线性聚酰胺类线性聚酰胺材料含大量酰胺键,分子链间具有较强的氢键作用,通过相转化过程可形成较小的膜孔径结构,具备纳滤分离功能。目前用于制备中空纤维纳滤膜的线性聚酰胺包括聚酰胺酰亚胺(PAI)[20-22]、聚间苯二甲酰间苯二胺(polyisophthaloyl metaphenylene diamine,PMIA)[54]、聚酰亚胺(polyimide,PI)[15, 55]以及尼龙6(polyamide 6,PA6)[56]等。其中典型的PAI材料为聚酰胺与聚酰亚胺线性共聚物,兼具良好的机械稳定性、优异的耐热性和抗溶剂性,是长寿命中空纤维纳滤膜的理想材料[22, 57]。此外PAI具有酰亚胺活性交联位点,与PEI等分子交联处理后可进一步提高纳滤膜截留精度[20, 58](见图 2)。
|
图 2 PAI与PEI交联反应原理 Fig.2 Mechanism of cross-linking reaction between PAI and PEI |
聚苯并咪唑(PBI)属于杂环类聚合物,具有优良的化学稳定性和热稳定性,所形成的中空纤维纳滤膜具有耐高温、耐酸碱、抗溶剂等特性。PBI结构中咪唑基团含有仲胺和亚氨基氮原子[59],分子链内和分子链间存在大量氢键,经相转化可形成孔径较小且分布均一的致密膜结构[60],但渗透性较差。如Wang等[18]将PBI溶解于DMAc中进行纺丝,可制得有效孔径小至0.348 nm的中空纤维纳滤膜层,具备较理想的截留性能(MgCl2截留率≥80%),但其纯水渗透通量(1.86×10−5 L·m−2·h−1·Pa−1)远低于其他相转化纳滤膜(~10×10−5 L·m−2·h−1·Pa−1)。鉴于PBI材料具有制备高脱盐率型纳滤膜的潜力,利用PBI咪唑基内的仲胺作为交联反应活性位点,可进一步提高截留精度,如Wang等[61]采用二氯对二甲苯处理PBI中空纤维纳滤膜(如图 3),膜有效孔径可由0.41 nm减至0.29 nm,截留分子量从993降至354,截留性能显著增强。
|
图 3 PBI化学交联反应原理 Fig.3 Mechanism of PBI cross-linking reaction |
双层共挤出法是通过两台计量泵向一套三孔喷丝头装置同时供给2种不同聚合物铸膜液,并在中心孔位置提供芯液,经相分离固化过程形成由超滤支撑层和纳滤分离层复合的中空纤维膜结构[1, 50]。该方法拓展了纳滤膜材料选择范围,实现了基膜和纳滤层的独立优化设计,解决了单层挤出法难以在截留性和渗透性取得理想平衡的问题,在中空纤维纳滤膜大规模制造中具有重要应用潜力。
双层共挤出法主要采用聚苯并咪唑(PBI)作为中空纤维纳滤层材料,不仅使纳滤层具有较高截留能力,还克服了PBI材料成本高的问题。例如Sun等[17]分别以P84型聚酰亚胺与PBI溶液为内外铸膜液,通过共挤出制备复合结构的纳滤膜,纯水通量较单层挤出法提高一倍以上,同时保持了良好截留效果。在基膜材料方面,Zhu等[19]以PBI为纳滤层制备中空纤维纳滤膜,比较了以PES、PAN、P84型聚酰亚胺为基膜所制备的复合膜结构与性能差异,扫描电镜结果显示3种基膜与PBI纳滤层的过渡区域结构存在明显差异,这是由于不同基膜的成膜动力学及其与PBI材料的相容性(高分子间相互作用力)差异所导致:如聚丙烯腈较聚醚砜与PBI的相互作用力更强,与PBI之间呈现“融合”结构而不产生分层现象,但纯水通量较聚醚砜为基膜时降低20% 以上,说明该“融合”结构致密度高导致渗透阻力增大,可见基膜与分离层材料的适配问题是采用双层共挤出法制备高性能中空纤维纳滤膜的关键。
与界面聚合法相比,相转化法通过改进现有中空纤维超/微滤膜制备工艺即有望实现中空纤维纳滤膜的规模化制造,商业化应用潜力更大。但该方法制备的纳滤膜孔径普遍较大,目前主要适用于有机物的分离纯化,针对更小尺寸物质(如金属离子)的截留有待进一步强化。
5 浸涂法浸涂法本质上是基于相转化过程,但与常规相转化工艺不同,该方法是将中空纤维基膜直接浸入高分子稀溶液中,取出后经热处理使溶剂蒸发,使功能高分子在基膜表面固化成膜。由于浸涂法形成的纳滤膜厚度薄,材料使用量少,适用于高致密性或价格昂贵的纳滤功能材料。
磺化聚醚醚酮(SPEEK)具有化学稳定性强[26]、磺酸化取代容量高的特点,在形成纳滤膜后具有优良的化学耐受性和极强的电荷效应,因此可有效截留水体中荷电型溶质组分[24-25],是当前主要的纳滤膜浸涂材料。但该材料合成成本高,适合以稀溶液形式在基膜表面浸涂成膜后使用。同时,SPEEK浸涂层的厚度很薄且内部结构较疏松,长期运行时存在涂层逐渐溶解的风险,主要的解决方法是通过交联改性提高涂层内部的相互作用力来抑制解离过程[62],如Song等[63]以PES超滤膜丝为基膜,SPEEK为涂敷层,制备中空纤维纳滤膜,同时采用SPEEK与PVA的混合溶液,成膜后使用戊二醛对PVA进行交联强化以提高涂敷层稳定性。
除交联改性法外,选用与基膜性质相近的浸涂层材料也有利于提高膜的结构稳定性,如Han等[64]以杂萘联苯聚芳醚砜(PPES)中空纤维超滤膜为基膜,以同种材料的磺化衍生物为浸涂层制得中空纤维纳滤膜,电镜结果表明两层结构之间结合紧密,没有明显缺陷,膜性能在连续运行250 h后仍保持稳定。目前研究表明,浸涂法具有制备工艺简单、功能材料利用率高的优点,但长期运行时存在结构解离的风险,大规模应用受限。
6 其他方法 6.1 静电自组装静电自组装法采用聚阴/阳离子电解质溶液交替处理基膜表面,借助正负电荷作用力构建聚电解质纳滤层。当前研究主要以强化自组装层的稳定性展开,主要包括:1)采用荷电密度高的聚电解质材料作为纳滤层,强化静电作用力,研究证明聚阴离子电解质中磺酸基团电离度比羧酸基团更高,故聚磺酸类(如聚苯乙烯磺酸盐[65-68])较聚羧酸类(如聚丙烯酸盐[69]、羧甲基纤维素类[70])电解质的稳定性更佳;2)采用含交联活性位点的聚电解质,如胺类聚阳离子电解质(如PEI)内含氨基基团,自组装成膜后可与戊二醛进行交联反应固定,可有效抑制解离现象[65, 71]。自组装法可对纳滤层表面电荷(溶液交替处理顺序)、膜厚度(交替处理次数)、化学组成(不同聚电解质种类与组合)等结构因素进行精确调控,但多层制备工序复杂、效率较低,且静电相互作用的强度易受溶液pH、温度、离子强度等因素影响,实际应用中需要解决纳滤层可能逐步解离的问题。
6.2 表面改性表面改性是通过对超滤膜或原有纳滤膜进一步交联处理以提高其截留性能。该法操作简单,但对分离精度的提高效果有限,常作为后处理强化工艺。如超滤膜改造中,Tham等[72]采用水合肼溶液对PAN超滤膜丝进行交联处理,原超滤膜对玫瑰红(相对分子质量=1 018)截留率仅30.2%,交联处理18 h后对活性蓝19(相对分子质量=627)截留率达到99.9% 以上,证明改性可使膜孔径显著下降;在纳滤膜强化中,交联改性可解决相转化法制膜中膜孔径过大问题,如利用PI[55, 73]与PAI[6, 74]聚合物材料内含的羰基基团具有与氨基反应的活性,通过采用PEI等多元胺分子对上述材料进行交联处理;或利用PBI[61]材料内含的仲胺基团具有与酰氯反应活性,引入对苯二甲酰氯等多元酰氯分子进行交联。表面改性法可整合至膜制备工艺末端,可与其他方法构成有效互补,是调控膜性能的有效手段之一,但改性处理可能对原膜结构带来破坏性影响,且改性效果(交联稳定性)的长期有效性有待进一步论证。
7 结语与展望中空纤维型纳滤膜具有高通量和抗污染的优点,在产水效率、运行和维护成本方面较传统平板卷式纳滤膜具有显著优势。本综述从中空纤维纳滤膜的制备方法及关键功能材料出发,分析不同方法、材料各自的优势以及存在的问题,探讨了国内外中空纤维纳滤膜的研究方向,展望未来中空纤维纳滤膜的研究将围绕以下几方面展开:
(1) 增强中空纤维纳滤膜抗溶剂性能:虽然采用抗溶剂型基膜[40-41, 75-76]可增强膜整体耐溶剂性,但纳滤层材料本身及其与基膜的结合作用力在溶剂中的稳定性仍需深入研究。
(2) 强化中空纤维纳滤膜耐压能力:虽然引入内支撑网[4, 32, 77]或无机纳米颗粒等材料[52, 78]可提高中空纤维纳滤膜抗压能力,但仍需解析不同抗压增强材料与耐压性能之间的构效关系,且耐压膜在连续运行时的稳定性有待进一步验证。
(3) 提高纳滤膜结构长期稳定性:虽然采用化学交联反应[63, 79]或在基膜/纳滤层之间引入物理[44, 80]/化学键[6]作用可增强纳滤层结构稳定性,但要彻底解决膜层解离问题,还需对基膜与纳滤层之间相互作用机理和引发解离的因素进行系统研究。
| [1] |
李红宾, 石文英, 王薇, 等. 中空纤维复合纳滤膜的研究进展[J]. 膜科学与技术, 2016, 36(2): 122-131, 147. LI H B, SHI W Y, WANG W, et al. Research progress on hollow fiber composite nanofiltration membrane[J]. Membrane Science and Technology, 2016, 36(2): 122-131, 147. |
| [2] |
URPER G M, SENGUR T R, TURKEN T, et al. Hollow fiber nanofiltration membranes: A comparative review of interfacial polymerization and phase inversion fabrication methods[J]. Separation Science and Technology, 2017, 52(13): 2120-2136. DOI:10.1080/01496395.2017.1321668 |
| [3] |
PETERSEN R J. Composite reverse-osmosis and nanofiltration membranes[J]. Journal of Membrane Science, 1993, 83(1): 81-150. DOI:10.1016/0376-7388(93)80014-O |
| [4] |
XIA L L, REN J, MCCUTCHEON J R. Braid-reinforced thin film composite hollow fiber nanofiltration membranes[J]. Journal of Membrane Science, 2019, 585: 109-114. DOI:10.1016/j.memsci.2019.04.040 |
| [5] |
ZHANG H Z, XU Z L, DING H, et al. Positively charged capillary nanofiltration membrane with high rejection for Mg2+ and Ca2+ and good separation for Mg2+ and Li+[J]. Desalination, 2017, 420: 158-166. DOI:10.1016/j.desal.2017.07.011 |
| [6] |
SUN S P, HATTON T A, CHAN S Y, et al. Novel thin-film composite nanofiltration hollow fiber membranes with double repulsion for effective removal of emerging organic matters from water[J]. Journal of Membrane Science, 2012, 401: 152-162. |
| [7] |
FANG W, SHI L, WANG R. Interfacially polymerized composite nanofiltration hollow fiber membranes for low-pressure water softening[J]. Journal of Membrane Science, 2013, 430: 129-139. DOI:10.1016/j.memsci.2012.12.011 |
| [8] |
WEI X, WANG S, SHI Y, et al. Characterization of a positively charged composite nanofiltration hollow fiber membrane prepared by a simplified process[J]. Desalination, 2014, 350: 44-52. DOI:10.1016/j.desal.2014.07.012 |
| [9] |
WEI X, HONG J, ZHU S, et al. Structure-performance study of polyamide composite nanofiltration membranes prepared with polyethyleneimine[J]. Journal of Materials Science, 2017, 52(19): 11701-11714. DOI:10.1007/s10853-017-1225-0 |
| [10] |
ZHOU B W, ZHANG H Z, XU Z L, et al. Interfacial polymerization on PES hollow fiber membranes using mixed diamines for nanofiltration removal of salts containing oxyanions and ferric ions[J]. Desalination, 2016, 394: 176-184. DOI:10.1016/j.desal.2016.05.016 |
| [11] |
WEI X, KONG X, SUN C, et al. Characterization and application of a thin-film composite nanofiltration hollow fiber membrane for dye desalination and concentration[J]. Chemical Engineering Journal, 2013, 223: 172-182. DOI:10.1016/j.cej.2013.03.021 |
| [12] |
LIU J Q, XU Z L, LI X H, et al. An improved process to prepare high separation performance PA/PVDF hollow fiber composite nanofiltration membranes[J]. Separation and Purification Technology, 2007, 58(1): 53-60. DOI:10.1016/j.seppur.2007.07.009 |
| [13] |
THONG Z, GAO J, LIM J X Z, et al. Fabrication of loose outer-selective nanofiltration (NF) polyethersulfone (PES) hollow fibers via single-step spinning process for dye removal[J]. Separation and Purification Technology, 2018, 192: 483-490. DOI:10.1016/j.seppur.2017.10.031 |
| [14] |
HADDAD M, OHKAME T, B RUB P R, et al. Performance of thin-film composite hollow fiber nanofiltration for the removal of dissolved Mn, Fe and NOM from domestic groundwater supplies[J]. Water Research, 2018, 145: 408-417. DOI:10.1016/j.watres.2018.08.032 |
| [15] |
HAN G, CHUNG T S, WEBER M, et al. Low-pressure nanofiltration hollow fiber membranes for effective fractionation of dyes and inorganic salts in textile wastewater[J]. Environmental Science & Technology, 2018, 52(6): 3676-3684. |
| [16] |
GAO J, THONG Z, WANG K Y, et al. Fabrication of loose inner-selective polyethersulfone (PES) hollow fibers by one-step spinning process for nanofiltration (NF) of textile dyes[J]. Journal of Membrane Science, 2017, 541: 413-424. DOI:10.1016/j.memsci.2017.07.016 |
| [17] |
SUN S P, CHAN S Y, XING W H, et al. Facile synthesis of dual-Layer organic solvent nanofiltration (OSN) hollow fiber membranes[J]. ACS Sustainable Chemistry & Engineering, 2015, 3(12): 3019-3023. |
| [18] |
WANG K Y, CHUNG T S. Fabrication of polybenzimidazole (PBI) nanofiltration hollow fiber membranes for removal of chromate[J]. Journal of Membrane Science, 2006, 281(1/2): 307-315. |
| [19] |
ZHU W P, SUN S P, GAO J, et al. Dual-layer polybenzimidazole/polyethersulfone (PBI/PES) nanofiltration (NF) hollow fiber membranes for heavy metals removal from wastewater[J]. Journal of Membrane Science, 2014, 456: 117-127. DOI:10.1016/j.memsci.2014.01.001 |
| [20] |
SUN S P, HATTON T A, CHUNG T S. Hyperbranched polyethyleneimine induced cross-linking of polyamide-imide nanofiltration hollow fiber membranes for effective removal of ciprofloxacin[J]. Environmental Science & Technology, 2011, 45(9): 4003-4009. |
| [21] |
SETIAWAN L, SHI L, WANG R. Dual layer composite nanofiltration hollow fiber membranes for low-pressure water softening[J]. Polymer, 2014, 55(6): 1367-1374. DOI:10.1016/j.polymer.2013.12.032 |
| [22] |
SUN S P, WANG K Y, RAJARATHNAM D, et al. Polyamide-imide nanofiltration hollow fiber membranes with elongation-induced nano-pore evolution[J]. AIChE Journal, 2010, 56(6): 1481-1494. DOI:10.1002/aic.12083 |
| [23] |
SUN S P, WANG K Y, PENG N, et al. Novel polyamide-imide/cellulose acetate dual-layer hollow fiber membranes for nanofiltration[J]. Journal of Membrane Science, 2010, 363(1-2): 232-242. DOI:10.1016/j.memsci.2010.07.038 |
| [24] |
SONG J F, ZHANG M X, FIGOLI A, et al. Arsenic removal using a sulfonated poly(ether ether ketone) coated hollow fiber nanofiltration membrane[J]. Environmental Science Water Research & Technology, 2015, 1(6): 839-845. |
| [25] |
SONG J F, LI X M, FIGOLI A, et al. Composite hollow fiber nanofiltration membranes for recovery of glyphosate from saline wastewater[J]. Water Research, 2013, 47(6): 2065-2074. DOI:10.1016/j.watres.2013.01.032 |
| [26] |
HE T, FRANK M, MULDER M H V, et al. Preparation and characterization of nanofiltration membranes by coating polyethersulfone hollow fibers with sulfonated poly(ether ether ketone) (SPEEK)[J]. Journal of Membrane Science, 2008, 307(1): 62-72. DOI:10.1016/j.memsci.2007.09.016 |
| [27] |
YOON K, HSIAO B S, CHU B. High flux nanofiltration membranes based on interfacially polymerized polyamide barrier layer on polyacrylonitrile nanofibrous scaffolds[J]. Journal of Membrane Science, 2009, 326(2): 484-492. DOI:10.1016/j.memsci.2008.10.023 |
| [28] |
KIM S H, KWAK S Y, SUZUKI T. Positron annihilation spectroscopic evidence to demonstrate the flux-enhancement mechanism in morphology-controlled thin-film-composite (TFC) membrane[J]. Environmental Science & Technology, 2005, 39(6): 1764-1770. |
| [29] |
KAMADA T, OHARA T, SHINTANI T, et al. Optimizing the preparation of multi-layered polyamide membrane via the addition of a co-solvent[J]. Journal of Membrane Science, 2014, 453: 489-497. DOI:10.1016/j.memsci.2013.11.028 |
| [30] |
LIU T Y, BIAN L X, YUAN H G, et al. Fabrication of a high-flux thin film composite hollow fiber nanofiltration membrane for wastewater treatment[J]. Journal of Membrane Science, 2015, 478: 25-36. DOI:10.1016/j.memsci.2014.12.029 |
| [31] |
LAU W J, GRAY S, MATSUURA T, et al. A review on polyamide thin film nanocomposite (TFN) membranes: History, applications, challenges and approaches[J]. Water Research, 2015, 80: 306-324. DOI:10.1016/j.watres.2015.04.037 |
| [32] |
SENGUR-TASDEMIR R, SAYINLI B, URPER G M, et al. Hollow fiber nanofiltration membranes with integrated aquaporin Z[J]. New Journal of Chemistry, 2018, 42(21): 17769-17778. DOI:10.1039/C8NJ04367A |
| [33] |
LI X, ZHAO C, YANG M, et al. Reduced graphene oxide-NH2 modified low pressure nanofiltration composite hollow fiber membranes with improved water flux and antifouling capabilities[J]. Applied Surface Science, 2017, 419: 418-428. DOI:10.1016/j.apsusc.2017.04.080 |
| [34] |
TIAN L, JIANG Y X, LI S X, et al. Graphene oxide interlayered thin-film nanocomposite hollow fiber nanofiltration membranes with enhanced aqueous electrolyte separation performance[J]. Separation and Purification Technology, 2020, 248: 117153. DOI:10.1016/j.seppur.2020.117153 |
| [35] |
LIU T Y, LIU Z H, ZHANG R X, et al. Fabrication of a thin film nanocomposite hollow fiber nanofiltration membrane for wastewater treatment[J]. Journal of Membrane Science, 2015, 488: 92-102. DOI:10.1016/j.memsci.2015.04.020 |
| [36] |
RAMON G Z, WONG M C Y, HOEK E M V. Transport through composite membrane, part 1: Is there an optimal support membrane?[J]. Journal of Membrane Science, 2012, 415: 298-305. |
| [37] |
FANG W, SHI L, WANG R. Mixed polyamide-based composite nanofiltration hollow fiber membranes with improved low-pressure water softening capability[J]. Journal of Membrane Science, 2014, 468: 52-61. DOI:10.1016/j.memsci.2014.05.047 |
| [38] |
HE Y T, MIAO J, JIANG Z B, et al. Improving the anti-fouling property and permeate flux of hollow fiber composite nanofiltration membrane using beta-cyclodextrin[J]. Scientific Reports, 2019, 9: 12435. DOI:10.1038/s41598-019-48908-5 |
| [39] |
KORIKOV A, KOSARAJU P, SIRKAR K. Interfacially polymerized hydrophilic microporous thin film composite membranes on porous polypropylene hollow fibers and flat films[J]. Journal of Membrane Science, 2006, 279(1/2): 588-600. |
| [40] |
CHONG J Y, WANG R. From micro to nano: Polyamide thin film on microfiltration ceramic tubular membranes for nanofiltration[J]. Journal of Membrane Science, 2019, 587: 117161. DOI:10.1016/j.memsci.2019.06.001 |
| [41] |
LI Y X, CAO Y, WANG M, et al. Novel high-flux polyamide/TiO2 composite nanofiltration membranes on ceramic hollow fibre substrates[J]. Journal of Membrane Science, 2018, 565: 322-330. DOI:10.1016/j.memsci.2018.08.014 |
| [42] |
李俊俊, 岳鑫业, 陶吉飞, 等. 微量间苯二胺对聚哌嗪酰胺复合纳滤膜性能的影响[J]. 水处理技术, 2014, 40(7): 59-62. LI J J, YUE X Y, TAO J F, et al. Effect of microdose m-phenylendiamine on polypiperazine-amide composite nanofiltration membrane performance[J]. Technology of Water Treatment, 2014, 40(7): 59-62. |
| [43] |
王磊, 刘婷婷, 米娜, 等. PDA/PIP二胺混合聚酰胺复合纳滤膜制备及性能表征[J]. 西安建筑科技大学学报(自然科学版), 2015, 47(1): 108-114. WANG L, LIU T T, MI N, et al. Preparation and characterization of PDA/PIP mixtures polyamide composite nanofiltration membranes[J]. Journal of Xi'an University of Architecture & Technology (Natural Science Edition), 2015, 47(1): 108-114. |
| [44] |
ZHU J, HOU J, ZHANG R, et al. Rapid water transport through controllable, ultrathin polyamide nanofilms for high-performance nanofiltration[J]. Journal of Materials Chemistry A, 2018, 6(32): 15701-15709. DOI:10.1039/C8TA05687K |
| [45] |
LI X H, ZHANG C J, ZHANG S N, et al. Preparation and characterization of positively charged polyamide composite nanofiltration hollow fiber membrane for lithium and magnesium separation[J]. Desalination, 2015, 369: 26-36. DOI:10.1016/j.desal.2015.04.027 |
| [46] |
KONG X, ZHOU M Y, LIN C E, et al. Polyamide/PVC based composite hollow fiber nanofiltration membranes: Effect of substrate on properties and performance[J]. Journal of Membrane Science, 2016, 505: 231-240. DOI:10.1016/j.memsci.2016.01.028 |
| [47] |
YABUNO Y, MIHARA K, KOMATSU K, et al. Preparation of polyamide thin-film composite membranes using hydrophilic hollow fiber PVDF via the TIPS process modified by PVA diffusion[J]. Industrial & Engineering Chemistry Research, 2019, 58(47): 21691-21699. |
| [48] |
YANG S, XING Y N, ZHANG J, et al. Negatively charged polyamide thin film composite membrane with ultra-smooth selective layer and excellent organic solvent resistance for nanofiltration application[J]. Desalination Water Treatment, 2019, 157: 18-28. DOI:10.5004/dwt.2019.24149 |
| [49] |
SINGTO S, SAJOMSANG W, RATANATAWANATE C, et al. Flexible and hydrophilic copolyamide thin-film composites on hollow fiber membranes for enhanced nanofiltration performance[J]. ACS Applied Materials & Interfaces, 2020, 12(25): 28624-28634. |
| [50] |
林亚凯, 汪林, 唐元晖, 等. 中空纤维纳滤膜制备方法的研究进展[J]. 膜科学与技术, 2020, 40(3): 128-135. LIN Y K, WANG L, TANG Y H, et al. Research progress in preparation of hollow fiber nanofiltration membranes[J]. Membrane Science and Technology, 2020, 40(3): 128-135. |
| [51] |
SHI Q, NI L, ZHANG Y, et al. Poly(p-phenylene terephthamide) embedded in a polysulfone as the substrate for improving compaction resistance and adhesion of a thin film composite polyamide membrane[J]. Journal of Materials Chemistry, 2017, 5(26): 13610-13624. DOI:10.1039/C7TA02552A |
| [52] |
JI D W, XIAO C F, AN S L, et al. Preparation of high-flux PSF/GO loose nanofiltration hollow fiber membranes with dense-loose structure for treating textile wastewater[J]. Chemical Engineering Journal, 2019, 363: 33-42. DOI:10.1016/j.cej.2019.01.111 |
| [53] |
DARVISHMANESH S, TASSELLI F, JANSEN J C, et al. Preparation of solvent stable polyphenylsulfone hollow fiber nanofiltration membranes[J]. Journal of Membrane Science, 2011, 384(1/2): 89-96. |
| [54] |
ZHAO C W, YANG B, HAN J L, et al. Preparation of carboxylic multiwalled-carbon-nanotube-modified poly(m-phenylene isophthalamide) hollow fiber nanofiltration membranes with improved performance and application for dye removal[J]. Applied Surface Science, 2018, 453: 502-512. DOI:10.1016/j.apsusc.2018.05.149 |
| [55] |
GAO J, SUN S P, ZHU W P, et al. Polyethyleneimine (PEI) cross-linked P84 nanofiltration (NF) hollow fiber membranes for Pb2+ removal[J]. Journal of Membrane Science, 2014, 452: 300-310. DOI:10.1016/j.memsci.2013.10.036 |
| [56] |
JEON S, NISHITANI A, CHENG L, et al. One-step fabrication of polyamide 6 hollow fibre membrane using non-toxic diluents for organic solvent nanofiltration[J]. RSC Advances, 2018, 8(35): 19879-19882. DOI:10.1039/C8RA03328E |
| [57] |
WANG Y, JIANG L Y, MATSUURA T, et al. Investigation of the fundamental differences between polyamide-imide (PAI) and polyetherimide (PEI) membranes for isopropanol dehydration via pervaporation[J]. Journal of Membrane Science, 2008, 318(1): 217-226. |
| [58] |
XU S J, WANG Z Y, LI S X, et al. Fabrication of polyimide-based hollow fiber membrane by synergetic covalent-crosslinking strategy for organic solvent nanofiltration (OSN) application[J]. Separation and Purification Technology, 2020, 241: 116751. DOI:10.1016/j.seppur.2020.116751 |
| [59] |
WANG K Y, CHUNG T S, QIN J-J. Polybenzimidazole (PBI) nanofiltration hollow fiber membranes applied in forward osmosis process[J]. Journal of Membrane Science, 2007, 300(1/2): 6-12. |
| [60] |
YANG Q, WANG K Y, CHUNG T S. Dual-Layer hollow fibers with enhanced flux as novel forward osmosis membranes for water production[J]. Environmental Science & Technology, 2009, 43(8): 2800-2805. |
| [61] |
WANG K Y, YANG Q, CHUNG T S, et al. Enhanced forward osmosis from chemically modified polybenzimidazole (PBI) nanofiltration hollow fiber membranes with a thin wall[J]. Chemical Engineering Science, 2009, 64(7): 1577-1584. DOI:10.1016/j.ces.2008.12.032 |
| [62] |
姚之侃, 李莹, 朱宝库, 等. 表面原位聚合法荷正电纳滤分离层的构建及分离性能的研究[J]. 高校化学工程学报, 2015, 29(4): 789-794. YAO Z K, LI Y, ZHU B K, et al. Construction and separation performance of positively charged nanofiltration separation layers prepared via surface in-situ polymerization[J]. Journal of Chemical Engineering of Chinese Universities, 2015, 29(4): 789-794. DOI:10.3969/j.issn.1003-9015.2015.04.003 |
| [63] |
SONG J F, LI X M, LI Z S, et al. Stabilization of composite hollow fiber nanofiltration membranes with a sulfonated poly(ether ether ketone) coating[J]. Desalination, 2015, 355: 83-90. DOI:10.1016/j.desal.2014.10.011 |
| [64] |
HAN J N, YANG D L, ZHANG S H, et al. Preparation and performance of SPPES/PPES hollow fiber composite nanofiltration membrane with high temperature resistance[J]. Desalination, 2014, 350: 95-101. DOI:10.1016/j.desal.2014.06.029 |
| [65] |
VIRGA E, DE GROOTH J, ZVAB K, et al. Stable polyelectrolyte multilayer-based hollow fiber nanofiltration membranes for produced water treatment[J]. ACS Applied Polymer Materials, 2019, 1(8): 2230-2239. DOI:10.1021/acsapm.9b00503 |
| [66] |
LAAKSO T, PIHLAJAMAKI A, MANTTARI M. Effect of polycation structure on the fabrication of polyelectrolyte multilayer hollow fiber membranes for loose nanofiltration applications[J]. Separation and Purification Technology, 2018, 194: 141-148. DOI:10.1016/j.seppur.2017.11.038 |
| [67] |
LIU C, SHI L, WANG R. Crosslinked layer-by-layer polyelectrolyte nanofiltration hollow fiber membrane for low-pressure water softening with the presence of SO42- in feed water[J]. Journal of Membrane Science, 2015, 486: 169-176. DOI:10.1016/j.memsci.2015.03.050 |
| [68] |
GHERASIM C V, LUELF T, ROTH H, et al. Dual-charged hollow fiber membranes for low-pressure nanofiltration based on polyelectrolyte complexes: One-step fabrication with tailored functionalities[J]. ACS Applied Materials & Interfaces, 2016, 8(29): 19145-19157. |
| [69] |
ILYAS S, ABTAHI S M, AKKILIC N, et al. Weak polyelectrolyte multilayers as tunable separation layers for micro-pollutant removal by hollow fiber nanofiltration membranes[J]. Journal of Membrane Science, 2017, 537: 220-228. DOI:10.1016/j.memsci.2017.05.027 |
| [70] |
CHEN Q, YU P P, HUANG W Q, et al. High-flux composite hollow fiber nanofiltration membranes fabricated through layer-by-layer deposition of oppositely charged crosslinked polyelectrolytes for dye removal[J]. Journal of Membrane Science, 2015, 492: 312-321. DOI:10.1016/j.memsci.2015.05.068 |
| [71] |
GHIASI S, BEHBOUDI A, MOHAMMADI T, et al. High-performance positively charged hollow fiber nanofiltration membranes fabricated via green approach towards polyethyleneimine layer assembly[J]. Separation and Purification Technology, 2020, 251: 117313. DOI:10.1016/j.seppur.2020.117313 |
| [72] |
THAM H M, WANG K Y, HUA D, et al. From ultrafiltration to nanofiltration: Hydrazine cross-linked polyacrylonitrile hollow fiber membranes for organic solvent nanofiltration[J]. Journal of Membrane Science, 2017, 542: 289-299. DOI:10.1016/j.memsci.2017.08.024 |
| [73] |
GAO J, SUN S P, ZHU W P, et al. Chelating polymer modified P84 nanofiltration (NF) hollow fiber membranes for high efficient heavy metal removal[J]. Water Research, 2014, 63: 252-261. DOI:10.1016/j.watres.2014.06.006 |
| [74] |
GOH K L, SETIAWAN L, WEI L, et al. Graphene oxide as effective selective barriers on a hollow fiber membrane for water treatment process[J]. Journal of Membrane Science, 2015, 474: 244-253. DOI:10.1016/j.memsci.2014.09.057 |
| [75] |
GOH K S, CHONG J Y, CHEN Y, et al. Thin-film composite hollow fibre membrane for low pressure organic solvent nanofiltration[J]. Journal of Membrane Science, 2020, 597: 117760. DOI:10.1016/j.memsci.2019.117760 |
| [76] |
WANG T, HE X P, LI Y, et al. Novel poly(piperazine-amide) (PA) nanofiltration membrane based poly(m-phenylene isophthalamide) (PMIA) hollow fiber substrate for treatment of dye solutions[J]. Chemical Engineering Journal, 2018, 351: 1013-1026. DOI:10.1016/j.cej.2018.06.165 |
| [77] |
CHU Z Y, CHEN K K, XIAO C F, et al. Improving pressure durability and fractionation property via reinforced PES loose nanofiltration hollow fiber membranes for textile wastewater treatment[J]. Journal of the Taiwan Institute of Chemical Engineers, 2020, 108: 71-81. DOI:10.1016/j.jtice.2019.12.009 |
| [78] |
王珍, 魏永明, 曹悦, 等. γ-Al2O3/α-Al2O3陶瓷中空纤维纳滤膜制备与分离性能[J]. 高校化学工程学报, 2016, 30(1): 13-18. WANG Z, WEI Y M, CAO Y, et al. Preparation and separation performance of γ-Al2O3/α-Al2O3 ceramic hollow fiber nanofiltration membranes[J]. Journal of Chemical Engineering of Chinese Universities, 2016, 30(1): 13-18. DOI:10.3969/j.issn.1003-9015.2016.01.003 |
| [79] |
LI X P, CHEN Y B, HU X Y, et al. Desalination of dye solution utilizing PVA/PVDF hollow fiber composite membrane modified with TiO2 nanoparticles[J]. Journal of Membrane Science, 2014, 471: 118-129. DOI:10.1016/j.memsci.2014.08.018 |
| [80] |
YANG Z, HUANG X, WANG J, et al. Novel polyethyleneimine/TMC-based nanofiltration membrane prepared on a polydopamine coated substrate[J]. Frontiers of Chemical Science and Engineering, 2018, 12(2): 273-282. DOI:10.1007/s11705-017-1695-2 |


