2. 合肥华方医药科技有限公司, 安徽 合肥 230088;
3. 合肥工业大学 化学与化工学院, 安徽 合肥 230009
2. Hefei Huafang Pharmaceutical Technology Co. Ltd., Hefei 230088, China;
3. School of Chemistry and Chemical Engineering, Hefei University of Technology, Hefei 230009, China
盐酸文拉法辛(Venlafaxine hydrochloride,1)为5-羟色胺(5-HT)和去甲肾上腺素(NE)双重再摄取抑制剂(SNRIs),是二环类非典型抗抑郁药。化学名为(±)-1-[2-(二甲胺基)-1-(4-甲氧苯基)乙基]-环己醇盐酸盐,由美国Wyeth-Ayerst公司研发,片剂和缓释胶囊分别于1994年和1997年在美国上市,临床主要用于治疗各种类型抑郁症[1-2],多年来均居世界畅销药物的前列。盐酸文拉法辛缓释片为第5批国家集采产品,因此对盐酸文拉法辛原料合成工艺的改进,提高收率,降低成本具有重要意义。
根据合成化合物(1)的起始物料不同,合成方法主要有以下4种[3]。
(1) 4-甲氧基苯乙酸为原料,经二氯亚砜酰氯化、二甲胺胺化、环己酮加成、最终硼氢化钠还原反应得到盐酸文拉法辛,收率38%。Arnalot等[4]经乙醇酯化、与甲酸乙酯Claisen缩合、二甲胺胺化反应、催化氢化反应、环己酮格氏反应得到盐酸文拉法辛,需要用到腐蚀性试剂氯化亚砜,废酸气不利于环境保护且在应用格氏试剂时条件也较苛刻,给工业化生产带来一定的局限性。
(2) 4-甲氧基苯甲醛[5]为原料,与环己酮经格氏、氧化、溴化、氰化、催化还原及甲基化反应得到盐酸文拉法辛,收率24.2%。该路线较长,收率较低,且用到了剧毒试剂氰化物,工业化应用价值不大。
(3) 以苯甲醚为原料[6],与氯乙酰氯经Friedel-Crafts酰化反应、二甲胺胺化反应、还原溴代反应及格氏加成反应得到目标产物,收率11%。该路线反应步骤长,收率低,生产成本高,且需使用格氏试剂和PBr3,不利环境保护和产业化生产。
(4) 以甲氧基苯乙腈为原料,与环己酮在碱性条件下[7-9](氢化钾、醇钠、氢氧化钠)下进行缩合反应,再用NaBH4、氢化铝锂或钯碳等体系还原,最后经甲基化反应得化合物(1),总收率50% 以上;以氢化钾为碱催化剂时,使用量大、且需对溶剂进行无水化处理;在还原反应中,硼氢化钠用量大,过量硼氢化钠后处理麻烦;以氢化铝锂为还原剂,溶剂需无水处理且容易着火,后处理过程中产生大量的固废、废水;钯碳体系,价格昂贵,不利于成本控制。
在文献[10-11]基础上,本研究以甲氧基苯乙腈、环己酮为原料,用价廉的NaOH/(n-C4H9)4NBr作缩合体系,以雷尼镍作还原反应的催化剂、最终甲基化合成化合物(1),该路线收率高,产品纯度好,合成条件温和,产品总收率达62%。通过氢谱1H-NMR和碳谱13C-NMR对合成化合物(1)结构进行表征,利用热分析手段对热性能进行研究,培养中间体(3)单晶,对晶体结构进行测定与分析中间体和产品的结构均通过核磁共振(NMR)表征。
2 实验方法 2.1 实验仪器与试剂仪器:1H-NMR和13C-NMR用AVANCE-400核磁共振仪(Bruker公司,TMS为内标,以CDCl3或DMSO-d6为溶剂);高效液相色谱法(HPLC)用日本岛津LC-20AD高效液相色谱仪(归一化法)测定;质谱MS用美国SCIEX API 4000三重四极杆液质联用仪(美国AB公司);单晶用德国Bruker公司的SMART APEX IICCD X-射线单晶衍射仪测定;差热热重联(DSC-TG)用梅特勒TG/DSC-2热重/差热同步分析仪;熔点用上海申光仪器仪表有限公司WRS-1B数字熔点仪测定。
试剂:对甲氧基苯乙腈购自上海有朋化工有限公司;环己酮、乙酸、甲醛、甲酸、氢氧化钠、四丁基溴化铵(TBAB)、甲醇、雷尼镍、氨甲醇、乙酸乙酯、氯化氢异丙醇溶液等分析纯试剂购自中国国药集团有限公司,去离子水为自制。
2.2 方法与步骤合成路线见图 1。
|
图 1 盐酸文拉法辛的合成路线 Fig.1 Synthetic route of venlafaxine hydrochloride |
在2 L三口瓶中加入150 mL纯化水、150 mL甲醇、20 g(0.5 mol)NaOH和10 g (0.03 mol)四丁基溴化铵,搅拌溶解,冷却至(15±5) ℃。再加入300 g(2.04 mol)对甲氧基苯乙腈和270 g(2.75 mol)环己酮,(15±5) ℃搅拌3 h。反应完毕,加入纯化水900 mL,搅拌30 min,过滤,滤饼用2 L水打浆,过滤,55 ℃鼓风干燥,得中间体(2) 466.2 g,收率93.2%,纯度99.9%(HPLC:C8柱,4.6 mm×250 mm,5 µm);以乙腈-0.1 mol⋅L−1磷酸二氢钾溶液(用磷酸调节pH至3.0)(体积比18:82)为流动相A,乙腈-0.1 mol⋅L−1磷酸二氢钾溶液(用磷酸调节pH至3.0) (体积比40:60)为流动相B;梯度洗脱(0~10 min:A 100%—A 100%; 10~65 min:A 0%—A 0%; 65~75 min:A 0%—A 0%; 75~77 min:A 0%—A 100%; 77~90 min:A 100%—A 100%;其中A 100%表示流动相A成分为100%,B成分为0%;A 0%表示流动相A成分为0%,B成分为100%); 流速1 mL⋅min−1; 波长225 nm; 柱温35 ℃; 进样体积10 μL; 熔点m.p. 123.6~124.8 ℃; ESI-MS(质荷比m/z): 246.2[M+H]+;1H-NMR (400 MHz, CDCl3), 化学位移δ: 7.26~7.28 (双峰d, 耦合常数J=8.0 Hz, 2H, ArH), 6.89~6.91(d, J=8.0 Hz, 2H, ArH), 3.81(单峰s, 3H, OCH3), 3.73(s, 1H, OH), 1.73(多重峰m, 1H, CH in Hex), 1.56(m, 9H, CH in Hex), 1.17(m, 1H, CH in Hex); 13C-NMR (101 MHz, CDCl3), δ: 159.73, 130.63, 123.70, 119.85, 114.07, 72.72, 55.33, 49.34, 34.98, 34.87, 25.19, 21.56, 21.50.
2.2.2 1-(2-氨基-1-(4-甲氧基苯基)乙基)环己醇乙酸盐(3)的合成将300 g(1.22 mol)中间体(2)、雷尼镍90 g、氨水180 mL和3 L甲醇加入高压釜中,在0.2~0.5 MPa氢化反应,(50±5) ℃,搅拌3 h。反应完毕,抽滤,回收雷尼镍,滤液减压回收甲醇,浓缩至干,加入2.1 L乙酸乙酯溶解,室温下滴加80 g(1.32 mol)冰乙酸,约10 min滴加完毕,继续搅拌有大量固体析出,室温搅拌2 h,抽滤,滤饼用1 L乙酸乙酯淋洗,得到中间体(3) 315.2 g,收率83.2%,纯度99.1%(HPLC检测条件同前);m.p.161.3-163.2 ℃; ESI-MS(m/z): 250.3[M+H]+; 1H-NMR(400 MHz, DMSO-d6) δ: 7.15 (d, J= 8.6 Hz, 2H), 6.85 (d, J = 8.6 Hz, 2H), 3.73(s, 3H), 3.27 (双重双峰dd, J = 12.7, 5.6 Hz, 1H), 2.96 (dd, J = 12.7, 8.8 Hz, 1H), 2.72(dd, J = 8.8, 5.6 Hz, 1H), 1.77(s, 3H), 1.51(m, 4H), 1.34 (m, 3H), 1.09(m, 2H), 0.96 (m, 1H). 13C-NMR(100 MHz, DMSO-d6) δ: 174.06, 158.41, 132.51, 131.04, 113.82, 72.44, 55.43, 41.05, 37.24, 33.85, 26.03, 23.74, 21.90, 21.69.
2.2.3 盐酸文拉法辛(1)的合成向反应瓶中加入200 g(0.64 mol)中间体(2)、纯化水1 L、200 mL甲酸、150 mL甲醛,加热至回流,搅拌反应20 h,减压回收溶剂至干,加入纯化水400 mL,400 mL乙酸乙酯,用质量分数为10% 氢氧化钠水溶液调节pH约10,分取乙酸乙酯层,水层400 mL乙酸乙酯萃取2次,合并有机层,用400 mL水洗3次,有机层用无水硫酸钠干燥,过滤,滤液,在(10±5) ℃下缓慢加入质量分数为30% 盐酸异丙醇120 mL,搅拌析晶2 h,过滤,滤饼用400 mL乙酸乙酯淋洗,得盐酸文拉法辛164.1 g,收率80.9%,纯度99.9%(HPLC检测条件同前); m.p. 215.6~217.2 ℃。ESI-MS(m/z): 278.2[M+H]+; 1H-NMR(400 MHz, DMSO-d6), δ: 9.75(s, 1H), 7.27(d, J = 8.8Hz, 2H), 6.90(d, J=8.8 Hz, 2H), 4.61(s, 1H), 3.75(s, 3H), 3.67 (m, 1H), 3.48(s, 1H), 3.11(s, 1H), 2.67(d, J = 4.0 Hz, 3H), 2.58(d, J = 4.0 Hz, 3H), 1.59(m, 2H), 1.44(m, 3H), 1.33(s, 1H), 1.22(m, 2H), 1.04 (m, 2H).13C-NMR (100 MHz, DMSO-d6) δ: 158.25, 130.73, 130.56, 113.59, 72.07, 58.12, 54.96, 49.93, 3.08, 42.76, 36.08, 33.09, 25.25, 21.34, 20.94.
2.3 中间体(3)单晶制备及结构测定向三口烧瓶中加入适量的异丙醇,加热至70 ℃,分次加入中间体(3),振摇溶解并使中间体(3)过量,趁热过滤、滤液置于试管中,室温(20~25) ℃下放置3 d,得到白色晶体。选取尺寸为0.25 mm×0.30 mm×0.16 mm的中间体(3)单晶,在X-射线衍射仪上用波长为0.071 07 nm的MoKα射线,(293±2) K温度条件下,以ω-θ方式扫描,范围为2.29 ° < θ < 25.00 °,−7≤ h ≤7,−11≤k ≤11,−32≤ l ≤ 32,其中θ为衍射角,h、k、l分别为晶面衍射指标, 共收集10 690个衍射点,选取I > 2σ(I)的1 516个点(I为衍射强度,σ(I) 为衍射强度的标准误差),用于结构的测定和修正,晶体结构由直接法解出,并用全矩阵最小二乘法(F2)进行精修,结构分析[12-16]用SHELXL-97软件包完成。
3 结果与讨论 3.1 不同溶剂对中间体(2)制备的影响不同溶剂对中间体(2)制备的影响见表 1。表中VMeOH: VH2O为甲醇(MeOH)与H2O的体积比,VEtOH: VH2O为乙醇(EtOH)与水的体积比。由表可知,当以水为溶剂时,反应收率和产物纯度较低,这是因为对甲氧基苯乙腈和环己酮均为液体,与水形成两相,在相转移催化剂存在条件下,慢慢有中间体(2)固体析出,在析出过程中可能将对甲氧基苯乙腈和环己酮这2种起始物料包裹,导致产品收率和纯度降低。陶惠华[10]采用甲苯重结晶来除去未反应完全或包裹的甲氧基苯乙腈和环己酮,以期提高纯度。当以甲醇和乙醇为溶剂时,反应收率较低,但产物纯度较高,可能是因为有机溶剂甲醇和乙醇对起始物料和产品有一定的溶解度,导致析晶不完全;改用不同比例甲醇或乙醇和水的混合溶剂时,甲醇或乙醇对生成产物有一定溶解度,形成均相,不存在产物包裹起始物料现象,未反应完全的物料溶于混合溶剂,抽滤后存在滤液中,产物不经重结晶可直接用于下一步反应。通过优化醇与水的比例发现,醇比例过大影响收率,水比例过大影响产品纯度,甲醇或乙醇与水体积比为1:1的混合溶剂对产物的收率和纯度影响较小。考虑到甲醇价格低于乙醇,从工业化生产成本角度,最终选择VMeOH: VH2O=1:1为反应溶剂,收率和纯度分别达93.2% 和99.7%。
|
|
表 1 不同溶剂对中间体(2)制备的影响a Table 1 Effects of different solvents on the preparation of intermediate (2)a |
本研究考察了乙酸、质量分数为37% 的盐酸、氯化氢异丙醇溶液3种不同成盐方式对化合物3制备的影响,结果见表 2。由表可知,用37% 盐酸直接成盐,反应收率较低,只有45.8%。当改用氯化氢异丙醇溶液成盐时,反应收率可显著提高至75.1%,但纯度不高(94.62%);改用乙酸成盐时,反应收率提高到90.2% 且纯度达99.11%。另外,采用中间体(3)盐酸盐为起始物料制备盐酸文拉法辛时,先要将中间体(3)盐酸盐游离成碱,最后经Eschweiler-Clarke反应得到盐酸文拉法辛;而采用中间体(3)乙酸盐直接经Eschweiler-Clarke反应得到盐酸文拉法辛,省去游离工序,操作简单,有利于工业化制备。
|
|
表 2 不同成盐方式对中间体(3)制备的影响 Table 2 Effects of different salt forming methods on the preparation of intermediate (3) |
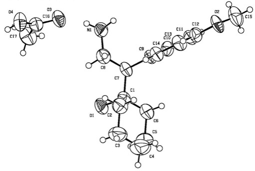
中间体(3)晶体的分子结构和晶胞堆积分别如图 2、3所示,晶体结构数据及精修参数、主要键长、键角、扭角数据见表 3~6,表中CCDC为单晶编号。
|
图 2 中间体(3)的分子结构 Fig.2 Packing program of intermediate (3) |
|
图 3 中间体(3)的晶胞堆积图 Fig.3 Single crystal structure of intermediate (3) |
|
|
表 3 中间体(3)的晶体数据和结构精修参数 Table 3 Crystal properties and structure refinement parameters of intermediate (3) |
|
|
表 4 中间体(3)的部分键角 Table 4 Selected bond angles of intermediate (3) |
|
|
表 5 中间体(3)的部分键长 Table 5 Selected bond lengths of intermediate (3) |
|
|
表 6 中间体(3)的部分扭转角 Table 6 Selected torsion angles of intermediate (3) |
测试结果显示该晶体为正交晶系,空间群为P2(1)/n。晶体学参数为:a=(0.671 7±0.001 2) nm, b=(0.939 1±0.001 8) nm, c=(2.757±0.000 5) nm, α=90°, β=90°, γ=90°, V=(1.739 1±0.000 5) nm3, Z=4, μ=0.083 mm−1, F(000)=676, a、b、c分别为晶胞的3个单位向量的长度,β为a和c之间的夹角,V为晶胞体积,Z为晶胞中分子数,μ为线性吸收系数,F(000)为晶胞中的电子数,晶体密度为1.186 g⋅cm−3,CCDC号为2 091 630。该晶体结构由Patterrson直接法解出,原子位置均由差值Fourier合成法得到。分子结构有1 516个参数,由块矩阵最小二乘法进行优化(对于氢原子采用各向同性热参数,对于非氢原子采用各向异性热参数)。对于I > 2σ(I)数据的最终偏差因子R1=0.047 5,wR2=0.103 6,最佳拟合度s=0.988,最终差值电子云密度的最高峰为226 e⋅nm−3,最低峰为−249 e⋅nm−3。
从图 3中可以看出,中间体(3)晶体的最小单元由4个分子构成,其中乙酸阴离子和1-(2-氨基-1-(4-甲氧基苯基)乙基)环己醇阳离子均匀分布在晶胞中,且以晶胞中心对称;乙酸根阴离子和1-(2-氨基-1-(4-甲氧基苯基)乙基)环己醇阳离子均以平面结构进行堆积,相互交错形成了层状结构的晶体。从表 6中扭转角数据可以看出,多数扭转角均接近0°或180°,进一步证明了乙酸根阴离子和1-(2-氨基-1-(4-甲氧基苯基)乙基)环己醇阳离子的平面骨架结构,平面结构有利于晶体堆积更加紧密,能够获得较高的晶体密度。从表 5可以看出,1-(2-氨基-1-(4-甲氧基苯基)乙基)环己醇阳离子中C(9)─C(10)、C(10)─C(11)、C(11)─C(12)、C(12)─C(13)、C(13)─C(14)、C(14)─C(15)的键长分别为0.137 6、0.141 2、0.140 4、0.137 1、0.141 2、0.141 3 nm,键长基本相同,为典型共轭芳香环;C(1)─C(2)、C(2)─C(3)、C(3)─C(4)、C(4)─C(5)、C(5)─C(6)、C(6)─C(1)的键长分别为0.153 7、0.154 7、0.152 6、0.149 1、0.157 4、0.153 3 nm,键长基本相同,其中环己烷为椅式构象。
3.4 中间体(3)的热稳定性能在N2体积流量为50 mL⋅min−1、以10 ℃⋅min−1升温速率,从20 ℃升至450 ℃测试中间体(3)的DSC-TG曲线,样品质量为3.6 mg,结果见图 4。由图 4可见,中间体(3)的DSC曲线在161.52 ℃有一个吸热峰,为熔化过程的吸热峰,即中间体(3)的熔点为161.52 ℃。当熔化完成后,随着温度升高,立即开始发生分解,分解峰温为258.42 ℃。从TG曲线看出,在111.76 ℃之前,几乎没有失重,说明温度低于111.76 ℃时,化合物较为稳定;在温度从117.76升至184.56 ℃的过程中,中间体(3)开始失重,累计失重为21.10%,与化合物中失去一分子乙酸相符;随着温度的进一步升高,开始快速分解,265.38 ℃时分解结束,失重76.26%。
|
图 4 中间体(3)的DSC-TG曲线 Fig.4 DSC-TG curves of intermediate (3) |
以对甲氧基苯乙腈为主要原料,经缩合、氢化、甲基化等步骤制备了盐酸文拉法辛,该方法成本低、反应简单、收率高、易于实现工业化生产。本研究对路线中关键步骤进行了工艺探讨和优化:
(1) 溶剂的性质和比例对中间体(2)的制备具有较大影响,以混合溶剂VMeOH: VH2O=1:1为反应溶剂,中间体(2)的收率和纯度分别达93.2% 和99.7%,替代文献[10-11]环己烷、甲苯重结晶或萃取工序。
(2) 中间体(3)制备过程中,采用乙酸成盐替代原先工艺中氯化氢异丙醇成盐方式,反应收率和纯度明显提高,无需用碱游离直接经Eschweiler-Clarke反应得到盐酸文拉法辛,省去游离工序,操作简单,有利于工业化制备。
(3) 培养并获得了中间体(3)的单晶,经结构测定和解析可知其为正交晶系,空间群为P2(1)/n,晶体学参数为:a=(0.671 7±0.001 2) nm,b=(0.939 1±0.001 8) nm,c=(2.757 0±0.000 5) nm,α = 90°,β = 90°,γ = 90°,V=(1.739 1±0.000 5) nm3,晶体密度为1.186 g⋅cm−3。
(4) 热分析结果表明,中间体(3)的熔点为161.52 ℃,熔化后随即分解,分解温峰为258.42 ℃。
| [1] |
陈仕云, 杨士伟, 何勇, 等. 盐酸文拉法辛光降解杂质的合成[J]. 中国现代应用药学, 2021, 38(3): 266-268. CHEN S Y, YANG S W, HE Y, et al. Synthesis of venlafaxine hydrochloride photodegradation impurities[J]. Chinese Journal of Modern Applied Pharmacy, 2021, 38(3): 266-268. |
| [2] |
王茜, 姜红, 周茜, 等. 盐酸文拉法辛原料及市售制剂的杂质谱分析[J]. 药物分析杂志, 2020, 40(7): 1268-1276. WANG Q, JIANG H, ZHOU Q, et al. Impurities spectrum analysis of venlafaxine hydrochloride raw materials and its commercial preparations[J]. Journal of Pharmaceutical Analysis, 2020, 40(7): 1268-1276. |
| [3] |
古双喜, 李婷婷, 朱园园. 盐酸文拉法辛合成路线图解[J]. 中国医药工业杂志, 2014, 45(2): 187-189. GU S X, LI T T, ZHU Y Y. Graphical synthetic routes of venlafaxine hydrochloride[J]. Chinese Journal of Pharmaceuticals, 2014, 45(2): 187-189. |
| [4] |
ARNALOT I A, CARMEN BOSCH I L, JORDI C G. Venlafaxine production process: EP, 009 459 587 [P]. 2004-09-15.
|
| [5] |
RATHOD D M, ALEMBIC C, RENGARAJU S, et al. Intermediate for the production of 1-[2-dimethylamino-l-(4-methoxyphenyl)- ethyl]-cyclohexanol: EP, 01 303 347 [P]. 2001-04-10.
|
| [6] |
周金培, 张惠斌, 黄雪珍, 等. 抗抑郁药文拉法辛的合成研究[J]. 中国药科大学学报, 1999, 30(4): 249-250. ZHOU J P, ZHANG H B, HUANG X Z, et al. Synthesis of antidepressant venlafaxine hydrochloride[J]. Journal of China Pharmaceutical University, 1999, 30(4): 249-250. |
| [7] |
贺新, 邱岳进, 王德传. 盐酸文拉法辛合成工艺改进[J]. 药学进展, 2006, 30(6): 278-279. HE X, QIU Y J, WANG D C. Improvement of synthesis process of venlafaxine hydrochloride[J]. Progress in Pharmaceutical Sciences, 2006, 30(6): 278-279. |
| [8] |
钱玉飞, 俞慧萍. 盐酸文拉法辛的合成[J]. 中国医药工业杂志, 2006, 37(6): 373-374. QIAN Y F, YU H P. Synthesis of venlafaxine hydrochloride[J]. Chinese Journal of Pharmaceuticals, 2006, 37(6): 373-374. |
| [9] |
赵志全, 彭立增. 盐酸文拉法辛的合成[J]. 中国医药工业杂志, 2004, 35(10): 1-2. ZHAO Z Q, PENG L Z. Synthesis of venlafaxine hydrochloride[J]. Chinese Journal of Pharmaceuticals, 2004, 35(10): 1-2. |
| [10] |
陶惠华. 盐酸文拉法辛的合成工艺研究[D]. 杭州: 浙江大学, 2018. TAO H H. Study on the synthesis process of venlafaxine hydrochloride [D]. Hangzhou: Zhejiang University, 2018. |
| [11] |
SARAVANAN M, SATYANARAYANA B, REDDY P P. An improved and impurity-free large-scale synthesis of venlafaxine hydrochloride[J]. Organic Process Research & Development, 2011, 15(6): 1392-1395. |
| [12] |
王彬, 李亚南, 张义迎, 等. 5, 5′-偶氮双(1-甲氧基甲酰胺基四唑)的合成[J]. 高校化学工程学报, 2021, 35(3): 574-578. WANG B, LI Y N, ZHANG Y Y, et al. Synthesis of 5, 5-Azo bis(1-methoxyformamide tetrazole)[J]. Journal of Chemical Engineering of Chinese Universities, 2021, 35(3): 574-578. |
| [13] |
陈涛, 常佩, 胡建建, 等. 1, 1'-偶氮双(4-氯-3, 5-二硝基吡唑)的合成及性能[J]. 高校化学工程学报, 2020, 34(4): 969-973. CHEN T, CHANG P, HU J J, et al. Synthesis and properties of 1, 1'-diazotization-coupling bi(4-chlorin-3, 5-dinitropyrazole)[J]. Journal of Chemical Engineering of Chinese Universities, 2020, 34(4): 969-973. |
| [14] |
陆贻超, 刘志春, 张亚杰. 2, 5-呋喃二甲酸的结晶和晶体结构解析[J]. 高校化学工程学报, 2020, 34(3): 688-696. LU Y C, LIU Z C, ZHANG Y J. Crystallization and crystal structure analysis of 2, 5-furandicarboxylic acid[J]. Journal of Chemical Engineering of Chinese Universities, 2020, 34(3): 688-696. |
| [15] |
刘卫孝, 尉涛, 陆婷婷, 等. 3, 5-二氨基-1, 2, 4-三唑二硝酰胺盐合成、晶体结构及性能[J]. 高校化学工程学报, 2019, 33(4): 1005-1011. LIU W X, YU T, LU T T, et al. Synthesis crystal structure and properties of 3, 5-diamino-1, 2, 4-triazolium dinitramide[J]. Journal of Chemical Engineering of Chinese Universities, 2019, 33(4): 1005-1011. |
| [16] |
李亚南, 胡建建, 常佩, 等. 3-偕二硝甲基-1, 2, 4-三唑的合成及表征[J]. 高校化学工程学报, 2019, 33(1): 141-145. LI Y N, HU J J, CHANG P, et al. Synthesis and characterization of 3-dinitromethyl-1, 2, 4-triazole[J]. Journal of Chemical Engineering of Chinese Universities, 2019, 33(1): 141-145. |


