2. 常州工程技术学院 智能装备学院, 江苏 常州 213164
2. School of Intelligent Equipment, Changzhou Vocational Institute of Engineering, Changzhou 203164, China
氮氧化物(NOx)作为大气污染物之一,主要来源于机动车尾气和化石燃料燃烧所产生的废气,对自然环境和人体健康造成严重威胁。在过去多种烟气脱硝技术得到深入的研究与开发,如以NH3、HC为还原剂的选择性催化还原(NH3-SCR、HC-SCR)。相比于NH3-SCR,HC-SCR脱硝技术具有对环境无害、价格低廉等优点[1-2]。研究表明,通过使用不同类型的催化剂,C2~C3的烃类能够达到较高的脱硝效率[3-7]。然而,目前甲烷选择性催化还原(CH4-SCR)脱硝效率比较低。甲烷是天然气的主要成分,价廉易得,采用甲烷作为还原剂,对于工业应用,特别是固定源如燃煤锅炉和窑炉的烟气脱硝具有重要的前景。因此研究适用于CH4-SCR的催化剂具有重要的意义。
前人的研究表明,Pd、Rh、Ga、Co等少数金属负载型催化剂具有一定的CH4-SCR脱硝效果[8-14]。Lonyi等[11-12]研究了Co修饰的H-MOR催化剂,其CH4-SCR的NO转化率约为53%,但易受水蒸气影响而失活。Lim等[13]研究了Co改性的催化剂Co-UFI和Co-LTA,CH4-SCR的NO转化率分别为45% 和10%,然而在10% H2O的氛围中,其催化效率分别降低为25% 和0。Bellmann等[14]采用离子交换法制备了2.44% Co-ZSM-5,在500 ℃取得50% 的NO转化率。其他几种金属,如Pd、Rh、Ga,负载在不同的载体上制备的催化剂在CH4-SCR反应中也普遍存在脱硝效率较低、抗水抗硫能力较弱或活性温度较高等缺点[8-10]。研究表明,双金属催化剂的CH4-SCR催化性能通常比单一金属离子的催化性能有所提高,催化剂载体和负载的离子种类都会影响催化剂的活性。林睿等[15]用Fe修饰Ga2O3-Al2O3并研究其CH4-SCR脱硝性能,相比于Ga2O3-Al2O3,x Fe/Ga2O3-Al2O3(x为Fe的质量分数)在350~500 ℃时的催化活性得到大幅提升。Lonyi等[11-12]研究Co对In/H-ZSM-5分子筛的CH4-SCR的影响机理,发现800 K时双金属催化剂的脱硝效率超过90%,而单金属催化剂在相同条件下的脱硝效率仅为20% 左右。
通常,分子筛催化剂的水热稳定性较差[16]。而烟气中的SO2对金属氧化物催化剂的活性有较大的影响[17]。研究表明,金属铁或氧化铁[18-19]以及负载型铁基催化剂[20-21]在脱硝反应中具有很强的抗水抗硫的能力。柱撑黏土(PILC)作为一种新型催化材料,具有比表面积大、水热稳定性好的特点,负载金属离子后,其表面可同时形成Lewis酸和Brønsted酸,是一种性能优越的催化剂载体[22-23]。因此,为提高催化剂的CH4-SCR脱硝效率,并改善其抗水抗硫能力,本研究采用铝离子对蒙脱土进行改性制备铝柱撑黏土,并负载Fe-Co,制备双金属催化剂,系统研究其CH4-SCR的反应特性。
2 实验部分 2.1 催化剂Fe-Co/Al-PILC的制备当温度为80 ℃时,将0.4 mol·L−1的NaOH溶液缓慢滴加到快速搅拌的0.2 mol·L−1 AlCl3溶液中(OH−与Al3+物质的量比为2.4),滴加完毕后80 ℃下继续搅拌2 h,室温静置陈化24 h,得到铝柱化剂。80 ℃剧烈搅拌下,将铝柱化剂溶液缓慢滴加到质量分数为1%、预搅拌24 h的蒙脱土悬浮液中,使每克黏土含Al3+ 10 mmol。继续搅拌2 h,60 ℃恒温陈化48 h,使用去离子水洗至无Cl−(用AgNO3检测,无AgCl沉淀),然后100 ℃干燥12 h,550 ℃焙烧4 h,制得Al-PILC载体。
分别称取1 g Al-PILC载体浸入不同浓度的硝酸钴溶液中,室温下超声浸渍4 h、100 ℃干燥12 h、550 ℃焙烧4 h,得m Co/Al-PILC催化剂(m为Co的质量分数)。将不同浓度的硝酸铁溶液加入上述Co/Al-PILC溶液中,室温超声浸渍4 h、100 ℃干燥12 h,550 ℃焙烧4 h,得n Fe-Co/Al-PILC(n为Fe与Co的质量分数比)。表 1给出了催化剂的种类。
|
|
表 1 催化剂的元素含量 Table 1 Elemental contents of catalysts |
催化剂的CH4-SCR活性测试在固定床微反应器上进行。将0.4 g、0.3~0.71 mm的催化剂,置于内径为8 mm的固定床微反应器内。在300 ℃下N2氛围中预处理30 min以去除催化剂微孔隙中吸附的其他气体杂质。将催化剂冷却至室温后,通入体积流量为200 mL·min−1的混合气体(体积分数为:φ(NO)=0.1%、φ(CH4)=0.2%、φ(O2)=2%,N2为平衡气),进行CH4-SCR脱硝特性测试。同时借助烟气分析仪(ECOM-J2KN,德国)检测NO、NO2浓度,气相色谱仪(GC-4000A)氢火焰离子化检测器(FID)检测CH4浓度。NO、CH4转化率和N2选择性的计算公式如下:
| $ R({\rm{NO}}) = \frac{{\varphi {{({\rm{NO}})}_{{\rm{in}}}} - \varphi {{({\rm{NO}})}_{{\rm{out}}}}}}{{\varphi {{({\rm{NO}})}_{{\rm{in}}}}}} \times 100\% $ | (1) |
| $ R({\rm{CH}}{_4}) = \frac{{\varphi {{({\rm{CH}}{_4})}_{{\rm{in}}}} - \varphi {{({\rm{CH}}{_4})}_{{\rm{out}}}}}}{{\varphi {{({\rm{CH}}{_4})}_{{\rm{in}}}}}} \times 100\% $ | (2) |
| $ S({{\rm{N}}_2}) = \frac{{\varphi {{({\rm{NO}})}_{{\rm{in}}}} - \varphi {{({\rm{NO}})}_{{\rm{out}}}} - \varphi {{({\rm{N}}{{\rm{O}}_2})}_{{\rm{in}}}} - 2\varphi {{({{\rm{N}}_2}{\rm{O}})}_{{\rm{out}}}}}}{{\varphi {{({\rm{NO}})}_{{\rm{in}}}} - \varphi {{({\rm{NO}})}_{{\rm{out}}}}}} \times 100\% $ | (3) |
式中:
催化剂的基础物理化学性质通过XRD、XPS、Py-FTIR等进行系统表征,方法如下:
(1) 特定元素的含量通过电感耦合等离子体光谱仪(Prodigy-ICP)测试得出。波长范围:165~800 nm;分辨率:≤0.005 nm(As在200 nm处);测量10次的精密度(RSD):< 1.0%。
(2) 催化剂的还原性能通过H2-TPR表征。对0.1 g催化剂,在N2、300 ℃下预处理30 min后冷却至常温,通入20 mL·min−1(φ(H2)=5%、φ(N2)=95%)混合气,由气相色谱仪(GC-4000A)热导检测器(TCD)检测耗氢量。
(3) XPS是使用X射线光电子微探针ESCALAB 250仪器测定,该光谱用单色Al Kα辐射激发,绝对能量分辨率为0.6 eV,C 1s线监控表面状态,结合能为284.8 eV,作为所有光谱的能量校对标准。
(4) 在ASAP 2460设备上于−196 ℃下进行测试,得到N2吸附-脱附等温线。使用标准BET和BJH方法分别计算样品的比表面积和孔径。测试之前,将样品在300 ℃的真空下预处理3 h。
(5) 在Frontier FTIR光谱仪上进行了吡啶吸附红外光谱(Py-FTIR)测试,研究催化剂的表面酸性质。首先对样品500 ℃下预处理2 h,随后降至室温吸附吡啶,分别对40、150、300 ℃采样分析。
3 结果与讨论 3.1 脱硝活性测试结果CH4-SCR脱硝特性的实验结果如图 1所示。从图 1(a)可知,所有催化剂在反应温度窗口(250~700 ℃)内,达到最大脱硝效率后仅略微下降;单纯的铝柱撑黏土几乎不具有催化脱硝能力。负载Co的催化剂有良好的脱硝活性,且随着Co负载量的增加,脱硝效率先增大后减小,其中22.4Co/Al-PILC在600 ℃达到最大NO转化率61.8%。引入Fe的n Fe-Co/Al-PILC催化剂的脱硝效率略有增大,其中0.27Fe-Co/Al-PILC在600 ℃达到63.5% 的最高脱硝效果。当Fe-Co质量比n > 0.27后,脱硝效率略微下降。Mendioroz等[9]采用浸渍法制备了Rh/Al-PILC催化剂,其最高的CH4-SCR脱硝效率仅为22.04%,本研究Fe-Co/Al-PILC的CH4-SCR脱硝效率有了较大提高。
|
图 1 催化剂的CH4-SCR脱硝特性 Fig.1 CH4-SCR reactivity of the catalysts |
图 1(b)和(c)分别为CH4转化率和N2选择性实验结果,CH4转化率随温度升高而增加,22.4Co/Al-PILC、31.6Co/Al-PILC分别在700、650 ℃实现CH4的完全转化。引入Fe后,甲烷转化率增大,且随着Fe-Co质量比n的增加而增大;此外,CH4完全转化的温度向前移动到600 ℃,催化剂的N2选择性随温度升高逐渐增大。n Fe-Co/Al-PILC催化剂的N2选择性明显高于Co/Al-PILC催化剂,N2选择性随着Fe的比例增加而提高,在600 ℃以后能保证100% 的N2选择性。说明Fe的引入,促进CH4活化与NO反应,并抑制了NO2和N2O的形成,从而提高了N2选择性[24-25]。
3.2 H2O和SO2对催化剂脱硝活性的影响图 2为600 ℃时22.4Co/Al-PILC、0.27Fe-Co/Al-PILC催化剂抗水、抗硫性能测试结果。由图 2(a)可知,通入体积分数为10% 的H2O,22.4Co/Al-PILC催化效率下降到36%,引入Fe后,NO转化率略有下降,仍可保持56% 左右的NO转化率,说明Fe改善了催化剂的抗水性能。图 2(b)显示,加入体积分数为0.02% 的SO2对22.4Co/Al-PILC脱硝效果有明显抑制作用,切断SO2,NO转化率略有回升;而0.27Fe-Co/Al-PILC受SO2的抑制作用较小,NO转化率仅下降7%,切断SO2,NO转化率仍可达到60.5%,表明Fe可改善催化剂的抗硫性能[26]。
|
图 2 600 ℃时水蒸气和SO2对0.27Fe-Co/Al-PILC和22.4Co/Al-PILC脱硝特性的影响 Fig.2 Effects of water vapor and SO2 on NO reduction using 0.27Fe-Co/Al-PILC and 22.4Co/Al-PILC catalysts at 600 ℃ |
从图 3(a)可知,22.4Co/Al-PILC保留了黏土的层状结构,在36.6°出现CoO衍射峰。与其他Co基催化剂相比,具有最佳的NO转化率,是因为较多的CoO促进了还原反应进行[14]。图 3(b)为n Fe-Co/Al-PILC的XRD谱图。负载Fe的催化剂在18.8°、21.6°处的衍射峰变弱,与铁、钴化合物强烈吸收X射线有关[27]。Co3O4、CoO的衍射峰强度削弱甚至消失,可能是由于引入Fe促进上述物种在催化剂表面更加均匀分散。0.27Fe-Co/Al-PILC的Fe2O3物种峰强度明显削弱,可能是其高度分散在催化剂表面,提供更多活性位点,促进了NO的转化[28]。这与图 1中它的较高NO转化率一致。
|
图 3 催化剂的XRD谱图 Fig.3 XRD patterns of catalysts a. original clay b. Al-PILC c. 3Co/Al-PILC d. 22.4Co/Al-PILC e. 31.6Co/Al-PILC x. 0.11Fe-Co/Al-PILC y. 0.27Fe-Co/Al-PILC z. 0.47Fe-Co/Al-PILC |
图 4为催化剂表面钴、铁氧化物的分布谱图。由图 4(a)可知,m Co/Al-PILC催化剂的Co2p3/2和Co2p1/2的跃迁是由一个主峰和相邻高能量的卫星峰组成,位于780.4 eV的Co2p3/2的峰与卫星峰有强烈关系,这是判断催化剂表面含有Co2+的重要依据[12]。22.4Co/Al-PILC催化剂含有更多促进还原反应的Co2+,也对应最高的NO转化率。Co2+的Co2p3/2结合能相比于标准结合能780.2 eV有偏移,说明催化剂中存在不同种类的Co,可能以CoO、Co(OH)2等形式存在,其中780 eV附近的峰归属于Co3+;781 eV附近的峰对应Co2+[29]。
|
图 4 催化剂的XPS谱图 Fig.4 XPS spectra of catalysts |
图 4(b)中,n Fe-Co/Al-PILC催化剂在782 eV附近的特征峰归属于CoO,与22.4Co/Al-PILC相比,强度变大,随着Fe-Co质量分数比n增大,782 eV处的峰强由强变弱,说明适当的Fe-Co质量分数比n可以促进Co2+的生成,加快NO的转化[30]。图 4(c)为Fe2p的XPS谱图,n Fe-Co/Al-PILC中Fe2p谱图是由Fe2p3/2和Fe2p1/2 2种特征峰及其卫星峰组成,Fe2p3/2处的特征峰是由711、713 eV分别对应的游离态Fe3+、Fe2O3引起的峰组成[31]。随着Fe-Co质量分数比n增加,游离态Fe3+(711 eV)对应的特征峰强度由强变弱,其中,0.27Fe-Co/Al-PILC具有最高的峰强,说明其表面含有最多的游离态Fe3+,因而有最佳的脱硝性能。
3.5 催化剂微观结构的N2吸附-脱附表征结果由表 2可看出,不同金属负载量的催化剂对应的比表面积、孔容、孔径存在一定的差异,Al-PILC比表面积ABET、孔容分别为86 m2·g−1、0.072 cm3·g−1,m Co/Al-PILC催化剂比表面积和孔容均增加,且随着Co负载量的增加,呈现先增加后减小的趋势。其中,22.4Co/Al-PILC具有最大的比表面积和孔容。相对于m Co/Al-PILC,负载Fe的n Fe-Co/Al-PILC催化剂比表面积和孔容均增大,可能是引入Fe后,在催化剂表面形成了Fe2O3物种,其分散在活性物种CoO周围,使催化剂在焙烧过程中抑制CoO的凝结,有利于活性CoO更好地分散于催化剂表面,增加了比表面积;同时抑制Co3O4进入孔道,促进催化剂的孔容增大[32]。随着Fe-Co质量分数比n增大,比表面积、孔容有先增大后减小的趋势,孔径增大。0.27Fe-Co/Al-PILC催化剂有最大的孔容和比表面积,可能是适当的Fe-Co质量分数比促进了Fe2O3在催化剂表面高度分散,为反应提供更多吸附点,从而提高了脱硝活性[31]。
|
|
表 2 催化剂的结构性质参数 Table 2 Morphological properties of catalysts |
图 5(a)为m Co/Al-PILC催化剂的N2吸附-脱附等温线图。从图中可看出,催化剂的物理吸附等温线属于IUPAC的IV型等温线,催化剂中存在微孔和中孔[33]。在低相对压力时,曲线微凸,是由于氮气与催化剂微孔间的强烈相互作用[34],当相对压力p/p0 > 0.4时,蒙脱土片状颗粒的堆叠形成平板狭缝结构,吸、脱附曲线间形成H3型滞后环[33]。Co系催化剂保持了柱撑黏土的层状结构,说明在负载过程中载体的孔道结构未被破坏,与XRD表征结果一致。
|
图 5 催化剂的物理吸附脱附等温线 Fig.5 Physical adsorption-desorption isotherm of various catalysts |
由图 5(b)可知,n Fe-Co/Al-PILC催化剂中依旧存在微孔和中孔,且形成H3滞后环[33]。负载Fe的n Fe-Co/Al-PILC催化剂仍保持了柱撑黏土的层状结构,说明n Fe-Co/Al-PILC催化剂仍具有孔道结构。n Fe-Co/Al-PILC催化剂较22.4Co/Al-PILC催化剂的滞后环增大。0.27Fe-Co/Al-PILC催化剂比表面积最大,从而促进了NO的转化,因此具有最佳脱硝效果[31]。
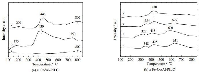
3.6 催化剂还原特性的H2-TPR表征结果由图 6(a)可知,m Co/Al-PILC谱图存在一个高温还原峰(750~800 ℃),可能是由于载体与金属之间的相互作用[12, 29]。中低温区域还原峰(150~500 ℃)在高含量Co催化剂中可见,其中,150~350 ℃处的还原峰是由于Co3O4→CoO的还原,350~500 ℃处的还原峰是CoO向钴单质的进一步还原[11]。22.4Co/Al-PILC催化剂的还原温度较低,可能与阳离子转化为低聚态CoO或金属迁移到载体孔道中更容易还原的位置上有关[35]。随着Co负载量的增加,催化剂表面形成了更多的Co3O4,导致还原温度上升[14]。
|
图 6 催化剂的H2-TPR谱图 Fig.6 H2-TPR spectra of catalysts |
图 6(b)为n Fe-Co/Al-PILC的H2-TPR谱图。n Fe-Co/Al-PILC中Co的还原峰温度向前移动,说明Fe使活性氧移动性增强,加快CoO向单质Co还原[25]。n Fe-Co/Al-PILC催化剂在300~400 ℃、600~700 ℃出现Fe的还原峰,其中300~400 ℃处的弱还原峰是由FexOy、Fe2O3、Fe3+中Fe3+→Fe2+还原引起;600~700 ℃存在一个范围较广的还原峰,对应于Fe3O4→Fe0的还原[24]。0.27Fe-Co/Al-PILC各还原峰温度最低,峰面积较大,说明该Fe-Co比例最大程度促进了还原反应,也是催化剂具有最高NO转化率的原因之一。
3.7 催化剂表面酸性的Py-FTIR表征结果如图 7(a)所示,1 450、1 491、1 545、1 608及1 636 cm−1处分别出现吸收峰,升高温度到300 ℃时(图 7(b)),1 545、1 636 cm−1处的2个吸收峰消失。Lewis酸中心与吡啶分子结合形成的PyL吸收峰出现在1 440~1 460 cm−1和1 600~1 620 cm−1;Brønsted酸中心与吡啶分子结合形成的PyH+吸收峰出现在1 535~1 550 cm−1;1 450、1 608 cm−1处属于Lewis酸吸收峰,1 488 cm−1是Brønsted酸与Lewis酸的共同吸收峰,1 545、1 636 cm−1处属于Brønsted酸吸收峰。1 450 cm−1处有较强的Lewis酸吸收峰,说明催化剂表面以Lewis酸为主,同时含有少量的Brønsted酸,其可能来自表面羟基[36]。
|
图 7 催化剂的吡啶吸附红外光谱图 Fig.7 Py-IR spectra of pyridine adsorbed catalysts |
催化剂表面的Brønsted酸和Lewis酸的质量摩尔浓度已由表 3给出,Brønsted酸(B)的质量摩尔浓度明显低于Lewis酸(L)的质量摩尔浓度。研究报道,Lewis酸为CH4生成重要中间体及NO的吸附提供活性位点,Brønsted酸和Lewis酸为催化还原提供重要保障,22.4Co/Al-PILC催化剂表面含有较多的Lewis酸,脱硝效率较高,说明Lewis酸有利于CH4-SCR反应的进行[37]。负载Fe的0.27Fe-Co/Al-PILC催化剂表明形成了最多的Lewis酸和Brønsted酸,可能是因为适当的Fe-Co质量分数比更易促使酸的形成,同时使2种活性金属的协同作用达到最强[12]。结合活性测试结果,0.27Fe-Co/Al-PILC有最高的脱硝活性,进一步证明Lewis酸是反应中的活性酸位[27]。
|
|
表 3 不同催化剂表面Lewis酸、Brønsted酸质量摩尔浓度 Table 3 Lewis and Brønsted mass molar concentration various catalysts |
以铝柱撑黏土为载体,制备了Co/Al-PILC和Fe-Co/Al-PILC催化剂,研究其CH4-SCR反应特性。φ(NO)=0.1%、φ(CH4)=0.2%、φ(O2)=2%,空速为14 000 h−1反应条件下,22.4Co/Al-PILC在600 ℃达到61.8% 的脱硝效率,但抗水、抗硫性能较差。掺杂Fe后,0.27Fe-Co/Al-PILC催化剂在600 ℃实现63.5% NO转化率,具有良好的抗水、抗硫性能。催化剂表征结果显示,Fe的引入提高了催化剂的比表面积和孔容,且促使催化剂中形成了更多的活性物种CoO,使得催化剂表面提供更多活性位。Fe的引入还增强了催化剂的还原性能,且一定程度上提高了催化剂表面的Lewis酸含量。
| [1] |
MRAD R, AISSAT A, COUSIN R, et al. Catalysts for NOx selective catalytic reduction by hydrocarbons (HC-SCR)[J]. Applied Catalysis A: General, 2015, 504(S1): 542-548. |
| [2] |
周皞, 苏亚欣, 邓文义, 等. 金属氧化物类催化剂上HC-SCR研究进展[J]. 环境科学与技术, 2016, 39(1): 94-100. ZHOU H, SU Y X, DENG W Y, et al. A Review of HC-SCR over metal oxides-based catalysts[J]. Journal of Environmental Sciences, 2016, 39(1): 94-100. |
| [3] |
TIAN F G, LI K K, SU Y X. Catalytic performance and characterization of Ce-modified Fe catalysts supported on Al2O3 for SCR-C3H8[J]. Catalysis Surveys from Asia, 2020, 24(3): 239-249. DOI:10.1007/s10563-020-09306-4 |
| [4] |
STRöM L, CARLSSON P-A, SKOGLUNDH M, et al. Hydrogen-assisted SCR of NO over alumina-supported silver and indium catalysts using C2-hydrocarbons and oxygenates[J]. Applied Catalysis B: Environmental, 2016, 181: 403-412. DOI:10.1016/j.apcatb.2015.08.009 |
| [5] |
CHAIEB T, DELANNOY L, LOUIS C, et al. On the origin of the optimum loading of Ag on Al2O3 in the C3H6-SCR of NOx[J]. Applied Catalysis B: Environmental, 2013, 142/143: 780-784. DOI:10.1016/j.apcatb.2013.06.010 |
| [6] |
YUAN M H, DENG W Y, DONG S L, et al. Montmorillonite based porous clay heterostructures modified with Fe as catalysts for selective catalytic reduction of NO with propylene[J]. Chemical Engineering Journal, 2018, 353: 839-848. DOI:10.1016/j.cej.2018.07.201 |
| [7] |
NEYLON M K, CASTAGNOLA M J, CASTAGNOLA N B, et al. Coated bifunctional catalysts for NOx SCR with C3H6 : Part Ⅰ: Water-enhanced activity[J]. Catalysis Today, 2004, 96(1/2): 53-60. |
| [8] |
MARTíN J C, SUAREZ S, YATES M, et al. Pd/γ-Al2O3 monolithic catalysts for NOx reduction with CH4 in excess of O2: Effect of precursor salt[J]. Chemical Engineering Journal, 2009, 150(1): 8-14. DOI:10.1016/j.cej.2008.11.050 |
| [9] |
MENDIOROZ S, MARTíN-ROJO A B, RIVERA F, et al. Selective catalytic reduction of NOx by methane in excess oxygen over Rh based aluminium pillared clays[J]. Applied Catalysis B: Environmental, 2006, 64(3/4): 161-170. |
| [10] |
MASUDA T, WATANABE T, MIYAHARA Y, et al. Synthesis of Ga2O3-Al2O3 Catalysts by a Coprecipitation method for CH4-SCR of NO[J]. Topics in Catalysis, 2009, 52(6/7): 699-706. |
| [11] |
LóNYI F, SOLT H E, VAYON J, et al. The SCR of NO with methane over In, H- and Co, In, H-ZSM-5 catalysts: The promotional effect of cobalt[J]. Applied Catalysis B: Environmental, 2012, 117/118: 212-223. DOI:10.1016/j.apcatb.2012.01.022 |
| [12] |
LóNYI F, SOLT H E, PáSZTI Z, et al. Mechanism of NO-SCR by methane over Co, H-ZSM-5 and Co, H-mordenite catalysts[J]. Applied Catalysis B: Environmental, 2014, 150/151: 18-229. |
| [13] |
LIM J B, SHIN J, AHN N H, et al. Selective catalytic reduction of NO with CH4 over cobalt-exchanged cage-based, small-pore zeolites with different framework structures[J]. Applied Catalysis B: Environmental, 2020, 267: 118710. DOI:10.1016/j.apcatb.2020.118710 |
| [14] |
BELLMANN A, ATIA H, BENTRUP U, et al. Mechanism of the selective reduction of NOx by methane over Co-ZSM-5[J]. Applied Catalysis B: Environmental, 2018, 230: 184-193. DOI:10.1016/j.apcatb.2018.02.051 |
| [15] |
林睿, 苏亚欣, 程江浩, 等. Fe/Ga2O3-Al2O3催化甲烷还原NO的性能[J]. 环境工程学报, 2020, 14(6): 1592-1604. LIN R, SU Y X, CHENG J H, et al. The performance of Fe/Ga2O3-Al2O3 catalytic methane to reduce NO[J]. Chinese Journal of Environmental Engineering, 2020, 14(6): 1592-1604. |
| [16] |
荆国华, 李俊华, 杨栋, 等. 分子筛类催化剂上甲烷选择性催化还原NOx研究进展[J]. 化工进展, 2009, 28(3): 504-510. JING G H, LI J H, YANG D, et al. Progress of selective catalytic reduction of NOx with methane over zeolite-based catalysts[J]. Chemical Industry and Engineering Progress, 2009, 28(3): 504-510. DOI:10.3321/j.issn:1000-6613.2009.03.028 |
| [17] |
周皞, 苏亚欣, 邓文义, 等. 负载金属分子筛类催化剂上HC-SCR研究进展[J]. 环境科学与技术, 2015, 38(10): 64-73. ZHOU H, SU Y X, DENG W Y, et al. A review of HC-SCR over metal-based zeolite catalysts[J]. Journal of Environmental Sciences, 2015, 38(10): 64-73. |
| [18] |
苏亚欣, 苏阿龙, 任立铭, 等. SO2对甲烷在金属铁表面还原NO的反应影响[J]. 燃料化学学报, 2014, 42(3): 377-384. SU Y X, SU A L, REN L M, et al. Effect of SO2 on NO reduction by methane over iron[J]. Journal of Fuel Chemistry and Technology, 2014, 42(3): 377-384. |
| [19] |
周皞, 苏亚欣, 戚越舟, 等. 水蒸气对甲烷在金属铁表面还原NO行为的影响[J]. 燃料化学学报, 2014, 42(11): 1378-1386. ZHOU H, SU Y X, QI Y Z, et al. Effect of water vapor on NO reduction by methane over iron[J]. Journal of Fuel Chemistry and Technology, 2014, 42(11): 1378-1386. DOI:10.3969/j.issn.0253-2409.2014.11.016 |
| [20] |
ZHOU H, SU Y X, LIAO W Y, et al. NO reduction by propane over monolithic cordierite-based Fe/Al2O3 catalyst: Reaction mechanism and effect of H2O and SO2[J]. Fuel, 2016, 182: 352-360. DOI:10.1016/j.fuel.2016.05.116 |
| [21] |
杨溪, 苏亚欣, 钱文燕, 等. Fe-Ag/Al2O3催化丙烯还原NO的实验研究[J]. 燃料化学学报, 2017, 45(11): 1365-1375. YANG X, SU Y X, QIAN W Y, et al. Experimental study on selective catalytic reduction of NO by C3H6 over Fe-Ag/Al2O3 catalysts[J]. Journal of Fuel Chemistry and Technology, 2017, 45(11): 1365-1375. DOI:10.3969/j.issn.0253-2409.2017.11.012 |
| [22] |
钱文燕, 苏亚欣, 杨溪, 等. Fe/Al-PILC催化C3H6选择性还原NO的实验研究[J]. 燃料化学学报, 2017, 45(12): 1499-1507. QIAN W Y, SU Y X, YANG X, et al. Experimental study on selective catalytic reduction of NO with propene over iron based catalysts supported on aluminum pillared clays[J]. Journal of Fuel Chemistry and Technology, 2017, 45(12): 1499-1507. DOI:10.3969/j.issn.0253-2409.2017.12.012 |
| [23] |
李前程, 苏亚欣, 董士林, 等. Fe-PILC在贫燃条件下催化丙烯选择性还原NOx[J]. 燃料化学学报, 2018, 46(10): 1240-1248. LI Q C, SU Y X, DONG S L, et al. Fe-PILC for selective catalytic reduction of NOx by propene under lean-burn conditions[J]. Journal of Fuel Chemistry and Technology, 2018, 46(10): 1240-1248. DOI:10.3969/j.issn.0253-2409.2018.10.012 |
| [24] |
LONG R Q, YANG R T. Selective catalytic reduction of NO with NH3 over Fe3+-exchanged mordenite (Fe-MOR): Catalytic performance, characterization, and mechanism study[J]. Journal of Catalysis, 2002, 207(2): 274-285. DOI:10.1006/jcat.2002.3521 |
| [25] |
DEVADAS M, KRCER O, ELSNER M, et al. Characterization and catalytic investigation of Fe-ZSM5 for urea-SCR[J]. Catalysis Today, 2007, 119(1/2/3/4): 137-144. |
| [26] |
LONG R Q, YANG R T. Catalytic performance of Fe-ZSM-5 catalysts for selective catalytic reduction of nitric oxide by ammonia[J]. Journal of Catalysis, 1999, 188(2): 332-339. DOI:10.1006/jcat.1999.2674 |
| [27] |
XUE T S, LI R, GAO Y S, et al. Iron mesh-supported vertically aligned Co-Fe layered double oxide as a novel monolithic catalyst for catalytic oxidation of toluene[J]. Chemical Engineering Journal, 2020, 384: 123284. DOI:10.1016/j.cej.2019.123284 |
| [28] |
SMEETS P J, MENG Q G, CORTHALS S, et al. Co–ZSM-5 catalysts in the decomposition of N2O and the SCR of NO with CH4: Influence of preparation method and cobalt loading[J]. Applied Catalysis B: Environmental, 2008, 84(3/4): 505-513. |
| [29] |
WANG X, CHEN H Y, SACHTLER W M H. Catalytic reduction of NOx by hydrocarbons over Co/ZSM-5 catalysts prepared with different methods[J]. Applied Catalysis B: Environmental, 2000, 26(4): L227-L239. DOI:10.1016/S0926-3373(00)00125-9 |
| [30] |
QI G S, YANG R T. Selective catalytic oxidation (SCO) of ammonia to nitrogen over Fe/ZSM-5 catalysts[J]. Applied Catalysis A: General, 2005, 287(1): 25-33. DOI:10.1016/j.apcata.2005.03.006 |
| [31] |
FIERRO G, MORETTI G, FERRARIS G, et al. A Mössbauer and structural investigation of Fe-ZSM-5 catalysts: Influence of Fe oxide nanoparticles size on the catalytic behavior for the NO-SCR by C3H8[J]. Applied Catalysis B: Environmental, 2011, 102(1/2): 215-223. |
| [32] |
ZHANG H Y, LI N, LI L, et al. Selective catalytic reduction of NO with CH4 Over In–Fe/sulfated zirconia catalysts[J]. Catalysis Letters, 2011, 141: 1491-1497. DOI:10.1007/s10562-011-0681-4 |
| [33] |
MOKAYA R, JONES W. Pillared clays and pillared acid-activated clays: A comparative-study of physical, acidic, and catalytic properties[J]. Journal of Catalysis, 1995, 153(1): 76-85. DOI:10.1006/jcat.1995.1109 |
| [34] |
MHAMDI M, KHADDAR-ZINE S, GHORBEL A. Influence of the cobalt salt precursors on the cobalt speciation and catalytic properties of H-ZSM-5 modified with cobalt by solid-state ion exchange reaction[J]. Applied Catalysis A: General, 2009, 357(1): 42-50. DOI:10.1016/j.apcata.2008.12.036 |
| [35] |
PIETERSE J A Z, BRINK R W V D, BOONEXELD S, et al. Influence of zeolite structure on the activity and durability of Co-Pd-zeolite catalysts in the reduction of NOx with methane[J]. Applied Catalysis B: Environmental, 2003, 46(2): 239-250. DOI:10.1016/S0926-3373(03)00213-3 |
| [36] |
PIETROWSKI M, ZIELIŃSKI M, ALWIN E, et al. Cobalt-doped magnesium fluoride as a support for platinum catalysts: The correlation of surface acidity with hydrogenation activity[J]. Journal of Catalysis, 2019, 378: 298-311. DOI:10.1016/j.jcat.2019.09.001 |
| [37] |
DORADO F, LUCAS A D, GARCIA P B, et al. Preparation of Cu-ion-exchanged Fe-PILCs for the SCR of NO by propene[J]. Applied Catalysis B: Environmental, 2006, 65(3/4): 175-184. |


