硫酸镁是一种重要的无机化工产品,广泛应用于医药、轻工、食品、印染、化学和农业等领域,其产量的90%是作为镁肥使用[1-2]。如今制取肥料级硫酸镁的方法有硫酸法[3]、盐湖苦卤法、苦卤复晒法、震荡转化法等[4]。其中,盐湖苦卤法与其他方法相比,具有工艺简单,成本较低,对环境友好等优点[5]。中国青海柴达木盆地以其丰富的氯化钾和氯化镁著称,然而在利用盐湖氯化钾资源生产硫酸钾产品过程中,大量氯化镁资源没有得到有效利用。柴达木地区拥有风大,干旱,雨量少,蒸发量大的有利气候条件[6]。为了经济地开发盐湖的矿产资源,充分利用当地自然资源,介稳相平衡对于预测盐湖实际蒸发路径变得至关重要。所以,针对Mg2+,NH4+//Cl-,SO42--H2O稳定相图指导氯化镁与硫酸铵反应制备无氯钾肥时,存在母液蒸发能耗大,成本高,生产工艺复杂等的问题,作者提出直接利用盐湖资源中氯化镁与硫酸铵转化反应生产硫酸镁铵复合肥的新思路。目前文献已经报道了0、25和60 ℃时Mg2+,NH4+//Cl-,SO42--H2O的稳定相平衡数据[7-8],但是该水盐体系的介稳相平衡研究还未见报道。鉴于此,本文对25 ℃时Mg2+,NH4+//Cl-,SO42--H2O四元体系介稳相平衡及其应用进行了研究。
2 实验 2.1 实验试剂实验所用的(NH4)2SO4,MgCl2·6H2O、MgSO4·7H2O、NH4Cl及分析所用试剂均为分析纯试剂,纯度均≥ 99%,详细的药品信息见表 1。实验中用水均为二次蒸馏水,电导率小于5 μS·cm-1。
|
|
表 1 所用药品厂家及纯度 Table 1 Chemicals used in the study |
本实验采用等温蒸发法[9]。根据盐在25 ℃下水溶液中的溶解度和三元子体系的共饱点组成,计算出所需盐和去离子水的含量,并将其混入洁净干燥的聚乙烯容器(长18 cm,宽15 cm,高7 cm)中。在盐完全溶解后,容器被放置在恒温蒸发箱中进行等温蒸发实验。实验条件为相对湿度30%~40%、温度(25±0.1) ℃。当有足够固相出现时,用钥匙从溶液中取出湿渣混合物。为了进一步识别析出的固相,需在自然条件下晾干并研磨成粉末,然后通过X射线衍射分析(XRD)来确定固相的晶体形态和共饱点。同时,通过吸液管从液相中取出约5 mL溶液,称量并定容至250 mL的容量瓶中,用于对液相的化学分析。剩下的溶液被继续蒸发,并达到一个新的介稳平衡点。重复上述同样的过程,直到溶液完全蒸发。
2.3 分析方法EDTA络合滴定法[10]测定Mg2+的含量;甲醛滴定法测定NH4+的浓度[11];硫酸钡重量法[12-13]测定SO42-的浓度;硝酸银滴定法[14]测定Cl-的含量。固相鉴定采用湿渣法测定各离子含量并结合XRD确定共饱点。
3 结果与讨论 3.1 25 ℃时(NH4)2SO4-MgSO4-H2O体系的介稳相图表 2为25 ℃等温蒸发过程中获得的(NH4)2SO4-MgSO4-H2O三元体系介稳相平衡数据,依据表 2数据绘制的介稳相图见图 1。
|
|
表 2 25 ℃时(NH4)2SO4-MgSO4-H2O三元体系介稳相平衡数据 Table 2 Metastable phase equilibrium data of the (NH4)2SO4-MgSO4-H2O ternary system at 25 ℃ |
|
图 1 25 ℃时(NH4)2SO4-MgSO4-H2O三元体系介稳相图 Fig.1 Metastable phase diagram of the (NH4)2SO4-MgSO4-H2O system at 25 ℃ |
参考张菁等[15]对四元体系0 ℃时Na2SO4-MgSO4-(NH4)2SO4-H2O的相平衡研究可知25 ℃时MgSO4和(NH4)2SO4可以形成新的复盐MgSO4·(NH4)2SO4·6H2O。图 2为MgSO4·(NH4)2SO4·6H2O的XRD谱图。
|
图 2 MgSO4·(NH4)2SO4·6H2O的XRD谱图 Fig.2 XRD pattern of the solid MgSO4·(NH4)2SO4·6H2O |
由图 1可知,25 ℃时MgSO4-(NH4)2SO4-H2O三元体系存在2个共饱点、5个结晶区。点M为MgSO4·7H2O和MgSO4·(NH4)2SO4·6H2O的共饱点,点N为(NH4)2SO4和MgSO4·(NH4)2SO4·6H2O的共饱点。结晶区分别为:MgSO4·7H2O结晶区EMCE,MgSO4·7H2O和MgSO4·(NH4)2SO4·6H2O共结晶区EFME,MgSO4·(NH4)2SO4·6H2O结晶区MNFM,(NH4)2SO4和MgSO4·(NH4)2SO4·6H2O共结晶区ANFA,(NH4)2SO4结晶区ADNA。
3.2 25 ℃时MgCl2-MgSO4-H2O体系的介稳相图表 3为25 ℃等温蒸发过程中获得的MgCl2-MgSO4-H2O三元体系介稳相平衡数据,依据表 3数据绘制的介稳相图见图 3。图 4为依据稳定相平衡数据[16]绘制的该体系稳定相图。
|
|
表 3 25 ℃时MgCl2-MgSO4-H2O三元体系介稳相平衡数据 Table 3 Metastable phase equilibrium data of the MgCl2-MgSO4-H2O ternary system at 25 ℃ |
|
图 3 25 ℃时三元体系MgCl2-MgSO4-H2O的介稳相平衡相图 Fig.3 Metastable phase diagram of the MgCl2-MgSO4-H2O system at 25 ℃ |
|
图 4 25 ℃时三元体系MgCl2-MgSO4-H2O的稳定相平衡相图 Fig.4 Stable phase diagram of the MgCl2-MgSO4-H2O system at 25 ℃ |
由图 3可知,25 ℃时MgCl2-MgSO4-H2O三元体系存在3个共饱点,7个结晶区。点L为MgSO4·7H2O和MgSO4·6H2O的共饱点,点H为MgSO4·6H2O和MgSO4·5H2O的共饱点,点G为MgSO4·5H2O和MgCl2·6H2O的共饱点。ILDI为MgSO4·7H2O结晶区,JHLJ为MgSO4·6H2O结晶区,JLIJ为MgSO4·7H2O和MgSO4·6H2O共结晶区,KHGK为MgSO4·5H2O结晶区,KHJK为MgSO4·6H2O和MgSO4·5H2O共结晶区,KGFK为MgSO4·5H2O和MgCl2·6H2O共结晶区,FGEF为MgCl2·6H2O结晶区。
由图 3和4对比25 ℃下三元体系MgCl2-MgSO4-H2O的稳定和介稳相图可知:介稳相图较稳定相图少1个共饱点,在介稳条件下,MgSO4·4H2O相区消失;在介稳相图中MgSO4·7H2O的相区明显变小,MgSO4·7H2O和MgSO4·6H2O的共结晶区明显变大。
图 5为该三元体系共饱点对应的平衡固相的XRD谱图。由谱图可知共饱点G对应的平衡固相为MgSO4·5H2O和MgCl2·6H2O,共饱点H对应的平衡固相为MgSO4·6H2O和MgSO4·5H2O,共饱点L对应的平衡固相为MgSO4·7H2O和MgSO4·6H2O。
|
图 5 共饱点对应的平衡固相的XRD谱图 Fig.5 XRD patterns of the equilibrium solid phase of the MgCl2-MgSO4-H2O ternary system a. MgSO4·7H2O e. MgSO4·6H2O h. MgSO4·5H2O b. MgCl2·6H2O |
表 4为25 ℃等温蒸发过程中获得的Mg2+,NH4+//Cl-,SO42--H2O四元体系介稳相平衡数据,依据表 4数据绘制的介稳相图见图 6。
|
|
表 4 25 ℃时Mg2+, NH4+//Cl-, SO42--H2O四元体系介稳相平衡数据 Table 4 Metastable phase equilibrium data of the Mg2+, NH4+//Cl-, SO42--H2O quaternary system at 25 ℃ |
|
图 6 25 ℃ Mg2+, NH4+// Cl-, SO42- - H2O四元体系介稳相图 Fig.6 Dry salt metastable phase diagram of the Mg2+, NH4+//Cl-, SO42- - H2O quaternary system at 25 ℃ |
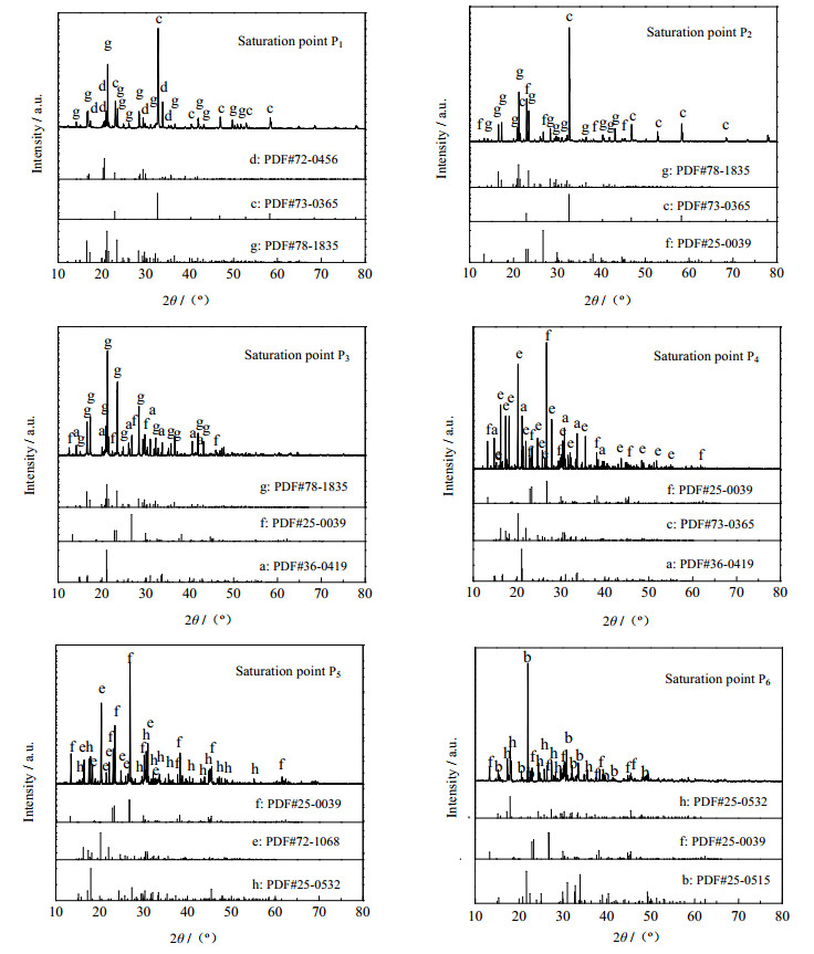
由图 6可知,25 ℃时Mg2+,NH4+//Cl-,SO42--H2O四元体系存在6个共饱点和8个结晶区。结合图 7平衡固相对应的XRD谱图,由图可知,点P1为NH4Cl、(NH4)2SO4和MgSO4·(NH4)2SO4·6H2O的共饱点,点P2为MgCl2·NH4Cl·6H2O、MgSO4·(NH4)2SO4·6H2O和NH4Cl的共饱点,点P3为MgSO4·7H2O、MgCl2·NH4Cl·6H2O和MgSO4·(NH4)2SO4·6H2O的共饱点,点P4为MgSO4·6H2O、MgCl2·NH4Cl·6H2O和MgSO4·7H2O的共饱点,点P5为MgSO4·6H2O、MgCl2·NH4Cl·6H2O和MgSO4·5H2O的共饱点,点P6为MgCl2·6H2O、MgCl2·NH4Cl·6H2O和MgSO4·5H2O的共饱点,结晶区分别为:(NH4)2SO4结晶区AKP1JA,MgSO4·(NH4)2SO4·6H2O结晶区KP1P2P3LK,NH4Cl结晶区JP1P2IBJ,MgCl2·NH4Cl·6H2O结晶区P2P3P4P5P6HIP2,MgSO4·7H2O结晶区LDEP4P3L,MgSO4·6H2O结晶区EFP5P4E,MgSO4·5H2O结晶区FGP6P5F,MgCl2·6H2O结晶区CGP6HC。
|
图 7 共饱点对应的平衡固相的XRD谱图 Fig.7 XRD patterns of the equilibrium solid phase of the Mg2+, NH4+//Cl-, SO42--H2O quaternary system a. MgSO4·7H2O b. MgCl2·6H2O c. NH4Cl d. (NH4)2SO4 e. MgSO4·6H2O f. MgCl2·NH4Cl·6H2O g. MgSO4·(NH4)2SO4·6H2O h. MgSO4·5H2O |
对比25 ℃下Mg2+,NH4+//Cl-,SO42--H2O四元体系的稳定[17]和介稳相图(见图 8)可知:介稳相图较稳定相图少1个共饱点,在介稳条件下,MgSO4·4H2O相区消失;在介稳相图中,NH4Cl相区变小,MgSO4·(NH4)2SO4·6H2O和MgSO4·7H2O的相区明显变小,MgSO4·6H2O和MgSO4·5H2O的相区明显变大。
|
图 8 25 ℃时Mg2+, NH4+//Cl-, SO42--H2O四元体系介稳和稳定相图 Fig.8 Comparison of the metastable and stable phase diagrams of the Mg2+, NH4+//Cl-, SO42--H2O quaternary system at 25 ℃ |
目前,计算多组分水盐体系相平衡溶解度数据多采用Pitzer电解质溶液理论[18-19]。本文以Pitzer电解质溶液热力学模型理论为基础,对Mg2+,NH4+//Cl-,SO42--H2O四元体系及其子体系进行了溶解度的计算。
设一个溶液中含有nw kg的水和ni、nj mol的i、j溶质离子,则此体系中总的超额Gibbs自由能的表达式[20]:
| $ \begin{array}{l} {G^{\rm E}}/RT = {({{{G^{\rm E}}} / {RT}})_{ii}} + {({{{G^{\rm E}}} / {RT}})_{{\rm A}i}} + {({{{G^{\rm E}}} / {RT}})_{{\rm AA}}}\\ \begin{array}{*{20}{c}} {}&{}&{} \end{array} = {n_{w}}f(i) + \sum \sum {{{\lambda _{ij}}{n_i}{n_j}} / {{n_{\rm w}}}} + \sum \sum \sum {{\mu {n_i}{n_j}{n_{\rm k}}} / {n_{\rm w}^2}} + \theta {n_{\rm A}}{n_i}\\ \begin{array}{*{20}{c}} {}&{}&{} \end{array} + \sum \sum {{\psi {n_{\rm A}}{n_i}{n_j}} / {n_{\rm w}^2}} + {\lambda _{{\rm AA}}}n_{\rm A}^2 + {\mu _{{\rm AAA}}}{{n_{\rm A}^3} / {n_{\rm w}^2}} \end{array} $ | (1) |
将式(1)分别对ni、nA求偏导数,可得到电解质平均活度系数γMX的通式:
| $\begin{array}{l} \ln {\gamma _{{\rm{M}}X}} = \frac{1}{2}\left| {{z_{\rm{M}}}{z_{\rm{X}}}} \right|f'\left( I \right) + \left( {\frac{{2{\nu _{\rm{M}}}}}{\nu }} \right)\sum\limits_a {{m_a}} \left[ {{B_{{\rm{M}}a}} + \left( {\sum {mz} } \right){C_{{\rm{M}}a}} + \left( {\frac{{{\nu _{\rm{X}}}}}{{{\nu _{\rm{M}}}}}} \right){\theta _{{\rm{X}}a}}(I)} \right]\;\\ \begin{array}{*{20}{c}} {}&{}&{} \end{array} + \left( {\frac{{2{\nu _X}}}{\nu }} \right)\sum\limits_c {{m_c}} \left[ {{B_{cX}} + \left( {\sum {mz} } \right){C_{cX}} + \left( {\frac{{{\nu _{\rm{M}}}}}{{{\nu _{\rm{X}}}}}} \right){\theta _{{\rm{M}}c}}(I)} \right] {\rm{ }}\\ \begin{array}{*{20}{c}} {}&{}&{} \end{array} + \sum\limits_c {\sum\limits_a {{m_c}{m_a}\left[ {\left| {{z_{\rm{M}}}{z_{\rm{X}}}} \right|{{B'}_{ca}} + \frac{1}{\nu }\left( {2{\nu _{\rm{M}}}{z_{\rm{M}}}{C_{ca}} + {\nu _{\rm{M}}}{\psi _{{\rm{M}}ca}} + {\nu _X}{\psi _{ca{\rm{X}}}}} \right)} \right]} } \\ \;\;\;\;\;\;\;\;\;\;\;\begin{array}{*{20}{c}} {}&{}&{} \end{array} + \frac{1}{2}\sum\limits_c {\sum\limits_{c'} {{m_c}{m_{c'}}\left[ {\left( {\frac{{{\nu _X}}}{\nu }} \right){\psi _{cc'{\rm{X}}}} + \left| {{z_{\rm{M}}}{z_{\rm{X}}}} \right|{{\theta '}_{cc'}}(I)} \right]} } + \frac{1}{2}\sum\limits_a {\sum\limits_{a'} {{m_a}{m_{a'}}\left[ {\left( {\frac{{{\nu _{\rm{M}}}}}{\nu }} \right){\psi _{{\rm{M}}aa'}} + \left| {{z_{\rm{M}}}{z_{\rm{X}}}} \right|{\theta _{aa'}}(I)} \right]} } \end{array}$ | (2) |
水的活度aw由渗透系数$\varphi $求得
| $ \ln {\alpha _{\rm w}} = - \frac{{\sum\limits_i {{m_i}} }}{{55.51}}\varphi $ | (3) |
| $\varphi - 1 = \frac{1}{{\sum\limits_i {{m_i}} }}\left[ {If'(I) - f(I) + 2\sum\limits_c {\sum\limits_a {{m_c}{m_a}} } \left[ {{B_{ca}} + I{{B'}_{ca}} + 2(\sum {mz} ){C_{ca}}} \right]} \right]$ | (4) |
由式(1)~(4)可知,如若两、三离子作用参数$\theta $、$\psi $已知,便可求的各个电解质的活度系数和水的活度。文献中[21]已给出25 ℃各电解质Pitzer参数数值(见表 5)。
|
|
表 5 (NH4)2SO4 MgSO4 NH4Cl MgCl2 Pitzer参数 Table 5 Pitzer parameters of (NH4)2SO4, MgSO4, NH4Cl and MgCl2 |
根据实验所测得的Mg2+,NH4+//Cl-,SO42--H2O四元体系及(NH4)2SO4-MgSO4- H2O,MgCl2-MgSO4-H2O三元子体系的介稳相平衡数据,依据同一温度时相同平衡固相的活度相等的原理,可关联出离子相互作用参数。计算结果见表 6。
|
|
表 6 Pitzer离子相互作用参数 Table 6 Pitzer interaction parameters |
根据回归得到的离子相互作用参数(表 6)和公式(1)-(4),可以计算出Mg2+,NH4+//Cl-,SO42--H2O四元体系及(NH4)2SO4-MgSO4-H2O,MgCl2- MgSO4-H2O三元子体系的介稳溶解度数据。结果见表 7~9。表 7~9数据表明,基本上溶解度的计算值与实验值是一致的,说明以Pitzer计算模型来预测该体系的溶解度数据是可行的[22]。
|
|
表 7 25 ℃ MgCl2-MgSO4-H2O体系的溶解度实验值和计算值 Table 7 Calculated and experimental solubility values of the MgCl2-MgSO4-H2O system at 25 ℃ |
|
|
表 8 25 ℃ (NH4)2SO4-MgSO4-H2O体系的溶解度实验值和计算值 Table 8 Calculated and experimental solubility values of the (NH4)2SO4-MgSO4-H2O system at 25 ℃ |
|
|
表 9 25 ℃ Mg2+, NH4+//Cl-, SO42--H2O体系的溶解度实验值和计算值 Table 9 Calculated and experimental solubility values of the Mg2+, NH4+//Cl-, SO42- - H2O system at 25 ℃ |
将25 ℃时Mg2+,NH4+//Cl-,SO42--H2O体系介稳相图和稳定相图绘制在同一个图,如图 8所示。
由图 8可以看出,无论是在介稳或者稳定条件下,MgSO4·(NH4)2SO4·6H2O都有很大的结晶区,并且两种条件下NH4Cl的结晶区有明显的差异,这都有利于以MgCl2、(NH4)2SO4为原料生产氮镁复肥的工艺路线的设计。因此,本文设计了以MgCl2、(NH4)2SO4为原料生产氮镁复肥的循环工艺路线。
MgSO4·(NH4)2SO4·6H2O组成点在25 ℃四元体系干盐图上(图 8)为MN。当向MgCl2中加入一定量的水和(NH4)2SO4后,体系的干盐组成点就落在AC线上,且随着(NH4)2SO4加入量增大,体系点沿着CA由C向A移动。根据杠杆规则,当混合体系组成点为M时,析出固相后液相组成点为接近稳定体系MgSO4·(NH4)2SO4·6H2O与NH4Cl共饱线上的a点时,在25 ℃搅拌状态下进行等温溶解,析出的为MgSO4·(NH4)2SO4·6H2O固相。按照相图所标注的体系点M位置,经过稳定相平衡实验可测得剩余母液a的组成。
从体系M中分离出MgSO4·(NH4)2SO4·6H2O固相后,剩余溶液组成点a落在了介稳相图的NH4Cl的结晶区内,继续在25 ℃静态不搅拌条件下等温蒸发,则会有NH4Cl固相析出,a体系蒸发过程中液固相组成按介稳相图的规律变化。当液相点组成变化到接近介稳相图的MgSO4·(NH4)2SO4·6H2O与NH4Cl共饱线上b点时,停止等温蒸发,对应析出的NH4Cl被分离出去,剩余液相b为饱和溶液。当加入一定量的MgCl2和H2O搅拌溶解后体系点为N,N点落在稳定相图MgSO4·(NH4)2SO4·6H2O的结晶区里和MN a线上,在25 ℃搅拌状态下进行等温溶解,析出的为MgSO4·(NH4)2SO4·6H2O固相,剩余饱和溶液组成点为a。
4 结论(1) 测定了25 ℃时Mg2+,NH4+//Cl-,SO42--H2O四元体系及(NH4)2SO4-MgSO4-H2O、MgCl2-MgSO4-H2O三元子体系的介稳相平衡数据,绘制了介稳相图,并将稳定和介稳相图进行了比较分析。由相图可知,25 ℃时(NH4)2SO4-MgSO4-H2O体系存在2个共饱点,5个结晶区;MgCl2-MgSO4-H2O体系存在3个共饱点,7个结晶区;Mg2+,NH4+//Cl-,SO42--H2O体系存在6个共饱点和8个结晶区,结晶区分别为:(NH4)2SO4结晶区,MgSO4·(NH4)2SO4·6H2O结晶区,NH4Cl结晶区,MgCl2·NH4Cl·6H2O结晶区,MgSO4·7H2O结晶区,MgSO4·6H2O结晶区,MgSO4·5H2O结晶区,MgCl2·6H2O结晶区。
(2) 利用Pitzer模型对Mg2+,NH4+//Cl-,SO42--H2O四元体系及(NH4)2SO4-MgSO4-H2O、MgCl2-MgSO4-H2O三元子体系的介稳相平衡数据进行了理论计算。结果表明,计算值与实验值相吻合。
通过对25 ℃下Mg2+,NH4+//Cl-,SO42--H2O四元体系介稳和稳定相图的比较分析,确定了在25 ℃下以MgCl2和(NH4)2SO4为原料,通过蒸发结晶过程生产硫酸镁铵复肥的工艺路线。
符号说明:
|
|
| [1] |
李长龙, 杨云洪, 纪晓春.国内硫酸镁新技术、新产品、新应用[C]// 2015年中国无机盐工业协会镁化合物分会年会论文集. 2015: 58-65. LI C L, YANG Y H, JI X C. New technologies, new products and new applications of magnesium sulfate in China[C]// proceedings of magnesium compounds branch of china association of inorganic salt industry. 2015: 58-65. |
| [2] |
丁红霞, 贺春宝. 高纯硫酸镁的生产方法及其应用[J]. 图书情报导刊, 2007, 17(30): 287-288. DING H X, HE C B. Production method and application of high purity magnesium sulfate[J]. ci-Tech Information Development & Ec, 2007, 17(30): 287-288. DOI:10.3969/j.issn.1005-6033.2007.30.165 |
| [3] |
天津化工研究院, 等. 无机工业手册(下)[M]. 北京: 化学工业出版社, 1996. Tianjin Chemical Research Institute, et al. Inorganic industry manual[M]. Beijing: Chemical Industry Press, 1996. |
| [4] |
程芳琴, 董川. 硫酸镁的生产方法及发展前景[J]. 盐湖研究, 2006, 14(2): 62-66. CHENG F Q, DONG C. Production method and development prospect of magnesium sulfate[J]. Journal of Salt Lake Research, 2006, 14(2): 62-66. DOI:10.3969/j.issn.1008-858X.2006.02.012 |
| [5] |
王玉萍, 贺春宝, 郭向东. 盐湖苦卤直接制取精制硫酸镁的研究[J]. 无机盐工业, 2004, 36(3): 35-37. WANG Y P, HE C B, GUO X D. Study on the direct production of refined magnesium sulfate from salt lake bittern[J]. Inorganic Chemicals Industry, 2004, 36(3): 35-37. DOI:10.3969/j.issn.1006-4990.2004.03.013 |
| [6] |
LIU Z, ZHOU P, ZHANG F, et al. Spatiotemporal characteristics of dryness/wetness conditions across Qinghai Province, Northwest China[J]. Agricultural and Forest Meteorology, 2013, 182/183: 101-108. DOI:10.1016/j.agrformet.2013.05.013 |
| [7] |
DOU S Y, ZHAO B, CAO J L, et al. Phase diagrams of the quaternary Mg2+, NH4+//Cl-, SO42--H2O system at 0 ℃ and their application[J]. Fluid Phase Equilibria, 2016, 409: 264-270. DOI:10.1016/j.fluid.2015.09.055 |
| [8] |
DOU S Y, ZHAO B, CAO J L, et al. Phase diagrams of the quaternary Mg2+, NH4+//Cl-, SO42--H2O system at 25 ℃ and their application[J]. Fluid Phase Equilibria, 2015, 385: 54-61. DOI:10.1016/j.fluid.2014.10.040 |
| [9] |
LI L, GAO D L, ZENG J P, et al. Stable and metastable phase equilibria of the lithium-containing salt-water systems[J]. Advanced Materials Research, 2014, 1015: 401-404. DOI:10.4028/www.scientific.net/AMR.1015.401 |
| [10] |
弓创周, 王水赞, 丁灵, 等. 工业硫酸镁标准中主含量测定方法的改进[J]. 无机盐工业, 2009, 41(12): 61-62. GONG C Z, WANG S Z, DING L, et al. Improvement of main content determination method in Industrial magnesium sulfate standard[J]. Inorganic Chemicals Industry, 2009, 41(12): 61-62. DOI:10.3969/j.issn.1006-4990.2009.12.020 |
| [11] |
浙江大学化学系, 等. 分析化学实验[M]. 北京: 高等教育出版社, 2003. Department of Chemistry, Zhejiang University, et al. Analytical Chemistry Experiment[M]. Beijing: Higher Education Press, 2003. |
| [12] |
LI J T, CUI Q, LI F M. Comparison of determination method of sulfate radical in glauber salt production[J]. China Chlor- Alkali, 2008(7): 33-35. |
| [13] |
CHEN H, WANG X H. Brief discussion on the determination of sulfate radicals with gravimetric method and volumetric method[J]. Journal of China Well & Rock Salt, 2005, 36(4): 41-42. |
| [14] |
潘祖亭, 等. 分析化学实验[M]. 第4版. 北京: 高等教育出版社, 2001: 215-217. PAN Z T, et al. Wuhan University, analytical chemistry experiment[M]. 4th ed, Beijing: Higher Education Press, 2001: 215-217. |
| [15] |
ZHANG J, GUO H F, CAO J L, et al. Phase equilibrium of the quaternary system Na2SO4-MgSO4-(NH4)2SO4-H2O at 0 ℃[J]. Journal of Chemical and Engineering Data, 2013, 58(9): 2622-2628. DOI:10.1021/je400509p |
| [16] |
STEPHEN H, STEPHEN T. Solubilities of inorganic and organic compounds[M]. Oxford: Pergamon Press, 1963.
|
| [17] |
豆帅勇. Mg2+, NH4+/Cl-, SO42--H2O与NaCl-MgCl2-NH4Cl-H2O体系相平衡的研究[D].天津: 河北工业大学, 2015. DOU S Y. Phase Equilibrium of the Mg2+, NH4+/Cl-, SO42--H2O system and NaCl-MgCl2-NH4Cl-H2O system[D]. Tianjin: Hebei University of Technology, 2015. http://www.cnki.com.cn/Article/CJFDTotal-HXXB199102003.htm |
| [18] |
PITZER K S. Thermodynamics of electrolytes I Theoretical basis and general equations[J]. Journal of Physical Chemistry C, 1973, 77(2): 268-277. DOI:10.1021/j100621a026 |
| [19] |
PITZER K S, KIM J J. Thermodynamics of electrolytes IV activity and osmotic coefficients for mixed electrolytes[J]. Journal of American Chemistry Society, 1974, 96(18): 5701-5707. DOI:10.1021/ja00825a004 |
| [20] |
高长虹, 侯丽红, 曹吉林. 15 ℃和25 ℃时NaCl-NaCO3-H2O2-H2O体系相平衡计算[J]. 河北工业大学学报, 2010, 39(4): 46-50. GAO C H, HOU L H, CAO J L. Phase equilibrium calculation of NaCl-NaCO3-H2O system at 15 ℃ and 25 ℃[J]. Journal of Hebei University of Technology, 2010, 39(4): 46-50. |
| [21] |
李以圭. 金属溶剂萃取热力学[M]. 北京: 清华大学出版社, 1988. LI Y G. Metallic solvent extraction thermodynamic[M]. Beijing: Tsinghua University Press, 1988. |
| [22] |
房春晖. Na+, K+∥Cl–, SO42–, CO32–-H2O五元体系25 ℃介稳相图的理论计算[J]. 盐湖研究, 1993, 1(2): 16-22. FANG C H. Theoretical calculation on the metastable phase diagrams of Na+, K+∥Cl–, SO42–, CO32–H2O systems at 25 ℃[J]. Journal of Salt Lake Research, 1993, 1(2): 16-22. |


