2. 浙江大学 化学工程与生物工程学院,浙江 杭州 310027
2. College of Chemical and Biological Engineering, Zhejiang University, Hangzhou 310027, China
在密闭空间形成高于外界大气压的空气环境,即超压环境,能够有效阻止外部污染源向内部入侵,是保障军事、人防等防护工程安全的重要手段。超压防护相关设计原理和控制研究已多有报道。例如,施晓波等[1]介绍了防护区超压控制设计原理,为多区或全船式防护系统的超压设计提供参考。刘秀峰等[2]通过分析水面舰艇集体防护区超压建立过程,对高压区、中压区、低压区之间流通面积进行调节,提升了超压建立过程效率。郭前等[3]通过分析计算防毒通道超压值和超压漏风量的取值,提出了不同超压下隔绝防护时间内清洁区所需空气量的计算方法。包剑等[4]利用数值模拟对目前国内舰艇使用的一种超压控制阀的性能进行分析,从而确定其流量特性。可见,数学分析有助于厘清各种因素对超压过程的影响,为防护工程的超压设计和系统调试提供理论依据。
在超压系统中,其防护效果主要受工程漏风系数、容积等因素影响。特别是,一旦密闭门的橡胶密封垫磨损或老化,会加剧内部空气泄漏,降低内部超压水平,弱化工程防护效果,增加外部污染源入侵风险。现行的防护工程设计原则中,漏风系数通常被视为常数[5],导致内部超压的设计值与实际值存在较大差异,在长期运行中,既增加了工程能耗,也不利于超压环境调控。在作者的前期研究中[6-7],漏风系数在0~150 Pa被看作常数,并依此建立了密闭空间超压过程在理想状态下的数学模型(简称“理想模型”)。然而,工程测试实验表明[8],漏风系数受超压值影响,导致“理想模型”对工程设计的指导非常有限;另外,“理想模型”仅适用于超压值在0~150 Pa的情况,当实际漏风量较小或设计滤毒风量余量较大时,工程内将出现较高超压值(大于150 Pa),理想超压过程数学模型适用性尚不确定。为此,本文针对上述问题,分析了漏风系数的影响因素,建立基于非定常漏风系数的密闭空间超压过程数学模型,讨论分析漏风系数对超压过程的影响。
2 物理模型与理论基础 2.1 物理模型根据防护工程的实际状况,建立如图 1所示的密闭空间超压过程物理模型。内部清洁区体积为V,m3;压强为p0+Δp;外部压强为大气压p0;进风量为Qin,漏风量为Qleak。为简化分析过程,对超压过程进行如下假设:1)内部清洁区与外部染毒区的温度相等且保持恒定;2)气体扩散对超压过程的影响可忽略。
|
图 1 防护工程的密闭空间超压过程物理模型 Fig.1 Model of overpressure process in confined space of protective engineering |
防护工程的漏风现象主要发生在防毒通道与内部清洁区的边界区域。密闭门门框与橡胶密封垫之间漏风部位的漏风量与其风速和面积相关。随工程内超压值增加,密封垫因弹性会发生细微形变,从而影响漏风部位面积和最终漏风量。漏风部位可视为平板间隙,假设密封垫长度为L,厚度为D,宽度为W,无超压时间隙为h,见图 2。当外部气压为p0,内部压强为(p0+Δp)时,间隙内平均超压值为
|
图 2 密封垫在超压下的形变示意图 Fig.2 Schematic diagram of gasket deformation under overpressure |
| $\overline {\Delta p} = \frac{1}{2}\Delta p$ | (1) |
密封垫因间隙面受力而发生压缩(图 2(A)),导致间隙变大,假设形变为dh1,弹性模量为E,可知
| $\overline {\Delta p} \cdot W \cdot L = E \cdot \frac{{{\rm{d}}{h_1}}}{D} \cdot W \cdot L$ | (2) |
密封垫在侧向压力作用下,沿与之垂直方向产生膨胀变形dh2(图 2(B)),假设泊松比为ν,可知
| ${\rm{d}}{h_2} = - \nu \cdot {\rm{d}}{h_1}$ | (3) |
因此,超压值为Δp时,密封垫的总形变dh为
| ${\rm{d}}h = {\rm{d}}{h_1} + {\rm{d}}{h_2} = (1 - \nu ) \cdot \frac{{\Delta p}}{{2E}} \cdot D$ | (4) |
平板间隙流体的平均速度u为[9]
| $u = \frac{{{H^2}}}{{16\mu W}}\Delta p$ | (5) |
式中:μ为空气黏度,Pa·s;H为间隙长度。因此,使用密封垫作为密闭措施时,漏风量与超压值的函数关系表达为
| ${Q_{\rm{leak}}} = uL(h + {\rm{d}}h) = \frac{{{{(h + {\rm{d}}h)}^2}}}{{16\mu W}}\Delta p \cdot L \cdot (h + {\rm{d}}h)$ | (6) |
因为dh很小,可忽略其二次方项和三次方项,上式可简化为
| ${Q_{\rm{leak}}} = ({h^3} + 3{h^2}{\rm{d}}h) \cdot \frac{L}{{16\mu W}} \cdot \Delta p$ | (7) |
将式(4)代入(7),简化得
| ${Q_{\rm{leak}}} = \frac{{{h^3}L}}{{16\mu W}} \cdot \Delta p + \frac{{3(1 - \nu )D{h^2}L}}{{32\mu EW}} \cdot \Delta {p^{\rm{2}}}$ | (8) |
整个密闭空间的漏风量与内部容积、超压值呈正比[10],即
| ${Q_{\rm{leak}}} = k \cdot V \cdot \Delta p$ | (9) |
式中:k为漏风系数,Pa-1·h-1,其值与漏风部位的数量、大小、形状与分布等综合因素有关。将式(8)代入(9)得
| $k = A \cdot \Delta p + B$ | (10) |
其中:$ A=\frac{3(1-\nu)D{h}^{2}L}{32\mu EVW},B=\frac{{h}^{3}\cdot L}{16\mu VW}$。
当A = 0时,k = B,漏风系数为常数。当A ≠ 0时,漏风系数是超压值的一次函数,A的物理意义是漏风系数随超压值的变化速率;当Δp = 0时,k0 = B,因此B的物理意义是初始漏风系数。
2.2.3 漏风率漏风率m为单位时间内漏风量与总容积之比,即
| $m = \frac{{{Q_{\rm{leak}}}}}{V} = A \cdot \Delta {p^2} + B \cdot \Delta p$ | (11) |
式中:漏风率m的单位为h-1。同时,可认为漏风率是超压值的二次函数。
3 超压过程数学模型优化 3.1 数学模型优化设进风风机启动时,t = 0;到t时刻,清洁区超压值为Δp,求解过程如下:
在超压形成过程中,净风量ΔQt为
| $\Delta {Q_t} = {Q_{{\rm{in}}}} - {Q_{{\rm{leak}}}}$ | (12) |
在t~(t+dt)时间段内,由于新增空气体积而引起的超压值增加量d(Δp)为
| ${\rm{d}}(\Delta p) = \frac{{\Delta {Q_t} \cdot {\rm{d}}t}}{V} \cdot {p_0}$ | (13) |
将式(9)、(10)和(12)代入(13),分离变量并积分
| $ - \int_0^{\Delta p} {\frac{{{\rm{d}}(\Delta p)}}{{A \cdot \Delta {p^2} + B \cdot \Delta p - {Q_{{\rm{in}}}}/V}} = } \int_0^t {{p_{\rm{0}}} \cdot {\rm{d}}t} $ | (14) |
(1) 当A = 0时,漏风系数恒为B,式(14)变换形式得
| $t = \frac{1}{{B \cdot {p_{\rm{0}}}}}{\ln _{}}(\frac{{{Q_{{\rm{in}}}}}}{{{Q_{{\rm{in}}}} - B \cdot V \cdot \Delta p}})$ | (15) |
式(15)为恒定漏风系数对应的密闭空间超压过程数学模型[6],即“理想模型”。
(2) 当A ≠ 0时,设Qin/V = C,式(14)变形得
| $ - \frac{1}{A} \cdot \int_0^{\Delta p} {\frac{{{\rm{d}}(\Delta p)}}{{{{(\Delta p + \frac{B}{{2A}})}^2} - (\frac{C}{A} + \frac{{{B^2}}}{{4{A^2}}})}} = } \int_0^t {{p_{\rm{0}}} \cdot {\rm{d}}t} $ | (16) |
设
| $\frac{B}{{2A}} = f$ | (17) |
| $\frac{C}{A} + \frac{{{B^2}}}{{4{A^2}}} = g$ | (18) |
(a) 当g > 0时,式(16)可简化为
| $ - \frac{1}{A} \cdot \int_0^{\Delta p} {\frac{{{\rm{d}}(\Delta p)}}{{{{(\Delta p + f)}^2} - {{(\sqrt g )}^2}}} = } \int_0^t {{p_{\rm{0}}} \cdot {\rm{d}}t} $ | (19) |
积分得
| $t = \frac{1}{{2 \cdot A \cdot \sqrt g \cdot {p_{\rm{0}}}}} \cdot {\ln _{}}(\frac{{\Delta p + f + \sqrt g }}{{\Delta p + f - \sqrt g }} \cdot \frac{{f - \sqrt g }}{{f + \sqrt g }})$ | (20) |
(b) 当g < 0时,式(16)可简化为
| $ - \frac{1}{A} \cdot \int_0^{\Delta p} {\frac{{{\rm{d}}(\Delta p)}}{{{{(\Delta p + f)}^2} + {{(\sqrt { - g} )}^2}}} = } \int_0^t {{p_{\rm{0}}} \cdot {\rm{d}}t} $ | (21) |
积分得
| $t = \frac{1}{{A \cdot {p_{\rm{0}}} \cdot \sqrt { - g} }} \cdot (\arctan \frac{f}{{\sqrt { - g} }} - \arctan \frac{{\Delta p + f}}{{\sqrt { - g} }})$ | (22) |
(c) 当g = 0时,式(16)可简化为
| $ - \frac{1}{A} \cdot \int_0^{\Delta p} {\frac{{{\rm{d}}(\Delta p)}}{{{{(\Delta p + f)}^2}}} = } \int_0^t {{p_{\rm{0}}} \cdot {\rm{d}}t} $ | (23) |
积分得
| $t = \frac{1}{{A \cdot {p_0}}} \cdot (\frac{1}{{\Delta p + f}} - \frac{1}{f})$ | (24) |
为表达简洁和便于理解,不再将g和f表达式代入推算结果,且将式(20)、(22)和(24)分别简称为“g+模型”、“g-模型”和“g0模型”。分析式(17)和(18)可知,f和g均是A的函数,前者代表了密闭空间内超压值的增加速率,后者代表了漏风系数的改变速率。以时间t为自变量将上述各式变形,求得超压值表达式为
| $\Delta p = \left\{ \begin{gathered} \frac{{\frac{{f + \sqrt g }}{{f - \sqrt g }} \cdot {{\exp }_{}}[2 \cdot A \cdot \sqrt g \cdot {p_{\rm{0}}} \cdot t] \cdot (f - \sqrt g ) - f - \sqrt g }}{{1 - \frac{{f + \sqrt g }}{{f - \sqrt g }} \cdot \exp [2 \cdot A \cdot \sqrt g \cdot {p_{\rm{0}}} \cdot t]}}{\kern 1pt} {\kern 1pt} {\kern 1pt} {\kern 1pt} {\kern 1pt} {\kern 1pt} {\kern 1pt} {\kern 1pt} {\kern 1pt} {\kern 1pt} {\kern 1pt} {\kern 1pt} {\kern 1pt} {\kern 1pt} {\kern 1pt} {\kern 1pt} {\kern 1pt} {\kern 1pt} {\kern 1pt} {\kern 1pt} {\kern 1pt} {\kern 1pt} {\kern 1pt} {\kern 1pt} {\kern 1pt} {\kern 1pt} {\kern 1pt} {\kern 1pt} (g > 0) \\ \sqrt { - g} \cdot {\tan _{}}(\arctan \frac{f}{{\sqrt { - g} }} - A \cdot {p_{\rm{0}}} \cdot \sqrt { - g} \cdot t) - f{\kern 1pt} {\kern 1pt} {\kern 1pt} {\kern 1pt} {\kern 1pt} {\kern 1pt} {\kern 1pt} {\kern 1pt} {\kern 1pt} {\kern 1pt} {\kern 1pt} {\kern 1pt} {\kern 1pt} {\kern 1pt} {\kern 1pt} {\kern 1pt} {\kern 1pt} {\kern 1pt} {\kern 1pt} {\kern 1pt} {\kern 1pt} {\kern 1pt} {\kern 1pt} {\kern 1pt} {\kern 1pt} {\kern 1pt} {\kern 1pt} {\kern 1pt} {\kern 1pt} {\kern 1pt} {\kern 1pt} {\kern 1pt} {\kern 1pt} {\kern 1pt} {\kern 1pt} {\kern 1pt} {\kern 1pt} {\kern 1pt} {\kern 1pt} {\kern 1pt} {\kern 1pt} {\kern 1pt} {\kern 1pt} {\kern 1pt} {\kern 1pt} {\kern 1pt} {\kern 1pt} {\kern 1pt} {\kern 1pt} {\kern 1pt} {\kern 1pt} {\kern 1pt} {\kern 1pt} {\kern 1pt} (g < 0) \\ \frac{{ - A \cdot {p_0} \cdot {f^2} \cdot t}}{{A \cdot {p_0} \cdot f \cdot t + 1}}{\kern 1pt} {\kern 1pt} {\kern 1pt} {\kern 1pt} {\kern 1pt} {\kern 1pt} {\kern 1pt} {\kern 1pt} {\kern 1pt} {\kern 1pt} {\kern 1pt} {\kern 1pt} {\kern 1pt} {\kern 1pt} {\kern 1pt} {\kern 1pt} {\kern 1pt} {\kern 1pt} {\kern 1pt} {\kern 1pt} {\kern 1pt} {\kern 1pt} {\kern 1pt} {\kern 1pt} {\kern 1pt} {\kern 1pt} {\kern 1pt} {\kern 1pt} {\kern 1pt} {\kern 1pt} {\kern 1pt} {\kern 1pt} {\kern 1pt} {\kern 1pt} {\kern 1pt} {\kern 1pt} {\kern 1pt} {\kern 1pt} {\kern 1pt} {\kern 1pt} {\kern 1pt} {\kern 1pt} {\kern 1pt} {\kern 1pt} {\kern 1pt} {\kern 1pt} {\kern 1pt} {\kern 1pt} {\kern 1pt} {\kern 1pt} {\kern 1pt} {\kern 1pt} {\kern 1pt} {\kern 1pt} {\kern 1pt} {\kern 1pt} {\kern 1pt} {\kern 1pt} {\kern 1pt} {\kern 1pt} {\kern 1pt} {\kern 1pt} {\kern 1pt} {\kern 1pt} {\kern 1pt} {\kern 1pt} {\kern 1pt} {\kern 1pt} {\kern 1pt} {\kern 1pt} {\kern 1pt} {\kern 1pt} {\kern 1pt} {\kern 1pt} {\kern 1pt} {\kern 1pt} {\kern 1pt} {\kern 1pt} {\kern 1pt} {\kern 1pt} {\kern 1pt} {\kern 1pt} {\kern 1pt} {\kern 1pt} {\kern 1pt} {\kern 1pt} {\kern 1pt} {\kern 1pt} {\kern 1pt} {\kern 1pt} {\kern 1pt} {\kern 1pt} {\kern 1pt} {\kern 1pt} {\kern 1pt} {\kern 1pt} {\kern 1pt} {\kern 1pt} {\kern 1pt} {\kern 1pt} {\kern 1pt} {\kern 1pt} {\kern 1pt} {\kern 1pt} {\kern 1pt} {\kern 1pt} {\kern 1pt} {\kern 1pt} {\kern 1pt} {\kern 1pt} {\kern 1pt} {\kern 1pt} {\kern 1pt} {\kern 1pt} {\kern 1pt} {\kern 1pt} {\kern 1pt} {\kern 1pt} {\kern 1pt} {\kern 1pt} {\kern 1pt} {\kern 1pt} {\kern 1pt} {\kern 1pt} {\kern 1pt} {\kern 1pt} {\kern 1pt} {\kern 1pt} {\kern 1pt} {\kern 1pt} {\kern 1pt} {\kern 1pt} {\kern 1pt} {\kern 1pt} {\kern 1pt} {\kern 1pt} {\kern 1pt} {\kern 1pt} {\kern 1pt} {\kern 1pt} {\kern 1pt} {\kern 1pt} {\kern 1pt} {\kern 1pt} {\kern 1pt} {\kern 1pt} {\kern 1pt} {\kern 1pt} {\kern 1pt} {\kern 1pt} {\kern 1pt} {\kern 1pt} {\kern 1pt} {\kern 1pt} {\kern 1pt} {\kern 1pt} {\kern 1pt} {\kern 1pt} {\kern 1pt} {\kern 1pt} {\kern 1pt} {\kern 1pt} {\kern 1pt} {\kern 1pt} {\kern 1pt} {\kern 1pt} {\kern 1pt} {\kern 1pt} (g = 0) \\ \end{gathered} \right.$ | (25) |
根据案例工程实测结果[8],漏风系数与超压值呈正相关,故A > 0。又因B2/A2 > 0,C > 0,故g > 0。因此,“g+模型”适用于案例工程分析。利用式(10)对实测漏风系数和超压值进行拟合,见图 3。
|
图 3 案例工程中漏风系数与超压值的拟合曲线 Fig.3 Fitting curve of air leakage coefficient and overpressure in practical case |
可得漏风率与超压值的线性关系为
| $k = 8 \times {10^{ - 8}} \cdot \Delta p + {10^{ - 4}}$ | (26) |
即A = 8×10-8,B = 10-4。相关系数R接近于1,表示式(26)能够很好地拟合实测结果,也说明理论分析比较合理。
为便于对比分析,结合工程实际,将大气压、进风量、工程容积和初始漏风系数分别取值为p0 = 105 Pa、Qin = 2 000 m3·h-1、V = 30 000 m3、B =10-4。3种数学模型边界条件见表 1。
|
|
表 1 3种数学模型边界条件对比表 Table 1 Comparison of boundary conditions of three models |
(1) 在“g+模型”中,因g > 0,必有A > -B2/(4C)。当-B2/(4C) < A < 0时,漏风系数与超压值呈负相关;当A > 0时,两者呈正相关。
(2) 在“g-模型”中,因g < 0,必有A < 0,漏风系数与超压值呈负相关。当A = -10-7时,满足g < 0,可用于下文分析。当漏风系数降为0时,空间不再漏风,漏风率和漏风量均为0,超压值随时间呈线性增加,即
| $\Delta p = \frac{{{Q_{\rm{in}}} \cdot (t - {t_1})}}{V} \cdot {p_0}$ | (27) |
式中:t1为漏风系数和漏风率降为0所需时间。将式(25)代入(10)后,整理得
| ${t_1} = \frac{1}{{A \cdot {p_{\rm{0}}} \cdot \sqrt { - g} }} \cdot (\arctan \frac{f}{{\sqrt { - g} }} - \arctan \frac{{A \cdot f - B}}{{A \cdot \sqrt { - g} }}{\kern 1pt} {\kern 1pt} )$ | (28) |
代入数据,求得t1 = 12.25 min。
(3) 在“g0模型”中,因g = 0,得A = -3.75×10-8,即漏风系数与工程超压值呈负相关。
根据上述分析,不同数学模型中漏风率和漏风系数与超压值的关系可表示为图 4。当g = 0时,k~Δp关系曲线为直线(图 4(a)),m~Δp关系曲线为抛物线(图 4(b)),两条曲线将所在平面分为Ⅰ区和Ⅱ区,分别对应“g+模型”和“g-模型”的适用范围。
|
图 4 3种模型边界条件中漏风系数和漏风率与超压值的关系曲线 Fig.4 Relationship between air leakage coefficient/rate and overpressure under boundary conditions of three models |
根据式(25)可获得超压值随时间的变化曲线(见图 5)。在起初阶段,3条曲线比较接近。随着时间增加,3条曲线差异逐渐变大。“g+模型”曲线走势先上升,随后接近稳定值。“g-模型”在前期(t < t1)增势较缓,随后趋于相对陡峭。“g0模型”曲线介于“g+模型”、“g-模型”两条曲线之间,随时间增加而缓慢趋于水平。根据实测结果和调试经验,防护工程内超压值一般均会达到稳定,因此“g+模型”与“g0模型”更接近实际。
|
图 5 超压值随时间的变化曲线 Fig.5 Profiles of overpressure in different models |
3种模型中漏风系数和漏风率随时间的变化曲线见图 6。
|
图 6 漏风系数和漏风率随时间的变化曲线 Fig.6 Profiles of air leakage coefficient and rate as a function of time |
(1) 在“g+模型”中,漏风系数k+和漏风率m+随时间持续增加,待超压接近限值后逐渐趋于平稳。当密闭空间达到稳态时,漏风系数k+、漏风率m+和超压值均趋于极限值,净风量为0,即
| ${Q_{{\rm{in}}}} = {Q_{{\rm{leak}}}}$ | (29) |
将式(25)和(29)代入式(10)并求极限
| $ {k}_{\rm{appr}}^{+}={\underset{t\to \infty }{\mathrm{lim}}}_{}(\frac{{Q}_{\rm{in}}}{V\cdot \Delta p}\rm{\hspace{0.05em}}\rm{\hspace{0.05em}})=\frac{{Q}_{in}}{(\sqrt{g}-f)\cdot V}=\frac{C}{(\sqrt{g}-f)}$ | (30) |
求得“g+模型”中极限漏风系数k+appr = 1.41×10-4 Pa-1·h-1。将式(25)和(29)代入(11),并求极限
| $m_{\text {appr }}^{+}=\lim\limits_{t \rightarrow \infty}\left(A \cdot \Delta p^{2}+B \cdot \Delta p\right)=\frac{Q_{\text {in }}}{V}=C$ | (31) |
求得“g+模型”中极限漏风率m+appr = 6.67×10-2 h-1。对式(25)求极限得
| $\Delta p_{\text {appr }}^{+}=\lim\limits_{t \rightarrow \infty}(\Delta p)=\sqrt{g}-f$ | (32) |
代入数据后求得“g+模型”中极限超压值,Δp+appr = 518.4 Pa。
因此,在“g+模型”中,随时间增加,漏风系数k+将减至
(2) 在“g-模型”中,漏风率m-的变化曲线是一条抛物线,漏风率降为0所需时间为t1,超压值为
| $\Delta p_1^ - = \mathop {\lim }\limits_{t \to {t_1}} (\Delta p) = - \frac{B}{A}$ | (33) |
代入数据后求得漏风率为0时超压值为Δp+1 = 1 000 Pa。根据式(11)和抛物线性质可知,漏风率m-增加到最大值时所需要时间
| ${t_{{\rm{max}}}} = \frac{1}{2}{t_1}$ | (34) |
代入数据后求得漏风率最大时的时间
| $\Delta p_m^ - = \mathop {\lim }\limits_{t \to {t_{\max }}} (\Delta p) = - \frac{B}{{2A}}$ | (35) |
将式(35)代入(11),可求得最大漏风率
| $m_{\max }^{-}=\lim\limits_{t \rightarrow t_{\text {max }}}\left(A \cdot \Delta p^{2}+B \cdot \Delta p\right)=-\frac{B^{2}}{4 A}$ | (36) |
代入数据后求得最大漏风率
因此,在“g-模型”中漏风系数k-和漏风率m-的变化可分为3个阶段:起初阶段(t ≤ tmax),漏风系数k-呈线性减小,漏风率m-缓慢增加至最大值
(3) 在“g0模型”中,漏风系数k0持续减小,漏风率m0和超压值缓慢趋于平稳(图 6)。将式(25)和(29)代入(10),并求极限得
| $k_{\text {appr }}^{0}=\lim\limits_{t \rightarrow \infty}\left(\frac{Q_{\text {in }}}{V \cdot \Delta p}\right)=\frac{B}{2}$ | (37) |
代入数据后求得“g0模型”中极限漏风系数
| $m_{\text {appr }}^{0}=\lim\limits_{t \rightarrow \infty}\left(A \cdot \Delta p^{2}+B \cdot \Delta p\right)=\frac{Q_{\text {in }}}{V}=C$ | (38) |
代入数据后求得“g0模型”中极限漏风率m0appr = 6.67×10-2 h-1。对式(25)求极限得
| $\Delta p_{\text {appr }}^{0}=\lim\limits_{t \rightarrow \infty}(\Delta p)=-f$ | (39) |
代入数据后代入后求得“g0模型”中极限超压
因此,在“g0模型”中当超压值趋于稳定时,漏风系数k0将减至B/2,漏风率m0将增至C,超压值稳定至-f。也就是说,“g0模型”中漏风系数k0持续减小,与k-的变化规律相似;漏风率m0持续增加,与m+的变化规律相似。因此,“g0模型”描述的超压过程规律兼有“g+模型”和“g-模型”的特点。
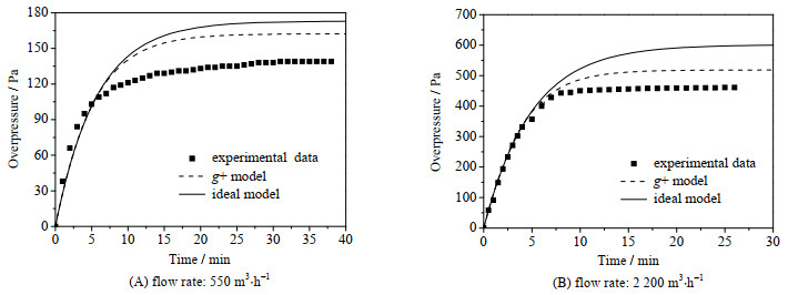
4 超压过程数学模型验证将“g+模型”和“理想模型”预测的超压过程与实测结果对比,见图 7。2种模型预测的超压过程与实测结果走势一致,但预测极限超压值均比实测值高,主要源于2个模型都忽略了风管阻力和扩散作用。当进风量为550 m3·h-1时,“g+模型”和“理想模型”极限超压值分别为162.3和173.0 Pa,比实测值139.0 Pa高出16.8%和24.4%。当进风量为2 200 m3·h-1时,“g+模型”和“理想模型”极限超压值分别为518.4和691.8 Pa,比实测值461.0 Pa高出12.5%和50.1%。进风量较小时,风管阻力和扩散作用对超压过程的影响比较显著,漏风系数的影响相对较小,“g+模型”相对“理想模型”的优势不太突出。进风量较大时,风管阻力和扩散作用对超压过程的影响相对减小,漏风系数的影响显著增加,“g+模型”相对“理想模型”的优势比较突出。此外,密封面实际磨损情况比较复杂,存在褶皱,老化无弹力,甚至部分缺失等情况,将此简化为弹性平板间隙,势必造成一定误差。然而,对比分析表明,“g+模型”比“理想模型”更接近实测结果,因此前者能够更准确地预测实际工程的超压过程。
|
图 7 模拟与实测超压过程对比图 Fig.7 Comparison of overpressure variation between model and experimental results |
现有超压过程数学模型比较简单,难以准确反映超压过程的实际规律。本文在总结工程竣工验收经验和分析试验结果的基础上,结合流体力学理论分析,从密封垫的微观应变入手,探讨了漏风系数的非定常性质,推导了漏风系数与超压值的线性关系,并据此提出了3种超压过程数学模型,分析了模型边界条件,讨论了漏风系数对超压过程的影响。对比研究表明,本文所建数学模型比“理想模型”能够更准确地描述实际工程的超压过程,并预测工程内超压变化规律。此外,该模型过程并未限定超压值的范围,因此具有较广泛的适用性。后续将针对不同类型的密封情况,进一步细化超压数学模型的研究。
|
|
| [1] |
施晓波, 祁丽. NBC防护区超压控制的研究与运用[J]. 船舶与海洋工程, 2015, 31(4): 48-55. SHI X B, QI L. Research and application of overpressure control in NBC protection zone[J]. Naval Architecture & Ocean Engineering, 2015, 31(4): 48-55. |
| [2] |
刘秀峰, 喻俊峰, 张益诚, 等. 集体防护区超压建立过程分析[J]. 船海工程, 2017, 46(3): 147-149. LIU X F, YU J F, ZHANG Y C, et al. Analysis of the time to establish cps overpressure on naval ships[J]. Ship & Ocean Engineering, 2017, 46(3): 147-149. DOI:10.3963/j.issn.1671-7953.2017.03.035 |
| [3] |
郭前, 耿世彬, 连慧亮, 等. 防护工程隔绝防护口部超压技术研究[J]. 防护工程, 2019(3): 44-48. GUO Q, GENG S B, LIAN H L, et al. Research on the overpressure technology for isolating the entrance of protective engineering[J]. Protective Engineering, 2019(3): 44-48. |
| [4] |
包剑, 罗雯军, 王吉. 集体防护系统超压控制阀性能的数值模拟与优化[J]. 船海工程, 2018, 47(6): 121-125. BAO J, LUO W J, WANG J. Numerical simulation and optimization of overpressure controller in the collective protection system[J]. Ship & Ocean Engineering, 2018, 47(6): 121-125. |
| [5] |
孙贵川. 人防工程战时防护通风设计中工程漏风量取值分析及计算方法探讨[J]. 四川建筑, 2013, 33(6): 231-231. SUN G C. Discussion on analysis and calculation of air leakage in wartime protective ventilation design for civil air defense project[J]. Sichuan Architecture, 2013, 33(6): 231-231. DOI:10.3969/j.issn.1007-8983.2013.06.088 |
| [6] |
李鑫. 密闭空间超压过程的数学模型分析[J]. 防化学报, 2015(3): 57-59. LI X. Modeling and analyzing of pressure-excessing in the airtight space[J]. Journal of NBC Defence, 2015(3): 57-59. |
| [7] |
赵海洋, 李鑫. 密闭空间超压过程的数学模型优化与分析[J]. 防化学报, 2019(2): 30-33. ZHAO H Y, LI X. Optimizing and analyzing of the mathematic model of pressure-excessing in the airtight space[J]. Journal of NBC Defence, 2019(2): 30-33. |
| [8] |
赵海洋, 连九勇, 潘越峰. 地下工程超压过程实验研究与模型分析[J]. 工程技术, 2019(4): 7-10. ZHAO H Y, LIAN J Y, PAN Y F. Experimental study and model analysis of overpressure process in underground engineering[J]. Engineering & Technology, 2019(4): 7-10. |
| [9] |
BYRON R B, STEWART W E, LIGHTFOOT E N. Transport phenomena [M]. 2nd ed. New York: John Wiley & Sons, Inc, 2004.
|
| [10] |
曾成洲.基于压差原理的泄漏检测方法研究及系统开发[D].杭州: 浙江大学, 2012. ZENG C Z. Research and system development of leak detection method based on differential pressure principle[D]. Hangzhou: Zhejiang University, 2012. |


