2. 中国石化青岛安全工程研究院, 山东 青岛 266071
2. SINOPEC Qingdao Research Institute of Safety Engineering, Qingdao 266071, China
在常压塔顶的低温冷凝系统中常发生露点腐蚀和铵盐结晶沉积垢下腐蚀[1-4]。注中和剂是缓解露点腐蚀的重要工艺手段。氨水是工业中常用的中和剂,但由于NH3在初凝区的溶解度很小,中和效果并不是十分理想;在高于露点温度的区域,NH3与氯化氢在气相中反应生成氯化铵,氯化铵沉积在管壁上并吸收塔顶系统中的水分,形成铵盐结晶沉积垢下腐蚀。王海博等[3]通过Aspen Plus对塔顶油气进行热力学模拟,预测了氯化铵结晶沉积和发生垢下腐蚀的温度区域。偶国富等[5-7]对加氢反应流出物系统的铵盐结晶过程进行了大量研究,建立了铵盐结晶温度和结晶速率的计算模型,并且提出了多物理场耦合作用下的铵盐沉积速率模型。有机胺是新型的中和剂,其种类非常多,和无机氨相比,有些胺的碱性更强,中和效果更好,并且不易与氯化氢发生结晶反应。但是,中和胺的种类选择不合适及其过量使用不仅会造成浪费,还会导致胺与氯化氢反应生成和氯化铵具有相似性质的有机胺盐,形成氯化胺结晶沉积垢下腐蚀;有些氯化胺是液态的,因其具有流动性从而扩大了影响范围。对氯化胺的结晶风险进行预测可以判断注中和胺工艺是否合理,从而避免氯化胺结晶沉积垢下腐蚀的发生。
有机胺盐的结晶行为和氯化铵类似。Rechtien和Duggan[8]指出只有当氯化氢和胺的浓度(或分压力)达到临界值时,结晶反应才能自发进行生成氯化胺盐,不同胺的结晶难易程度是不同的;Chambers等[9]认为胺的碱性越强,形成胺盐的温度越高,即结晶更易于发生。国外学者应用离子模型研究了氯化胺的结晶行为[8-15]。Lack[10]通过电解质模拟发现在油相中分散性和溶解性越强的胺越不容易结晶。Valenzuela和Dewan[11]指出如果结晶温度高于胺盐的熔点,熔融的胺盐由于其极强的吸湿性将不会干燥,而吸湿后的熔盐具有很强的腐蚀性。Simonetty[13]认为如果水露点温度高于胺盐的升华温度,那么易结晶组分将会在达到结晶条件之前溶解到冷凝水中,因此可以通过在预测结晶区域上游注水降低结晶风险。Patel等[14]研究发现当胺盐形成发生在露点之前,如果没有足量的冷凝水溶解和稀释胺盐,就会造成腐蚀。胺盐的腐蚀性与胺的碱性和盐的相态有关:胺的碱性越弱,胺盐的腐蚀性越强,强碱胺盐的腐蚀速率低于弱碱胺盐,弱碱胺盐与强碱胺盐混合时腐蚀速率降低;固态盐的腐蚀性随温度升高而降低,液态盐的腐蚀性则随温度升高而增加[8, 15]。
国内外学者总结了选取中和胺的一般原则[16-19],然而这并不足以解决氯化胺结晶沉积垢下腐蚀问题:一方面,国内对有机胺中和剂的应用研究较少;另一方面,尽管国外较早地开始使用有机胺中和剂,甚至已经开发了注剂加注优化系统,但是由于缺乏对氯化胺的物性,特别是热力学性质[20-23]的系统研究,目前只能对特定的中和胺进行加注工艺优化。因此,本研究首先通过实验测定几种氯化胺盐的分解平衡压力,并借鉴Munson等[24]的方法进行热力学推导,计算氯化胺的结晶-分解平衡常数,然后利用Aspen Plus模拟某常顶系统注入有机胺中和剂后的工况,最后基于化学平衡和相平衡的角度预测该常顶系统中是否存在有机胺盐结晶腐蚀风险。
2 胺盐分解实验 2.1 实验原理有机胺盐的分解平衡可用下式表示
| ${\rm{RNH}_3}{\rm{Cl}}({\rm{s}}) = {\rm{RNH}_2}({\rm{g}}) + {\rm{HCl}}({\rm{g}})$ | (1) |
式(1)中反应的标准平衡常数
| ${K^\Theta } = (f_{{\rm{RNH}_2}}^{\rm{eq}}/{p^\Theta }) \cdot (f_{\rm{HCl}}^{\rm{eq}}/{p^\Theta })$ | (2) |
式中:
| ${K^\Theta } = (p_{{\rm{RNH}_2}}^{\rm{eq}}/{p^\Theta }) \cdot (p_{\rm{HCl}}^{\rm{eq}}/{p^\Theta })$ | (3) |
式中:
实验仪器如图 1、2所示,主要包括DP-AF精密数字(真空)压力计、不锈钢缓冲储气罐、SYP-II玻璃恒温水浴、等压管(均购自南京桑力电子设备厂)、干燥瓶(防倒吸)、旋片式机械真空泵。实验药品包括甲胺盐酸盐、乙胺盐酸盐、吗啡啉盐酸盐、4-(2-氯乙基)吗啉盐酸盐(均购自青岛海力泰经贸有限公司),二甲胺盐酸盐(购自中国国药集团有限公司),蓖麻油(用作消泡剂),真空泵油。
|
图 1 胺盐分解实验流程 Fig.1 Flow chart of the amine salt decomposition experimental procedure |
|
图 2 胺盐分解实验装置 Fig.2 Image of the amine salt decomposition experimental setup 1. pressure meter 2. buffer tank 3. water bath 4. isobaric pipe 5. drying bottle 6. amine salt containing part of isobaric pipe 7. oil seal part of isobaric pipe 8. connection part between drying bottle and vacuum pump |
实验开始前先检查装置的气密性,确保装置气密性良好。通过真空泵使系统处于负压状态,胺盐在负压条件下分解,分解产生的气体不断地将空气带出,同时促进了正向反应,最终达到平衡(通过多次抽气将图 2中6处的空气排尽,避免因空气的存在而影响读数的准确性);调节缓冲罐的旋塞,缓慢放入空气使等压管油封部分的液面两端齐平,系统的真空度减小,通过读测压仪的示数即可得到胺盐在此时的分解压力;调节温度控制仪,使恒温槽的温度升高,胺盐分解重新达到平衡,再次读数,用同样的方法测出胺盐在不同温度下的分解平衡压力。每种胺盐进行3次重复实验,取平均值减小因偶然性带来的误差。
3 常顶系统工况模拟 3.1 操作参数和物料组成某炼油厂常压塔顶系统的操作压力为100 kPa,操作温度为40~120 ℃。塔顶物料温度为117 ℃,压力为121 kPa,物料由不凝性气体、水蒸气和烃类混合物组成,将烃类混合物定义为石脑油切割得到的虚拟组分,物料信息如表 1所示。表中φB为恩氏蒸馏体积分数。在塔顶油气挥发线上注入中和剂、缓蚀剂和水,由于中和剂和缓蚀剂注入量相对于注水量很小,故只考虑注水点,注水温度为40 ℃,压力为121 kPa,物料信息如表 2所示。炼油厂采用有机胺中和剂,中和剂注入量为14.7 kg·h-1(有机胺的质量分数为50%,余量为水),有机胺种类拟选择甲胺、乙胺、二甲胺、吗啡啉和4-(2-氯乙基)吗啉中的一种。
|
|
表 1 塔顶物料信息 Table 1 Material information of overhead system |
|
|
表 2 注水物料信息 Table 2 Material information of water injection |
基于Aspen Plus的PR物性方法对常顶系统物流的冷凝过程进行相平衡计算。通过灵敏度分析得到冷凝过程中气、烃和水三相的质量流量随温度的变化,以注入甲胺的计算结果为例,如图 3所示。气相线有2个拐点,分别对应2个相变点,其中,烃露点温度为99 ℃,水露点温度为85 ℃。
|
图 3 气-油-水三相质量流量 Fig.3 Mass flow rates of vapor-oil-water three phases |
有机胺和氯化氢可以在气相中发生结晶反应
| ${\rm{RNH}_2}({\rm{g}}) + {\rm{HCl}}({\rm{g}}) \to {\rm{RNH}_3}{\rm{Cl}}(\rm{s,L})$ | (4) |
当结晶温度高于胺盐熔点时生成熔融盐,固态盐和熔融盐均会造成垢下腐蚀。在塔顶系统条件下,是否会发生式(4)中的反应取决于气相中有机胺和氯化氢的分压乘积Kp和结晶平衡分压乘积K的关系:当Kp≥K时,发生胺盐结晶反应,当Kp=K时的温度为结晶温度。图 4为甲胺、乙胺、二甲胺、吗啡啉、4-(2-氯乙基)吗啉和氯化氢的气相摩尔分数随温度的变化,由此可以求出Kp
| ${p_{{\rm{RNH}_2}}} = {x_{{\rm{RNH}_2}}} \times p$ | (5) |
| ${p_{\rm{HCl}}} = {x_{\rm{HCl}}} \times p$ | (6) |
| ${K_p} = {p_{{\rm{RNH}_2}}} \times {p_{\rm{HCl}}}$ | (7) |
|
图 4 易结晶组分的气相摩尔分数 Fig.4 Vapor mole fraction of crystallized components |
式中:
系统在不同温度下的平衡总压如表 3所示。
|
|
表 3 系统平衡总压 Table 3 Total balance pressure of the experimental system |
由范特霍夫方程可知标准平衡常数与温度的关系[25]
| $\frac{{d\ln {K^\Theta }}}{{dT}} = \frac{{{\Delta _{\rm{r}}}H_{\rm{m}}^\Theta }}{{R{T^2}}}$ | (8) |
式中:T为热力学温度,K;R为摩尔气体常数,J·mol-1·K-1。因为式(1)中有气体生成,所以应考虑反应前后的热容变化,即
| ${c_{p,{\rm{m}}}} = a + bT$ | (9) |
则
| $ \Delta {c_{p,{\rm{m}}}} = \Delta a + \Delta bT $ | (10) |
式中:
| $ {\Delta _{\rm{r}}}H_{\rm{m}}^\Theta (T) = A + BT + C{T^2} $ | (11) |
将式(11)代入式(8)并积分得标准平衡常数的自然对数-温度关联式
| $\ln {K^\Theta }(T) = - \frac{A}{{RT}} + \frac{B}{R}\ln T + \frac{C}{R}T + D$ | (12) |
式中:A、B、C、D为常数。由式(3)计算标准平衡常数,将其自然对数和温度按式(12)进行拟合,结果见表 4,拟合程度非常好。
|
|
表 4 拟合结果 Table 4 Fitting results |
由式(3)和(12)得结晶平衡分压乘积
| $K = p_{{\rm{RNH}_2}}^{\rm{eq}} \times p_{\rm{HCl}}^{\rm{eq}} = {p^\Theta } \times {p^\Theta } \times {{\rm{e}}^{( - \frac{A}{{RT}} + \frac{B}{R}\ln T + \frac{C}{R}T + D)}}$ | (13) |
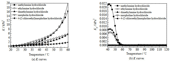
根据式(13)绘制结晶平衡分压乘积曲线(K曲线),如图 5(a)所示,并与图 5(b)的Kp曲线进行比较。在塔顶操作条件下,最小的K值约为0.7 kPa2,最大的Kp值约为0.022 kPa2,可见5种胺盐的Kp值整体小于K值,因此在常顶系统中不存在氯化胺结晶风险。图 6(a)、(b)对比了5种有机胺盐、氯化铵和硫氢化铵的结晶平衡分压乘积。从图 6(a)可以看出,硫氢化铵的结晶倾向远小于5种有机胺盐和氯化铵;从图 6(b)可以看出,5种有机胺盐的结晶倾向和氯化铵相比也较小,这与Joseph等[26-27]的试验结果具有一致性。因此,在常顶系统中易结晶组分含量不太高的情况下,应该主要考虑氯化铵的结晶腐蚀。由Kp曲线和K曲线可知氯化铵的结晶温度约为115 ℃ (如图 7所示),高于露点温度85 ℃,所以常顶系统中会发生氯化铵结晶沉积垢下腐蚀。
|
图 5 胺盐结晶风险判断 Fig.5 Risk estimate of amine salts crystallization |
|
图 6 铵/胺盐结晶趋势对比 Fig.6 Comparison of crystallization trends of ammonium and amine salts |
|
图 7 氯化铵结晶温度预测 Fig.7 Prediction of crystallization temperature of ammonium chloride |
在常顶系统操作参数和物料组成一定时,优化注水工艺是缓解露点腐蚀和氯化铵结晶沉积垢下腐蚀切实可行的措施,包括增加注水量和调整注水位置。但是注水量过大会加剧冲刷腐蚀,注水点设置在结晶点下游也无法发挥作用,所以确定合适的注水量和合理的注水位置是优化注水工艺的关键。如图 8所示为注水量时水露点的影响,从图 8可以看出,物流温度随注水量的增加不断降低,当注水量增加2 000 kg·h-1以上时,水露点温度升高1℃。在同一水露点温度下,增加注水量,水的初凝率增大;在水露点温度升高的过程中,初凝率随注水量的增加而减小;当升至新的水露点温度后,初凝率又随注水量的增加而增大,依此类推。当注水量为5 750 kg·h-1时,物流温度等于露点温度,水露点前移至注水点处,初凝率为0.044;为保证注水后有25% 的裕量,将注水量增加至7 200 kg·h-1左右即可控制露点腐蚀。当注水量增加至7 200 kg·h-1时,氯化铵的结晶温度为113℃,说明增加注水量能够降低氯化铵的结晶温度,但是影响程度不大,特别是当结晶温度在注水点上游时,增加注水量对氯化铵结晶腐蚀几乎没有任何影响,此时应调整注水点至结晶点上游以缓解氯化铵结晶腐蚀。
|
图 8 注水量对水露点的影响 Fig.8 Effects of water injection on water dew-point |
(1) 通过实验测定了甲胺盐酸盐、乙胺盐酸盐、二甲胺盐酸盐、吗啡啉盐酸盐和4-(2-氯乙基)吗啉盐酸盐在不同温度下的分解压力,计算了反应的标准平衡常数,并拟合了标准平衡常数的自然对数和热力学温度的关联式,绘制了有机胺盐的结晶平衡分压乘积曲线。
(2) 利用Aspen Plus对拟使用有机胺中和剂的某炼油厂常压塔顶系统进行了相平衡计算,通过灵敏度分析得到了气相、烃相和水相的质量流量在冷凝过程中随温度的变化,预测烃露点为99 ℃,水露点为85 ℃,还得到了不同温度下有机胺和氯化氢的气相摩尔分数。
(3) 对比气相中胺和氯化氢的分压乘积与胺盐结晶平衡分压乘积,预测在塔顶操作条件下不会发生有机胺盐结晶腐蚀;针对常顶系统中存在的主要腐蚀类型提出了注水工艺优化措施,注水量增加至7 200 kg·h-1,水露点前移至注水点,可以避免露点腐蚀,但对于氯化铵结晶沉积垢下腐蚀影响不大。
| [1] |
何昌春, 徐磊, 陈伟, 等. 常顶系统流动腐蚀机理预测及防控措施优化[J]. 化工学报, 2019, 70(3): 1027-1034. HE C C, XU L, CHEN W, et al. Mechanism prediction of flow-induced corrosion and optimization of protection measures in overhead system of atmospheric tower[J]. CIESC Journal, 2019, 70(3): 1027-1034. |
| [2] |
程光旭, 马贞钦, 胡海军, 等. 常减压装置塔顶低温系统露点腐蚀及铵盐沉积研究[J]. 石油化工设备, 2014, 43(1): 1-8. CHENG G X, MA Z Q, HU H J, et al. Study on dew point corrosion and ammonium salt depositing at low temperature system of atmospheric and vacuum distillation unit[J]. Petro-Chemical Equipment, 2014, 43(1): 1-8. |
| [3] |
王海博, 李云, 程光旭, 等. 常压塔塔顶冷凝系统铵盐腐蚀及控制[J]. 中国石油大学学报(自然科学版), 2018, 42(3): 177-182. WANG H B, LI Y, CHENG G X, et al. Mitigation of the ammonium salts corrosion in overhead condensing system of crude tower[J]. Journal of China University of Petroleum (Edition of Natural Science), 2018, 42(3): 177-182. DOI:10.3969/j.issn.1673-5005.2018.03.022 |
| [4] |
王海博, 李云, 欧阳文彬, 等. Aspen Plus模拟预测常压塔顶冷凝系统露点及pH值[J]. 石油学报(石油加工), 2018, 34(3): 629-633. WANG H B, LI Y, OUYANG W B, et al. Aspen Plus predict water dew point and PH value of the overhead condensing system of crude atmospheric distillation unit[J]. Acta Petrolei Sinica (Petroleum Processing Section), 2018, 34(3): 629-633. DOI:10.3969/j.issn.1001-8719.2018.03.025 |
| [5] |
金浩哲, 王宽心, 偶国富, 等. 基于Aspen Plus的加氢反应流出物铵盐结晶速率计算模型与分析[J]. 石油学报(石油加工), 2015, 31(6): 1444-1449. JIN H Z, WANG K X, OU G F, et al. Calculation model and analysis of ammonium salt crystallization rate in hydrogenation reaction effluent based on Aspen Plus[J]. Acta Petrolei Sinica (Petroleum Processing Section), 2015, 31(6): 1444-1449. DOI:10.3969/j.issn.1001-8719.2015.06.028 |
| [6] |
ZHENG Z J, OU G F, YE H J, et al. Investigation on the deposition failure of a reactor effluent air cooler in hydrocracking unit[J]. Engineering Failure Analysis, 2016, 68: 52-63. DOI:10.1016/j.engfailanal.2016.05.005 |
| [7] |
OU G F, JIN H Z, XIE H P, et al. Prediction of ammonium salt deposition in hydroprocessing air cooler tubes[J]. Engineering Failure Analysis, 2011, 18(6): 1458-1464. DOI:10.1016/j.engfailanal.2011.04.011 |
| [8] |
RECHTIEN R, DUGGAN G. Identifying the impacts of amine contamination on crude units [C]//Corrosion 2006 Conference & Exposition, San Diego, California: NACE International, 2006.
|
| [9] |
CHAMBERS B, SRINIVASAN S, YAP K M, et al. Corrosion in crude distillation unit overhead operations: A comprehensive review[C]// Corrosion 2011 Conference & Exposition, Houston, Texas: NACE International, 2011.
|
| [10] |
LACK J. An in-depth look at amine behavior in crude units using electrolyte-based simulation [C]//Corrosion 2005 Conference & Exposition, Houston, Texas: NACE International, 2005.
|
| [11] |
VALENZUELA D P, DEWAN A K. Refinery crude column overhead corrosion control, amine neutralizer electrolyte thermodynamics, thermochemical properties and phase equilibria[J]. Fluid Phase Equilibria, 1999, 158-160: 829-834. DOI:10.1016/S0378-3812(99)00067-9 |
| [12] |
ARMISTEAD K, LESLIE D, STRONG R. Crude unit overhead corrosion control successfully driven by ionic modeling[C]//Corrosion 2015 Conference & Exposition, Dallas, Texas: NACE International, 2015.
|
| [13] |
SIMONETTY M. Predictive corrosion technology for gas plants[C]//Corrosion 2015 Conference & Exposition, Dallas, Texas: NACE International, 2015.
|
| [14] |
PATEL A, ANDERKO A, VETTERS E, et al. Use of ionic modeling to gain new insights on crude unit overhead corrosion[C]//Corrosion 2012 Conference & Exposition, Salt Lake City, Utah: NACE International, 2012.
|
| [15] |
LACK J, HARRELL B. Reducing salt corrosion rates with stronger base amines[C]//Corrosion 2013 Conference & Exposition, Orlando, Florida: NACE International, 2013.
|
| [16] |
PERSON K. Novel volatile filming inhibitor treatment program provides improved corrosion control in industrial boiler systems[C]//Corrosion 2015 Conference & Exposition, Dallas, Texas: NACE International, 2015.
|
| [17] |
张柏鸿, 李红, 孙辉, 等. 中和胺pH值调节能力的分析比较[J]. 工业用水与废水, 2016, 47(5): 40-42. ZHANG B H, LI H, SUN H, et al. Analysis and comparison of neutralizing amine pH adjustment ability[J]. Industrial Water & Wastewater, 2016, 47(5): 40-42. DOI:10.3969/j.issn.1009-2455.2016.05.010 |
| [18] |
杜荣熙, 张磊, 张林. ZH101WT有机胺中和剂的评定与工业应用[J]. 石油炼制与化工, 2006, 37(10): 64-68. DU R X, ZHANG L, ZHANG L. Assessment and commercial application of ZH101WT amine neutralizer[J]. Petroleum Processing and Petrochemicals, 2006, 37(10): 64-68. DOI:10.3969/j.issn.1005-2399.2006.10.014 |
| [19] |
王海博, 武玮, 李云, 等. 多种有机胺的中和缓蚀性能评定[J]. 石油炼制与化工, 2018, 49(3): 103-106. WANG H B, WU W, LI Y, et al. Investigation of corrosion inhibition performance of organic amines in crude unit overhead cooling system[J]. Petroleum Processing and Petrochemicals, 2018, 49(3): 103-106. DOI:10.3969/j.issn.1005-2399.2018.03.021 |
| [20] |
ASTON J G, ZIEMER C W. Thermodynamic properties of three crystalline forms of methylammonium chloride[J]. Journal of the American Chemical Society, 1946, 68(8): 1405-1413. DOI:10.1021/ja01212a003 |
| [21] |
ASTON J G, GITTLER F L. The free energy and entropy of dissociation of methylammonium chloride from 276 to 313 K. The barrier hindering internal rotation2[J]. Journal of the American Chemical Society, 1955, 77(12): 3175-3177. DOI:10.1021/ja01617a002 |
| [22] |
LENCKA M M, KOSINSKI J J, WANG P M, et al. Thermodynamic modeling of aqueous systems containing amines and amine hydrochlorides: Application to methylamine, morpholine, and morpholine derivatives[J]. Fluid Phase Equilibria, 2016, 418: 160-174. DOI:10.1016/j.fluid.2015.10.025 |
| [23] |
刘玉普, 邸友莹, 何东华, 等. 乙二胺盐酸盐的低温热容和热化学性质[J]. 高等学校化学学报, 2010, 31(6): 1227-1230. LIU Y P, DI Y Y, HE D H, et al. Low-temperature heat capacities and thermochemistry properties of ethylene diamine dihydrochloride[J]. Chemical Journal of Chinese Universities, 2010, 31(6): 1227-1230. |
| [24] |
MUNSON B R, CAYARD M S. Thermodynamic derivations of various ammonium salt deposition equations common to the refinery industry[J]. Corrosion, 2018, 74(10): 1158-1163. DOI:10.5006/2855 |
| [25] |
陈钟秀, 顾飞燕, 胡望明. 化工热力学[M]. 第3版. 北京: 化学工业出版社, 2012. CHEN Z X, GU F Y, HU W M. Chemical engineering thermodynamics[M]. 3rd ed. Beijing: Chemical Industry Press, 2012. |
| [26] |
JOSEPH H Y N. Method and composition for neutralizing acidic components in petroleum refining units: US, 4430196[P]. 1984-02-07.
|
| [27] |
JAMES A W, THOMAS C M. Method for neutralizing acidic components in petroleum refining units using an alkoxyalkylamine: US, 4062764[P]. 1977-12-13.
|


