2. 嘉应学院 地理科学与旅游学院, 广东 梅州 514015;
3. 广东省 山区特色农业资源保护与精准利用重点实验室, 广东 梅州 514015
2. School of Geography and Tourism, Jiaying University, Meizhou 514015, China;
3. Guangdong Provincial Key Laboratory of Conservation and Precision Utilization of Characteristic Agricultural Resources in Mountainous Areas, Meizhou 514015, China
大豆素是一种功能性黄酮化合物,广泛存在于豆科植物中,它具有抗肿瘤[1]、降血脂[2]、抗氧化[3]、增强机体免疫力和抑制蛋白酪氨酸激酶等多种生物活性[4],具有很好的利用价值和开发前景,然而从植物体直接分离的天然大豆素的水溶性很差[5],在水中的溶出度和生物利用度极低[6],这在一定程度上制约了它的应用。近年来制备小分子的技术有很多,例如添加增溶剂或助溶剂[7-8]、超临界流体技术制备纳米小分子[9]、采用气流粉碎制备超细粉[10],超临界反溶剂法制备超细粉体[11-13]等方法。然而超临界流体法耗能严重[14],增溶剂的添加会导致化合物的结构发生变化[15],气流粉碎对环境污染较严重[16]等缺点,黄雅丽等[17]采用旋转蒸发法制备了大豆素与聚乙烯吡咯烷酮(PVP)的固体分散体,明显提高大豆素的溶解度,但固体分散体存在物理稳定性较差的问题[18]。反溶剂法是一种新型的超微粉制备方法,它具有环保节能、粉体粒度较小和简单便捷的特点[19-20],Li等[21]对鞣花酸进行了微粉化处理,研究了反溶剂沉淀过程中各种实验参数对鞣花酸微粉悬浮液平均粒径和理化性质的影响,通过微粉与原粉比较,保持相同的化学结构的同时,使纳米粉的结晶度大大降低,同时大大提高了活性物质的生物活性。由于超声波具有较好的空化作用,使得溶液体系内部分子之间碰撞加速[22],本研究在此前研究基础上添加了超声辅助环节,采用超声辅助-反溶剂法制备超微粉,通过超声辅助-反溶剂重结晶体系,调节结晶过程中的不同条件,制备出均匀分布且分散性良好的大豆素超微粉。
2 材料与方法 2.1 材料与试剂大豆素,纯度≥98% 上海阿拉丁生化科技股份有限公司;不锈钢喷嘴,300、400、500、600、700 μm,佛山格强塑胶五金有限公司;无水乙醇,纯度≥99.5%,天津富宇精细化工有限公司;二甲基亚酰胺(N, N-Dimethylformamide,DMF),纯度≥99%,上海源叶生物科技有限公司;1, 1-二苯基-2-三硝基苯肼和2, 2-双偶氮-双(3-乙基-苯并噻唑-6-磺酸)二铵盐,北京索莱宝科技有限公司;过氧化氢、硫酸亚铁、过硫酸钾、铁氰化钾、磷酸氢二钠、氯化铁、三氯乙酸、磷酸二氢钠,天津宝坻化工有限公司,上述不同试剂纯度≥99.5%。
2.2 仪器与设备反溶剂装置,东北农业大学研制开发;DHG-9240A型电热鼓风干燥箱,西安常仪科学仪器有限公司;KJ-1340AL型超声机,科洁设备制造有限公司;FSH-2A型均质机,常州亿能设备制造有限公司;NKCP-B08B蠕动泵,卡默尔设备制造有限公司。
2.3 方法 2.3.1 大豆素超微粉制备参考Yang等方法[23],称取一定量的大豆素原药于圆底烧瓶中,加入二甲基亚酰胺使其溶解,将溶液在一定喷孔范围喷射,置于超声环境下高速搅拌体系的反溶剂中,两相溶液混合瞬间产生沉淀,过滤、沉淀、干燥,得到大豆素超微粉。具体的制备装置如图 1所示。
|
图 1 制备大豆素超微粉的反溶剂装置示意图 Fig.1 Schematic diagram of the anti-solvent setup for daidzein ultrafine powder preparation 1. ultrasonic water bath 2. stirring rotor 3. nozzle 4. homogenizer 5. peristaltic pump 6. daidzein solution |
以大豆素超微粉粒径为指标,确定各研究因素不同范围,分别在超声功率为72~180 W、质量浓度为5~25 mg⋅mL−1、喷嘴孔径为300~700 μm、转速为1 000~5 000 r⋅min−1、反溶剂-溶剂的体积比(液液比)V1: V2为1:3~1:15的溶液、进料速度为1~5 mL⋅min−1的条件下进行单因素试验,获得并测定大豆素超微粉粒径,以最小粒径为结果,进行下一步分析。
2.3.3 响应面试验设计为进一步研究各变量相互作用对粒径大小的影响,用响应面法进一步优化制备工艺。单因素的初步研究结果为响应面优化的范围提供了指导,基于响应面优化设计(box-behnken design,BBD),选择对粒径影响较大的3个因素:超声功率X1、溶液质量浓度X2、喷嘴孔径X3进行响应面分析试验。试验因素水平和编码见表 1。
|
|
表 1 响应面试验因素和水平 Table 1 Factors and levels of response surface analysis experiments |
采用扫描电子显微镜分析大豆素的形貌及粒径,将双面铜导电胶粘在样品台上,然后将少量的大豆素样品粘在双面铜导电胶上,在样品表面喷涂一层纳米金属颗粒:电流为50 mA、时间为30 s,或电流为3 mA、时间为6 min,在样品室中观察喷金处理过的样品,然后在加速电压15和20 kV的条件下分别采集其扫描电镜图像。
2.4.2 红外光谱检测将190 mg溴化钾(KBr)和2 mg大豆素原粉混合,在红外干燥箱中干燥2 min,相同方向下研磨后压片,在400~5 000 cm−1进行红外扫描分析,分辨率为2 cm−1。
2.4.3 差示扫描量热法检测采用差示扫描量热法(differential scanning calorimeter,DSC)检测大豆素原粉与超微粉,在密封坩埚中称量样品重量,将样品均匀分散平铺在样品皿中,然后将其放入样品池中进行测试。开始通入氮气,检测条件为:通气体积流量为50 mL⋅min−1,温度为30~600 ℃,升温速率为10 ℃⋅min−1。
2.4.4 溶剂残留测定将制备的大豆素粉体按照10 mg⋅mL−1的质量浓度分散到正己烷(色谱级,纯度≥99%)中,在室温条件下超声30 min,过滤0.45 μm的滤膜,取澄清的上清液为待测样品。采用HP-5毛细管柱(质量分数为5%苯基甲基硅氧烷,30 m×320 μm×0.25 μm)进样检测样品,初始温度为40 ℃,保持5 min后以10 ℃⋅min−1的速率升高到240 ℃,检测器温度为280 ℃。在H2的体积流量为30 mL⋅min−1、空气的体积流量为400 mL⋅min−1、N2的体积流量为2.2 mL⋅min−1的条件下进样,记录峰面积并计算溶剂残留含量。
2.5 粉体活性 2.5.1 抗氧化能力测定参考Chen等[15]的方法检测样品的1, 1-二苯基-2-三硝基苯肼(1, 1-diphenyl-2-picrylhydrazyl,DPPH)清除能力。准确称取DPPH 25.76 mg,在容量瓶中用质量分数为50% 的乙醇溶液定容到100 mL,得到浓度为0.65 mmol⋅L−1的DPPH储备液,避光冷藏备用。设计3组试验样品,大豆素原粉和同等质量的大豆素超微粉,维生素C(Vitamin C,Vc)用作阳性对照。用pH=6.9的磷酸盐缓冲溶液(phosphate buffered saline,PBS)配制5个质量浓度梯度的样品:0.062 5、0.125、0.25、0.5、1 mg⋅mL−1。在517 nm紫外光谱条件下试验3次,取平均值,计算DPPH自由基清除率。
| $ \mathrm{SC}_{1}=\frac{\left({A}_{0}-{A}_{\text{t}}\right)}{{A}_{0}}\times 100\% $ | (1) |
式中:SC1为DPPH自由基清除率,%;A0为初始吸光度,AU;At为60 min时的吸光度,AU。
参考Kim等[24]的方法,将2, 2-联氮-二(3-乙基-苯并噻唑-6-磺酸)二铵盐(2, 2'-Azinobis-(3- ethylbenzthiazoline-6-sulphonate),ABTS)溶解在50 mL磷酸盐缓冲液中,制备7 mmol⋅L−1 ABTS储备溶液,加入浓度为2.45 mmol⋅L−1的过硫酸钾高硫酸钾,ABTS溶液用PBS稀释,在734 nm处获得0.70 nm的吸光度。采用Vc为阳性对照。室温下反应5 min,在734 nm处用紫外分光光度计测定吸光值,平行试验3次,PBS作为空白对照,计算ABTS自由基清除率。
| $ \mathrm{SC}_{2}=\left(1-\frac{{A}_{\text{s}}}{{A}_{\text{c}}}\right)\times 100\% $ | (2) |
式中:SC2为ABTS自由基清除率,%;As为样本吸光度,AU;Ac为空白对照吸光度,AU。
2.5.2 模拟胃肠道吸收高效液相色谱分析大豆素样品的溶解度。色谱柱为Agilent Zorbax Eclipse Plus C18 (4.6 mm×100 mm,5 μm,Agilent Technologies Inc.,美国);流动相: 甲醇的混合水溶液中磷酸的体积分数为0.1%,体积流量为1 mL⋅min−1,检测波长为250 nm,进样10 μL,运行15 min。大豆素样品分散在pH=1.8的人工胃液和pH=6.8的人工小肠液中;以10 000 r⋅min−1的转速离心5 min,置入Slide-A-Lyzer®透析袋中(相对分子质量3 500,Thermo Fisher Science,Waltham,MA,美国);待到一定时间后,取上清液2 mL过滤0.45 μm膜,采用高效液相色谱测定其质量分数,实验重复3次,取平均值。
3 结果与分析 3.1 不同因素对大豆素超微粉粒径的影响图 2为不同因素对大豆素超微粉的粒径影响,从图中可以看出,当其他因素恒定不变时,超声功率增加,空化强度的增加有利于小尺寸的颗粒生成[21],但过大的功率会导致体系内耗能增高。当功率为144 W时得到的大豆素粒径较小,当功率继续增加至180 W时,粒径变化无显著差异,因此选取超声功率为144 W时进行下一步实验优化;当溶液质量浓度从5增加到15 mg⋅mL−1的过程中,大豆素粒径逐渐减小。但溶液质量浓度增加到20 mg⋅mL−1后,大豆素粒径反而增加,这可能是由于反应过程中的微粒数量增多,颗粒间聚集的风险增加,导致颗粒的粒径增大[23]。当喷嘴孔径由300增大至400 μm时,得到的微粉粒径较小,当喷孔直径大于500 μm时,粒径递增,因此选取300~500 μm的范围进行下一步优化;在实验设定的1 000~5 000 r⋅min−1转速范围内,大豆素粒径呈先减小后增大的趋势,3 000 r⋅min−1时达到最小值,因此选取3 000 r⋅min−1进行下一步优化。合适的液液比可以降低粒径尺寸,同时节能环保,当液液比为9时,粒径达到最小;但是当液液比继续增大时,大豆素的粒径反而逐渐增大,大豆素的粒径随溶液比例呈先减小后增大的趋势,在液液比为9时粒径达到235 nm,因此选取液液比9为下一步优化的水平。在进料体积流量为1∼5 mL⋅min−1内考察反应生成大豆素的粒径范围,随着体积流量增加,大豆素粒径首先是减小的趋势,但是在大于4 mL⋅min−1时,大豆素的粒径反而增大,这可能是由于较快的进料速度会增加粒子之间的摩擦,造成粘连和团聚,因此选取体积流量4 mL⋅min−1为最佳试验条件[23]。
|
图 2 各因素对粒径的影响 Fig.2 The influence of various factors on particle size |
根据上述单因素实验,本研究选择对反溶剂体系较为显著的3个因素:超声功率(X1)、溶液质量浓度(X2)和喷嘴孔径(X3)进一步优化实验,采用Origin 2019软件作图对单因素提取结果进行方差分析,结果表示为平均值±标准偏差(P < 0.05为显著水平,P < 0.01为极显著水平)。
3.2 响应面结果分析根据3.1节单因素实验选择最佳因素:超声功率,溶液质量浓度和喷嘴孔径进一步响应面优化实验,响应面结果见表 2。
|
|
表 2 响应面拟合回归方程的方差分析结果 Table 2 Analysis of variance of response surface fitting regression equation |
利用Design-Expert 10.0.1软件对实验数据进行统计分析,得到二次多项式回归方程:
| $ Y = 189.87 - 26.31{X_1} - 17.88{X_2} - 12.54{X_3} + 0.59{X_1}{X_2} - 1.57{X_1}{X_3} + 1.11{X_2}{X_3} + 22.51X_1^2 + 47.308X_2^2 + 27.45X_3^2 $ | (3) |
回归方程的方差分析结果如表 2所示。其中,各变量对响应值影响的显著性高低可用F值来检验。F越大,相应变量的显著程度越高。模型显著性检验P < 0.05,说明该模型具有统计学意义[25]。从表 2可以看出,工艺条件对粒径影响大小顺序为:超声功率 > 溶液质量浓度 > 喷嘴孔径(X1 > X2 > X3),能够解释试验99.68% 的响应值变异[26],与预测相关系数(Pred R2)也接近,说明此实验模型与真实数据拟合程度良好,具有实践指导意义[26],由此可以用该模型来分析和预测粒径最优制备工艺。
3.2.2 响应曲面优化过程不同因素条件对粒径的影响如图 3所示。超声功率和溶液质量浓度的交互作用对粒径的影响呈抛物面分布。当超声功率一定时,随着溶液质量浓度的增加,粒径先减小后增大。同理,当溶液质量浓度不变时,随着超声功率的提高,粒径也呈先减后增的规律。相较而言,超声功率方向曲面波动幅度更大,其对粒径影响比溶液质量浓度更加显著。仅考虑二者作用下的最优工艺组合为:超声功率为144~180 W,溶液质量浓度为14~18 mg⋅mL−1。图 3(b)交互作用中,超声功率方向曲面波动幅度较大,表明交互作用中超声功率对粒径的影响较喷嘴孔径影响显著[27]。粒径随超声功率和喷嘴孔径的增加均呈先减后增,取适中水平:喷嘴孔径为 350~400 μm,该组合条件下的粒径最小,实际工艺控制对结果比较有利。由图 3(c)可知,溶液质量浓度为粒径的敏感影响因子,引起曲面波动较大,当溶液质量浓度取14~18 mg⋅mL−1、喷嘴孔径取350~400 μm时,产物粒径较小,因此应该在这个范围优化工艺参数。
|
图 3 各因素对大豆素超微粉粒径的响应曲面图 Fig.3 Response surface diagrams of factors affecting daidzein particle sizes |
进一步确定全局最优解,以粒径最小为优化目标,粒径在超声功率、溶液质量浓度、喷嘴孔径的共同影响下的最优工艺为:超声功率为144 W、溶液质量浓度为15.83 mg⋅mL−1、喷嘴孔径为334.23 μm,在此条件下模型预测的粒径为188.5 nm。
3.2.3 验证试验根据软件预测结果,结合实际工艺设置,取超声功率为144 W、溶液质量浓度为15.8 mg⋅mL−1、喷嘴孔径为300 μm为条件进行3次重复试验,得平均粒径为188 nm,与模型预测的结果接近[27]。
3.3 大豆素的形貌及粒径图 4为扫描电镜下的大豆素原粉和超微粉微观结构;大豆素原粉的颗粒粒径较大,颗粒形状不规则;经过反溶剂法制备后的超微粉粒径明显减小,并且粒径分布相对均匀,大部分粒子小于200 nm,上述现象可能是由于在反溶剂重结晶过程中,大豆素粉体充分溶解在有机溶剂中,经过高速匀浆过程发生激烈碰撞,重结晶后生成相对规则的颗粒形貌,粒径变小,因此反溶剂重结晶法可以用来制备超微粉体[28]。
|
图 4 扫描电镜下的原粉和超微粉 Fig.4 SEM micrographs of raw daidzein and ultrafine powder |
大豆素提取物原粉和大豆素超微粉的红外检测光谱图如图 5所示。从图中可以看出,两者的红外吸收峰(A为原粉,B为超微粉)的轮廓趋势基本相同。这说明超声辅助反溶剂重结晶制备的超微粉和原粉相比没有发生化学性质的改变。
|
图 5 大豆素原粉(A)和超微粉(B)的红外光谱图 Fig.5 Infrared spectra of raw daidzein powder (A) and ultrafine powder (B) |
图 6为大豆素原粉与超微粉DSC吸热曲线结果。由图 6可知,在220和240 ℃左右超微粉出现小的吸收峰,这可能是由于超微粉中存在少量的溶剂残留,导致在加热过程中热力学曲线发生小的杂峰;但制备前后的大豆素样品吸热曲线几乎一致;因此反溶剂法制备的大豆素样品没有发生性质的改变[29]。
|
图 6 大豆素原粉(A)和超微粉(B)的DSC图谱 Fig.6 DSC curves of raw daidzein (A) and ultrafine powder(B) |
DMF是一种低毒溶剂[30-31],虽然经过了3次的离心洗涤,仍会存在少量的溶剂残留。本研究采用气相色谱法对样品中DMF的残留进行检测。大豆素超微粉的气相色谱图如图 7所示。图中UV为紫外吸收值,标准曲线的回归方程为
| $ y = 3 \times {10^6}x + {147_{}}{108_{}}\left( {{R^2} = 0.998{}_{}9} \right) $ | (4) |
|
图 7 大豆素超微粉中DMF残留的气相色谱 Fig.7 GC spectrum of DMF residues in ultrafine daidzein powder |
式中:x为DMF的残留量;y为峰面积。
根据回归方程计算出DMF在大豆素超微粉的残留量是780×10−6,低于人用药品技术要求国际协调理事会(the international council for harmonisation of technical requirements for pharmaceuticals for human use,ICH) 的2级溶剂残留标准(DMF < 880×10−6)[32],因此溶剂残留符合标准,制备后的大豆素超微粉可以用于制药领域。
3.7 抗氧化能力结果分析图 8显示了大豆素原粉、超微粉以及Vc的自由基清除率随质量浓度的变化趋势。当大豆素超微粉和原粉的质量浓度逐渐增加时,大豆素清除DPPH自由基的能力也逐渐增强。在质量浓度为0.015 mg⋅mL−1时,大豆素原粉的清除率为(8.20±1.23)%,大豆素超微粉的清除率为(10.20±0.71)%;当质量浓度增加到最大值时,大豆素原粉的清除率为(12.40±1.86)%,而大豆素超微粉的清除率为(60.98±4.27)%,对照组Vc的清除率是(95.00±4.75)%,此浓度下大豆素超微粉的清除率是大豆素原粉的4.92倍。所以大豆素超微粉对DPPH自由基的清除力更强,比原粉有更好的DPPH清除能力。图 8(b)显示3种样品的羟自由基清除率随质量浓度的变化趋势,在较低浓度时对照样品Vc就显示出了一定的清除羟自由基活性[32],大豆素超微粉及原粉清除活性较弱。随着质量浓度的提高,Vc和大豆素超微粉对自由基的清除活性逐渐增强,而大豆素原粉的清除自由基活性不明显。当质量浓度达到1 mg⋅mL−1时,大豆素超微粉羟自由基清除率为(60.90±4.26)%。Vc在低浓度时就显示出较强的ABTS自由基清除活性,而大豆素样品对ABTS自由基清除率呈现出剂量依赖性的增加。当大豆素超微粉质量浓度达到1 mg⋅mL−1时,对ABTS自由基的清除率为(50.28±3.52)%;与原粉相比,大豆素超微粉的抗氧化活性进一步提高,这使其在食品加工和应用中更具优势[33-34]。
|
图 8 不同质量浓度样品的自由基清除率 Fig.8 Free radical scavenging rates of samples with different concentrations |
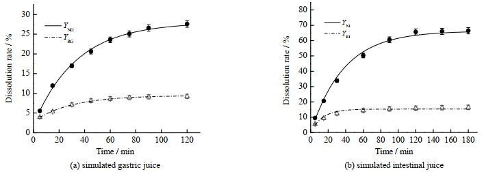
如图 9所示为大豆素样品的模拟胃肠道吸收图,由图 9可知:大豆素样品在模拟胃液和肠液中的溶解率随时间的推移而最终达到平衡状态;大豆素样品在模拟胃液中的超微粉和原粉拟合曲线方程分别为式(5)和(6),在模拟肠液中的超微粉和原粉拟合曲线方程分别为式(7)和(8)。
| $ {Y_{\rm NG}} = 27.99 - 26.02 \times {0.97^t} $ | (5) |
| $ {Y_{\rm RG}} = 9.45 - 6.56 \times {0.97^t} $ | (6) |
| $ {Y_{\rm NI}} = 69.43 - 66.65 \times {0.98^t} $ | (7) |
| $ {Y_{\rm RI}} = 15.99 - 12.9 \times {0.96^t} $ | (8) |
|
图 9 大豆素样品的模拟胃肠道吸收 Fig.9 Simulated gastrointestinal absorption of daidzein sample |
式中:t为吸收时间,min;YNG、YRG分别为大豆素超微粉和原粉在模拟胃液中的溶解度,mg⋅mL−1;YNI、YRI分别为超微粉和原粉在模拟肠液中的溶解度,mg⋅mL−1。
图 9(a)是大豆素原粉、超微粉在37 ℃模拟胃液中的溶解度分别为(2.04±0.17)、(7.09±0.09) mg⋅mL−1,超微粉的溶解度是原粉的3.47倍。图 9(b)是大豆素原粉、超微粉在37 ℃模拟肠液中溶解度分别为(2.92±0.12)、(15.99±0.3) mg⋅mL−1,超微粉的溶解度是原粉的5.48倍。图中溶解率为大豆素样品的溶解度与溶剂溶解度(25 mg⋅mL−1)的比值。根据Oswald-Freundlich方程,粒径减小也导致了溶解度的增加,这在反溶剂沉淀过程中起到了很好的分散作用,因此粒径小的大豆素超微粉具有更高的溶解性和生物利用度[35];上述研究表明:大豆素超微粉比大豆素原粉具有更高的模拟胃肠液溶解度。这一现象可能是以下2个原因:大豆素的超微粉比表面积的增加可能会提高溶解速率;此外与原粉相比,超微粉具有更好的扩散性能,这可能是由于重结晶后存在少量的分子间间隙,从而提高了溶解速率。
4 结论本研究以大豆素为研究对象,采用超声辅助-反溶剂法制备大豆素超微粉。以粒径为指标,在超声功率为144 W、喷嘴孔径为300 μm、均质转速为3 000 r⋅min−1、液液体积比为9的条件下制得的大豆素超微粉最小粒径为188 nm,与大豆素原粉相比,大豆素超微粉的DPPH清除率是大豆素原粉的4.92倍,大豆素超微粉的羟自由基清除率为(60.90±4.26)%;与原粉相比,大豆素超微粉的抗氧化活性指标得到显著提高;制备的大豆素超微粉的模拟胃肠吸收率均高于大豆素原粉,其中,大豆素超微粉在模拟胃液中溶出度是原粉的3.47倍,在模拟肠液中溶出度是原粉的5.48倍。综上所述,同大豆素原粉相比,超声辅助-反溶剂法制备的大豆素超微粉具有更好的功能性和较高的生物利用率,能够为医药保健业的新药开发提供理论依据,具有很好的应用前景。
| [1] |
张亚楠. 大豆营养成分研究进展[J]. 现代农村科技, 2017(10): 64-65. ZHANG Y N. Advances in studies on nutritional components of soybean[J]. Modern Rural Science and Technology, 2017(10): 64-65. |
| [2] |
LI S, JIN Z Y, HU D J, et al. Effect of solid-state fermentation with Lactobacillus casei on the nutritional value, isoflavones, phenolic acids and antioxidant activity of whole soybean flour[J]. LWT, 2020, 125: 109264. DOI:10.1016/j.lwt.2020.109264 |
| [3] |
赵悦, 童津津, 熊本海, 等. 大豆异黄酮在奶牛生产中的研究进展[J]. 动物营养学报, 2019, 31(7): 2999-3003. ZHAO Y, TONG J J, XIONG B H, et al. Research progress of soybean isoflavones in dairy cows production[J]. Chinese Journal of Animal Nutrition, 2019, 31(7): 2999-3003. |
| [4] |
李硕, 王建. 大豆异黄酮临床应用的研究进展[J]. 大豆科学, 2020, 39(4): 633-640. LI S, WANG J. Research progress on the clinical application of soybean isoflavones[J]. Soybean Science, 2020, 39(4): 633-640. |
| [5] |
BOLUS L, WANG K, PASK C, et al. Cocrystallisation of daidzein with pyridine-derived molecules: Screening, structure determination and characterization[J]. Journal of Molecular Structure, 2020, 1222: 128893. DOI:10.1016/j.molstruc.2020.128893 |
| [6] |
BHALLA Y, CHADHA K, CHADHA R, et al. Daidzein cocrystals: an opportunity to improve its biopharmaceutical parameters[J]. Heliyon, 2019, 5(11): 2669. |
| [7] |
BOUYAHYA A, BAKRI Y, ET-TOURS A, et al. In vitro antiproliferative activity of selected medicinal plants from the North-West of Morocco on several cancer cell lines[J]. European Journal of Integrative Medicine, 2018, 18: 23-29. DOI:10.1016/j.eujim.2018.01.001 |
| [8] |
RABTI H, SALMANI J M M, ELAMIN E S, et al. Carbamazepine solubility enhancement in tandem with swellable polymer osmotic pump tablet: A promising approach for extended delivery of poorly water-soluble drugs[J]. Asian Journal of Pharmaceutical Sciences, 2014, 9(3): 146-154. DOI:10.1016/j.ajps.2014.04.001 |
| [9] |
彭虎红, 芮金州, 关怡新, 等. 超临界CO2一步法制备载盐酸阿霉素和紫杉醇壳聚糖纳米粒[J]. 高校化学工程学报, 2022, 36(1): 76-84. PENG H H, RUI J Z, GUAN Y X, et al. One-step preparation of doxorubicin hydrochloride and paclitaxel co-loaded chitosan nanoparticles using supercritical carbon dioxide[J]. Journal of Chemical Engineering of Chinese Universities, 2022, 36(1): 76-84. |
| [10] |
BAZZO G C, PEZZINI B R, STULZER H K. Eutectic mixtures as an approach to enhance solubility, dissolution rate and oral bioavailability of poorly water-soluble drugs[J]. International Journal of Pharmaceutics, 2020, 588: 119741. DOI:10.1016/j.ijpharm.2020.119741 |
| [11] |
陈畅, 詹世平, 张苗苗, 等. 应用超临界反溶剂技术制备吸入式给药微粒[J]. 高校化学工程学报, 2011, 25(3): 470-474. CHEN C, ZHAN S P, ZHANG M M, et al. Preparing microparticles for inhalation drug delivery by supercritical antisolvent process[J]. Journal of Chemical Engineering of Chinese Universities, 2011, 25(3): 470-474. |
| [12] |
刘学武, 李志义, 夏远景, 等. 超临界反溶剂过程制备银杏叶提取物超细微粒[J]. 高校化学工程学报, 2005, 19(4): 550-553. LIU X W, LI Z Y, XIA Y J, et al. Supercritical antisolvent precipitation of GBE microparticles[J]. Journal of Chemical Engineering of Chinese Universities, 2005, 19(4): 550-553. |
| [13] |
ABUZAR S M, HYUN S M, KIM J H, et al. Enhancing the solubility and bioavailability of poorly water-soluble drugs using supercritical antisolvent (SAS) process[J]. International Journal of Pharmaceutics, 2018, 538(1/2): 1-13. |
| [14] |
汪美汐, 胡佳文, 马丽, 等. 超声波法提取异黄酮的研究进展[J]. 大豆科学, 2015, 34(4): 717-722. WANG M X, HU J W, MA L, et al. Research progress on isoflavon extraction by ultrasonic method[J]. Soybean Science, 2015, 34(4): 717-722. |
| [15] |
CHEN X, LI L, HAN C. Borate suppresses the scavenging activity of gallic acid and plant polyphenol extracts on DPPH radical: A potential interference to DPPH assay[J]. LWT, 2020, 131: 109769. DOI:10.1016/j.lwt.2020.109769 |
| [16] |
HWANG C E, KIM S C, LEE H Y, et al. Enhancement of isoflavone aglycone, amino acid, and CLA contents in fermented soybean yogurts using different strains: screening of antioxidant and digestive enzyme inhibition properties[J]. Food Chemistry, 2021, 340: 128199. DOI:10.1016/j.foodchem.2020.128199 |
| [17] |
黄雅丽, 林志彬, 郭璐倩. 大豆素固体分散体的制备及溶解性能研究[J]. 井冈山大学学报(自然科学版), 2021, 42(1): 20-25. HUANG Y L, LIN Z B, GUO L Q. Study on preparation and dissolution properties of solid dispersions of daidzein[J]. Journal of Jinggangshan University (Natural Science), 2021, 42(1): 20-25. |
| [18] |
陈巧巧, 董爽, 王东凯. 固体分散体技术的研究进展[J]. 中国药剂学杂志(网络版), 2019, 17(4): 127-134. CHEN Q Q, DONG S, WANG D K. Research progress of solid dispersions techniques[J]. Chinese Journal of Pharmaceutics, 2019, 17(4): 127-134. |
| [19] |
LI Y, ZHAO X H, ZU Y G, et al. Preparation and characterization of micronized ellagic acid using antisolvent precipitation for oral delivery[J]. International Journal of Pharmaceutics, 2015, 486(1/2): 207-216. |
| [20] |
胡婷婷, 乐园, 降立川, 等. 反溶剂重结晶法制备布地奈德超细颗粒及其肺部给药体外评价[J]. 高校化学工程学报, 2009, 23(1): 99-104. HU T T, LE Y, JIANG L C, et al. Preparation of budesonide ultra-fine particles by antisolvent recrystallization and their in vitro evaluation for pulmonary delivery[J]. Journal of Chemical Engineering of Chinese Universities, 2009, 23(1): 99-104. |
| [21] |
LI C Y, ZHAO C G, MA Y, et al. Optimization of ultrasonic-assisted ultrafiltration process for removing bacterial endotoxin from diammonium glycyrrhizinate using response surface methodology[J]. Ultrasonics Sonochemistry, 2020, 68: 105215. |
| [22] |
DONG H, ZHANG Q, GAO J, et al. Preparation and characterization of nanoparticles from cereal and pulse starches by ultrasonic-assisted dissolution and rapid nanoprecipitation[J]. Food Hydrocolloids, 2022, 122: 107081. |
| [23] |
YANG Q, ZU C, LI W, et al. Enhanced water solubility and oral bioavailability of paclitaxel crystal powders through an innovative antisolvent precipitation process: Antisolvent crystallization using ionic liquids as solvent[J]. Pharmaceutics, 2020, 12(11): 1008. |
| [24] |
KIM D H, YANG W T, CHO K M, et al. Comparative analysis of isoflavone aglycones using microwave-assisted acid hydrolysis from soybean organs at different growth times and screening for their digestive enzyme inhibition and antioxidant properties[J]. Food Chemistry, 2020, 305: 125462. |
| [25] |
ASFARAM A, DIL E A, ARABKHANI P, et al. Magnetic Cu: CuO-go nanocomposite for efficient dispersive micro-solid phase extraction of polycyclic aromatic hydrocarbons from vegetable, fruit, and environmental water samples by liquid chromatographic determination[J]. Talanta, 2020, 218: 121131. |
| [26] |
LV X J, LIN J H, LUO L, et al. Enhanced enzymatic saccharification of sugarcane bagasse pretreated by sodium methoxide with glycerol[J]. Bioresource Technology, 2018, 249: 226-233. |
| [27] |
WANG Z J, JIA Y N, SONG W K, et al. Optimization of boron adsorption from desalinated seawater onto UiO-66-NH2/GO composite adsorbent using response surface methodology[J]. Journal of Cleaner Production, 2021, 300: 126974. |
| [28] |
赵修华, 刘影, 王卫国, 等. 微粉化反式肉桂酸的反溶剂重结晶法制备与表征[J]. 中草药, 2014, 45(15): 2165-2171. ZHAO X H, LIU Y, WANG W G, et al. Preparation and characterization of micropowdered trans-cinnamic acid by reverse solvent recrystallization[J]. Chinese Traditional and Herbal Medicines, 2014, 45(15): 2165-2171. |
| [29] |
黄雅兰, 王佳辉, 陈麟, 等. 反溶剂超声法制备叶黄素纳米晶体及体内外评价[J]. 西北药学杂志, 2021, 36(6): 946-951. HUANG Y L, WANG J H, CHEN L, et al. Preparation of lutein nanocrystals by anti-solvent ultrasonic method and evaluation in vivo and in vitro[J]. Northwest Pharmaceutical Journal, 2021, 36(6): 946-951. |
| [30] |
WEN H Q, SU Y, WANG Z H, et al. A systematic modeling methodology of deep neural network‐based structure‐property relationship for rapid and reliable prediction on flashpoints[J]. AIChE Journal, 2022, 68(1): e17402. |
| [31] |
WANG Z H, WEN H Q, SU Y, et al. Insights into ensemble learning-based data-driven model for safety-related property of chemical substances[J]. Chemical Engineering Science, 2022, 248: 117219. |
| [32] |
FOUQUE J, RUSU T, HUGUET S, et al. Ultra‐fast liquid chromatography method coupled with ultraviolet detection to quantify dimethylsulfoxide, dimethylformamide and dimethylacetamide in short half‐lives radiopharmaceuticals[J]. Journal of Labelled Compounds and Radiopharmaceuticals, 2021, 64(11): 440-446. |
| [33] |
ZHANG K, DING Z D, MO M M, et al. Essential oils from sugarcane molasses: Chemical composition, optimization of microwave-assisted hydrodistillation by response surface methodology and evaluation of its antioxidant and antibacterial activities[J]. Industrial Crops and Products, 2020, 156: 112875. |
| [34] |
梁峰, 王巧利, 王一飞. 艾草抗氧化活性成分研究进展[J]. 中国野生植物资源, 2020, 39(10): 61-66. LIANG F, WANG Q L, WANG Y F. Research progress on antioxidant active components of artemisia argyi[J]. Chinese Wild Plant Resources, 2020, 39(10): 61-66. |
| [35] |
CHIANG P C, SOUTH S A, FOSTER K A, et al. Utilizing a novel tandem oral dosing strategy to enhance exposure of low-solubility drug candidates in a preclinical setting[J]. Journal of Pharmaceutical Sciences, 2010, 99(7): 3132-3140. |


