多喷嘴对置式(OMB)水煤浆气化技术因操作方便、易于控制、操作安全、技术指标先进等优点得到广泛应用,成为水煤浆煤气化技术的代表[1-4]。新型洗涤冷却室是OMB气化技术的重要组成部分。在洗涤冷却室中,冷却水通过洗涤冷却环均匀分布,并形成沿下降管壁垂直下降的液膜。液膜与气化室中产生的高温合成气并行流动,一方面实现高温粗煤气的洗涤、冷却和增湿,另一方面保护下降管免受频繁的热应力腐蚀。降膜流动由于优良而高效的传热效率而被广泛应用于其他领域[5-9]。许多学者已经表明,对于不同的液膜统计参数,液膜到达稳定区域所需的流动距离是不同的[10-12]。对于湍流降膜,高液膜雷诺数可能是液膜发展距离较长的主要原因[13]。Takahama等[14-17]利用针接触法和电容探针研究了沿垂直圆管外壁流动的纯液体降膜,发现液膜的流动距离和雷诺数对流动特性,如流动形态、厚度分布和临界雷诺数有显著影响。通常,液膜雷诺数的增加将增加液膜的平均厚度,但这种增加是有限的。当液膜雷诺数较低时,液膜瞬时厚度与正弦波相似。随着液膜雷诺数的增加,液膜的波动增加,变得更加混沌,导致液膜稳定性降低,并可能超出壁面[18]。此外,流动距离的增加也会增加液膜的波动。气相剪切也是影响液膜厚度分布的重要因素。平行气速的增加将减小液膜的平均厚度,但增加液膜的稳定性[19]。液膜的速度分布,特别是液膜中的速度分布是影响液膜传热传质性能的最重要因素,这对于揭示液膜的传热传质机理具有重要意义。液膜的传热传质能力在很大程度上取决于液膜波动引起的流体动力混合[20-22]。Åkesjo等[23]分析还表明,液膜波动引起的回流将使液膜体积混合,并对液膜的传热产生积极影响。界面波引起的液膜传质能力的增强,促进了液膜内层与自由界面之间的热交换,从而提高了液膜的传热能力。Kapitza指出,液膜有效厚度的减小是传热增强的主要原因。Jayanti等[24]还指出,液膜传热系数的增加主要是由于界面波使液膜厚度减小所致。
虽然对垂直降膜的研究很多,但对于圆管内降膜的波动特性,特别是在高雷诺数情况下,液膜分布器以及下降管的结构参数对于液膜波动特性的影响的研究较少。因此从影响下降管液膜分布因素出发,定量讨论不同槽缝宽度、管径、摩擦系数和气液接触角对液膜波动特性的影响。这一研究旨在为洗涤冷却室下降管内后续多相传热传质奠定基础,并为洗涤冷却室内的稳定高效运行提供理论依据。此外,许多研究表明,在没有气相诱导界面剪切的情况下,液膜流动过程中仍然存在表面波动[25-29]。因此,为了探索气体对液膜波动特性的具体影响,本研究还进行了气液两相流研究。为了消除固体颗粒和温度的影响,这里只研究了冷态条件下气液两相的流动特性。
2 实验与模拟 2.1 实验细节实验采用自建的洗涤冷却室内垂直圆管降膜流动实验平台,包括供水部分、流动实验部分和数据采集部分。水通过循环水泵从循环水箱中抽取至洗涤冷却环,然后沿着圆管内壁形成液膜,最后由储水箱收集完成循环。其中洗涤冷却环内部设有挡板以促进液膜的均匀分布,水的温度采用红外测温仪进行实时监测,具体实验细节参考之前的研究[30]。研究使用的液膜雷诺数Rel为3.46×104(进水口管径为19 mm),属于湍流降膜,工况条件见表 1,气液采用常温(298.15 K)常压下的物性参数。
|
|
表 1 工况条件参数 Table 1 Parameters of working conditions |
图 1为模型的网格独立性检验,采用1/4物理模型进行模拟计算,在满足精度的情况下缩短计算时间。从图 1中可以看出,随着网格数的增加,液膜厚度也增加,但增长速率逐渐降低。当网格数量增加到8.6×105时,液膜厚度几乎保持不变,因此选择网格数量约为8.6×105进行模拟计算[30]。
|
图 1 网格独立性检验 Fig.1 Grid independence verification |
为了简化模型,提出以下假设:
(1) 液相和气相温度,不随时间变化;
(2) 采用常温常压下两相的物性;
(3) 壁面和液膜之间无速度滑移;
(4) 气液相间无传热传质过程。
2.3.2 控制方程降膜流动的一个重要特征是气相和液相之间的自由界面波动,因此为了更好地捕捉自由界面,选择VOF模型进行计算[31]。
对于气液两相的计算,每个控制体积存在以下方程[32]。
| $ {\varphi _l} + {\varphi _{\rm{g}}} = 1 _{ } $ | (1) |
式中:φ1和φg分别为液相和气相体积分数,%。
密度ρ和黏度μ采用体积平均值计算:
| $ \rho = {\rho _l}{\varphi _l} + {\rho _{\rm{g}}}{\varphi _{\rm{g}}} $ | (2) |
| $ \mu = {\mu _l}{\varphi _l} + {\mu _{\rm{g}}}{\varphi _{\rm{g}}} $ | (3) |
式中:ρl和ρg分别为液相和气相密度,kg⋅m−3;μ为动力黏度,Pa⋅s;μl和μg分别为液相和气相的动力黏度,Pa⋅s[33]。
| $ {\rm{连续性方程}}: \;\; \;\; \;\; \;\; \frac{{\partial \rho }}{{\partial t}} + \nabla \cdot \left( {\rho \nu } \right) = 0 $ | (4) |
| $ {\rm{动量方程}}: \;\; \;\; \;\; \;\; \frac{\partial }{{\partial t}}\left( {\rho v} \right) + \rho v\nabla v = - \nabla \cdot p + \nabla \cdot \left[ {\mu \left( {\nabla v + \nabla {v^{\rm{T}}}} \right)} \right] + \rho g + F $ | (5) |
式中:t为时间,s;∇为哈密度算子;v为速度,m⋅s−1;p为压强,Pa;g为重力加速度,m⋅s−2;F为体积力,N。
在fluent中,通过brackbill的连续表面力(CSF)模型计算表面张力源项。由于此次研究计算为两相流,表面张力可表示为[34]
| $ {F_{}} = \sigma \frac{{\rho w\nabla \varphi }}{{1/2\left( {{\rho _l} + {\rho _{\rm{g}}}} \right)}} $ | (6) |
式中:σ为表面张力,N⋅m−1;w为液相吸收系数;φ为液相或气相体积分数,%。
RNG κ-ε模型考虑了平均流旋转和流场应变的影响,能够很好地反映流线弯曲和涡流现象。公式为
| $ \frac{\partial }{{\partial t}}\left( {\rho \kappa } \right) + \frac{\partial }{{\partial {x_i}}}\left( {\rho \kappa {u_i}} \right) = \frac{\partial }{{\partial {x_j}}}\left( {{\alpha _\kappa }{\mu _{{\rm{eff}}}}\frac{{\partial \kappa }}{{\partial {x_j}}}} \right) + {G_\kappa } + {G_b} - \rho \varepsilon - {Y_M} + {S_\kappa } $ | (7) |
| $ \frac{\partial }{{\partial t}}\left( {\rho \varepsilon } \right) + \frac{\partial }{{\partial {x_i}}}\left( {\rho \varepsilon {u_i}} \right) = \frac{\partial }{{\partial {x_j}}}\left( {{\alpha _\varepsilon }{\mu _{{\rm{eff}}}}\frac{{\partial \varepsilon }}{{\partial {x_j}}}} \right) + {C_{1\varepsilon }}\frac{\varepsilon }{\kappa }\left( {{G_\kappa } + {C_{3\varepsilon }}{G_b}} \right) - {C_{2\varepsilon }}\rho \frac{{{\varepsilon ^2}}}{\kappa } - {R_\varepsilon } + {S_\varepsilon } $ | (8) |
式中:
空气和水入口边界采用速度入口,出口采用压力出口边界条件。求解过程中采用PISO算法用于速度和压力的耦合。体积分数通过几何重建方案求解。动量、湍流动能和耗散率的残差值设置为10−4以下。除了根据残差判断收敛性,还需要检查进出口流量是否守恒,以及出口处的温度和速度等物理量是否保持稳定。CFD模型的求解设置如表 2所示。
|
|
表 2 CFD模型的求解设置 Table 2 Settings for the CFD model |
图 2显示了当Rel=3.46×104时模拟结果与实验数据之间的比较。图中δ为液膜厚度,模拟结果总是比实验数据小的原因是实验中存在的壁面剪切应力对液膜产生阻碍作用较大(实验有机玻璃材料的摩擦系数为0.8,而模拟时设置壁面摩擦系数为0.5),增加了液膜的堆积程度,从而导致液膜的厚度偏大。下降管入口处的液膜厚度误差分数E最大,为9.836%。随着轴向距离Z增加,误差值略有减小,在Z=0.5 m时,E降至5.992%。这表明模拟结果与实验结果吻合良好,验证了模型的准确性[30]。因此采用上述模拟方法对垂直降膜波动影响因素进行研究。
|
图 2 模拟和实验计算的液膜厚度对比 Fig.2 Comparison of simulated and experimental data of falling film thickness |
近年来,大量的理论和实验研究表明,液膜的流动特性,特别是气液界面的波动对液膜中的动量、传热和传质有很大影响[35-37]。液膜表面上的小振幅波有利于液膜的传热和传质。尽管已经研究了近半个世纪,但尚未获得界面波对气-液和液-固边界液膜中动量、热量和质量传递影响的普遍接受的机制。然而,波动液膜的传热和传质受到波动液膜不稳定流体动力学特性的影响,如液膜厚度、速度分布、湍流强度等[38]。
本研究通过优化洗涤冷却环的结构参数,进一步研究槽宽、管径、气液接触角、摩擦系数和空气流速对液膜波动特性的影响,为工业实际应用提供理论参考。根据液膜厚度(气液界面)从CFD中提取了液膜在Z轴方向的速度和湍流强度。值得注意的是,作者仅研究液相流动和气液两相流动,不涉及传热传质过程。
3.1 槽宽对垂直降膜波动特性的影响 3.1.1 不同槽宽下的液膜厚度Wei等[15]根据液膜的平均厚度将轴向分为入口区Ⅰ、发展区(膜厚度增加区Ⅱ和膜厚度减少区Ⅲ)和稳定区Ⅳ,并提出在区域Ⅰ中存在的临界液膜雷诺数为7.5×103。值得注意的是,此次研究的下降管长度与Wei等[15]的不同,因此区域划分的结果将不同。一般来说,当液相雷诺数一定时,随着管长的增加,液膜发展区域逐渐变长,稳定区靠后。
不同槽宽b的不同轴向位置的液膜厚度δ分布如图 3所示。结果表明,在气液接触角θ =0°时,液膜厚度随着轴向距离的增加而逐渐增加。图 3(a)显示,在相同轴向位置处,液膜厚度随着槽宽度的增加而略微增加。而图 3(b)中的液膜厚度几乎不随槽宽的增加而变化。根据液膜厚度的分布分为2个区域:入口区域和充分发展区域,分别对应于轴向距离Z为0~0.1 m和0.1~0.5 m。从图中可以看出,入口区域中液膜厚度的增加幅度较大。相反,液膜厚度在充分发展区域中稳定波动。当槽宽度b为2、2.5和3 mm时,液膜厚度远大于槽宽度。原因是液膜具有较大初始轴向速度和槽缝出口处形成的“射流”效应产生的径向速度的组合效应。此外,侧壁上的挡板将使液膜汇聚到下游中心,导致液膜厚度增加。相反,当槽缝宽度为3.5、4、4.5和5 mm时,入口区域中的液膜厚度略大于槽缝宽度,说明此时的液膜受“射流”效应的影响相对较弱,而充分发展区域中的液膜厚度呈现减小的趋势,因此将3.5 mm定义为临界槽宽度。
|
图 3 不同槽宽和不同轴向位置液膜厚度分布 Fig.3 Distribution of liquid film thickness at different slot widths and axial positions |
洗涤冷却管内液膜的速度分布对洗涤冷却室的稳定运行和高效传热有重要影响。液膜中有大小涡流,对液膜的传热传质也有重要影响[20, 22, 39]。关于液膜的速度分布,以往的研究主要集中在波动层流液膜或低湍流液膜在稳定区的流动特性以及特定条件下波浪中的流动结构,对高雷诺数下发展区湍流降膜的速度分布的研究相对较少。
不同槽宽的不同轴向位置的液膜速度vl分布如图 4所示。总体而言,液膜速度随着轴向距离的增加而增加,但增长率逐渐减小。在相同轴向位置,液膜速度随槽宽的增加而减小。其原因是液膜的重力加速度效应大于由壁面剪切应力τw和涡流黏度εm引起的摩擦阻力效应。然而,由于此次研究的是高湍流条件下充分发展区域内液膜的流动特性,因此液膜的波动非常剧烈。当槽宽为2.0 mm时,液膜速度波动显著,原因是槽宽太小时形成的液膜受固体壁的约束较大,当液膜从“无限空间”到“半无限空间”时,液膜波动加剧,因而速度波动较剧烈。
|
图 4 不同槽宽和不同轴向位置的液膜速度分布 Fig.4 Distribution of liquid film velocity at different slot widths and axial positions |
湍流强度是度量液膜速度脉动程度的一种标准。在热交换系统中,为了增强传热和湍流扩散,流体需要有大的湍流强度。Mudawar等[40]指出轴向速度分量决定了降膜的流动行为。
图 5显示液膜在不同槽宽、不同轴向位置的湍流强度IZ分布。从图 5中可以看出,随着轴向距离的增加,IZ先迅速下降,后波动性逐渐变大,尤其在出口处液膜波动最为剧烈。当槽宽为2.0 mm时,相应液膜的湍流强度呈现剧烈波动的趋势,表明该槽宽不利于形成良好稳定的液膜。根据IZ分布,轴向距离也分为2个阶段:入口区和充分发展区,分别对应0~0.1 m和0.1~0.5 m。从图中可以看出,入口区域液膜的IZ值降低幅度最大,表明液膜波动剧烈。原因是此处的液膜受到洗涤冷却环出口结构的影响较大。此外,从IZ变化量ΔIZ可以判断,当槽宽大于或等于3.0 mm时,ΔIZ较小,这表明适当增加槽缝宽度可以促进形成良好且稳定的液膜。
|
图 5 不同槽宽和不同轴向位置液膜的IZ分布 Fig.5 Distribution of liquid film IZ at different slot widths and axial positions |
选取为3.5 mm的槽缝宽度进行管径d对液膜波动特性的影响研究,不同管径的不同轴向位置的液膜厚度分布如图 6所示。从图 6中可以看出,入口区域0~0.01 m的液膜厚度突然增加。然后在入口区域0.01~0.1 m,相同轴向位置处的液膜厚度随着管径的增大而减小。原因是曲率半径较大的管道侧壁上的液膜倾向于沿周向扩散,并且管道直径越大,扩散越严重,导致形成的液膜稳定性差。相比之下,当管径为73 mm时,液膜厚度的减小幅度最小。同样,在充分发展区域也可以观察到相同的规律,因此73 mm管径是形成良好和稳定液膜的最佳选择。
|
图 6 不同管径和不同轴向位置液膜厚度分布 Fig.6 Distribution of liquid film thickness at different pipe diameters and axial positions |
不同管径d的轴向位置的液膜速度分布如图 7所示。由于槽缝出口处形成的“射流”效应和重力的共同影响,当管径为93 mm和113 mm时,入口区域0~0.01 m的液膜速度突然增加,后大幅度减小。原因是曲率半径较大的管道侧壁上的液膜倾向于周向扩散,且管径越大,扩散越严重,形成的液膜稳定性越差。相反,当d=73 mm时,液膜速度增加缓慢,符合连续性方程。
|
图 7 不同管径和不同轴向位置的液膜速度分布 Fig.7 Distribution of liquid film velocity at different pipe diameters and axial positions |
图 8显示了不同管径的不同轴向位置下液膜的轴向湍流强度IZ分布。从图 8中可以看出,随着轴向距离的增加,IZ首先迅速减小,后波动幅度不一。入口区液膜的IZ曲线降低幅度最大,表明液膜波动剧烈。原因是液膜受到洗涤冷却环出口结构的影响,这对应于图 6所示的膜厚度变化趋势。当管道直径大于73 mm时,侧壁流动的液膜的湍流强度剧烈波动,表明管径增大不利于形成良好且稳定的液膜。其原因是由曲率半径较大的管径形成的液膜倾向于周向扩散。相比之下,当管径为73 mm时,形成的液膜的湍流强度在充分发展区域呈现稳定的波动趋势,表明该管径有利于形成良好、稳定的液膜。
|
图 8 不同管径和不同轴向位置液膜的IZ分布 Fig.8 Distribution of liquid film IZ at different pipe diameters and axial positions |
根据上述关于槽宽和管径对液膜厚度分布影响的研究结果,选择可以显著促进良好、稳定且均匀液膜的结构参数(槽宽为3.5 mm,管径为73 mm)进行接下来的研究。
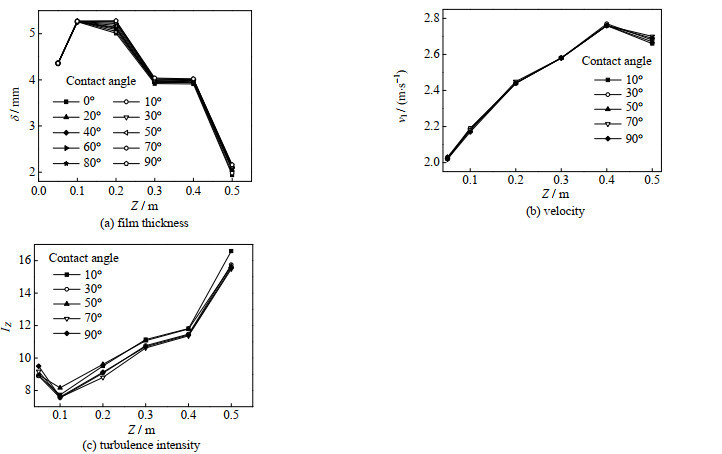
在流动过程中,降膜与气体的接触是动态的,因此气液接触角也会动态变化。当液膜较薄时,动态接触角等于静态接触角,因此研究中使用的接触角为常数。不同气液接触角的不同轴向位置的液膜厚度、速度和湍流强度分布如图 9所示。选择0.05、0.1、0.2、0.3、0.4和0.5 m的6个轴向固定点,分析气液接触角对液膜厚度、速度和湍流强度的影响。从图中可以看出,在0.05 m和0.1 m处的液膜受槽出口“射流”效应的影响很大,气液接触角对液膜厚度的影响可以忽略。随着轴向距离的增加,液膜受到“射流”效应逐渐削弱。此时,气液接触角对液膜厚度的影响逐渐突出。从图 9(a)中可以看出,随着气液接触角的增加,液膜的厚度略有增加。从图 9(b)可以看出,入口区域和充分发展区域之间的边界点处的液膜速度随着气液接触角的增大而略微减小。尽管随着轴向距离的增加,气液接触角对液膜速度的影响仍然很小。从图 9(c)可以看出,随着气液接触角的增大,Z=0.1~0.5 m的液膜湍流强度在一定程度上略有降低,尤其是在出口处。
|
图 9 不同气液接触角和不同轴向位置的液膜厚度、速度和湍流强度分布 Fig.9 Distribution of liquid film thickness at different gas-liquid contact angles and axial positions |
不同摩擦系数f的不同轴向位置的液膜厚度分布如图 10所示。从图中可以看出,摩擦系数对入口区(0.05 m和0.1 m)液膜厚度的影响可以忽略。随着轴向距离的增加,摩擦系数对液膜厚度的影响逐渐突出。从图 10(a)可以看出,随着摩擦系数的增加,液膜厚度略微增加。原因是随着摩擦系数的增加,会对液膜流动产生剪切阻力,导致液体积聚,导致液膜厚度略微增加。摩擦系数对液膜速度的影响很小,几乎可以忽略,这表明摩擦系数对圆管的液膜速度几乎没有影响。从图 10(c)中可以看出,尽管0.05 m和0.1 m处的液膜受到槽出口的影响很大,但摩擦系数对液膜湍流强度的影响不能忽略。随着轴向距离的增加,液膜受“射流”效应削弱。此时,摩擦系数对液膜湍流强度的影响逐渐突出。从图 10(c)可以看出,0.2~0.4 m处的液膜湍流强度随摩擦系数的增加而略有变化。出口处液膜的湍流强度基本不变,这是液膜波动时大波追赶上前一个子波发生碰撞堆积的综合反映。
|
图 10 不同摩擦系数和不同轴向位置的液膜厚度、速度和湍流强度分布 Fig.10 Distribution of liquid film thickness at different friction coefficients and axial positions |
不同气体速度的不同轴向位置处的液膜厚度分布如图 11所示。图 11(a)显示,0.05 m处的液膜受气体速度的影响很小,此处的液膜厚度有略微增加的趋势。随着轴向距离的增加,空气速度对液膜厚度的影响逐渐突出。从图 11(a)、(b)和(c)可以看出,随着气体速度的增加,液膜厚度首先急剧减小,然后缓慢增加,在0.1 s达到最低值。原因是气体速度的增加导致液膜破裂,从而导致液膜厚度急剧减小。然而,随着时间的推移,上部液膜在重力作用下逐渐向下流动,补充缩小区域中的液膜。因此,液膜的厚度呈现缓慢增加的趋势。随着轴向距离继续增加,图 11(e)中的液膜厚度受到位置(b)、(c)和(d)处气体速度的影响,导致液膜厚度急剧增加,后随着时间延长得以补充。
|
图 11 不同气体速度和不同轴向位置下的液膜厚度分布 Fig.11 Distribution of liquid film thickness at different gas velocities and axial positions |
不同气体速度的不同轴向位置下的液膜速度分布如图 12所示。从图 12(a)可以看出,尽管0.05 m处的液膜受槽出口处“射流”效应的影响较大,但气体速度对液膜速度的影响不能忽略。从图 12(a)可以看出,入口区域的液膜速度受气体速度的影响很大,随着气体速度的增加,下降范围增大,但随着时间的推移,液膜速度逐渐趋于稳定。这表明气体速度增加对入口区域的液膜速度具有抑制作用。随着轴向距离的增加,气体速度是影响液膜速度的主要因素。图 12(b)~(e)显示,由于入口区域中液膜和并流气体速度的共同影响,充分发展区域中的液膜速度随着气体速度的增加而逐渐增加,但液膜速度最终随着时间的延长趋于稳定,并且气体速度越大,需要的稳定时间越长,该结果与液膜厚度图一致。
|
图 12 不同气体速度和不同轴向位置的液膜速度分布 Fig.12 Distribution of liquid film velocity at different gas velocities and axial positions |
不同气体速度的不同轴向位置下的液膜湍流强度分布如图 13所示。从图 13(a)可以看出,0.05 m处的液膜受到槽缝出口处的固体壁结合、气-液共流的共同影响,导致此处液膜的湍流强度降低,并且随着气体速度的增加,湍流强度降低更为明显。这表明气体速度对入口区域液膜的湍流强度具有抑制作用。随着轴向距离的增加,气体速度开始占据主导地位。图 13(b)~(e)显示,由于入口区液膜速度和并流气体速度的共同影响,随着气体速度的增加,充分发展区域的液膜湍流强度逐渐增加。然而,随着上游液膜的碰撞和合并,液膜的湍流强度逐渐趋于稳定状态。此外,如图 13(e)所示,当气体速度小于6 m⋅s−1时,气液剪切效应小于“液膜聚结”效应,液膜湍流强度降低,反之则湍流强度增加。
|
图 13 不同气体速度和不同轴向位置下液膜的IZ分布 Fig.13 Distribution of liquid film IZ at different gas velocities and axial positions |
为了研究不同因素对湍流垂直降膜波动特性的影响,解决高雷诺数下传统圆管降膜分布不均匀等问题,此次研究对降膜装置的设计进行了优化,计算分析了不同槽宽、管径、摩擦系数、气液接触角和气相速度对液膜波动特性的影响机理。结论如下:
(1) 当槽宽大于3.5 mm时,液膜厚度基本不变,湍流强度变化相对稳定。
(2) 随着管径的增大,液膜厚度、速度和湍流强度都发生了显著变化。
(3) 随着气液接触角的增大,液膜厚度和速度变化不大。相反,液膜的湍流强度略有降低,尤其是在出口处。
(4) 随着摩擦系数的增加,液膜厚度略有增加。此外,摩擦系数对液膜速度和湍流强度影响不大。
(5) 随着气体速度的增加,液膜厚度先急剧减小,然后缓慢增加。气体速度对入口区域的液膜速度具有抑制作用。随着气体速度的增加,充分发展区域的液膜速度逐渐增加,但随着时间的延长,液膜速度最终趋于稳定,并且气体速度越大,所需的稳定时间越长。气体速度限制了入口区域中液膜的湍流强度。在出口处,当气体速度小于6 m⋅s−1时,气液剪切效应小于“液膜聚结”效应,液膜湍流强度降低。
| [1] |
LI Q S. The view of technological innovation in coal industry under the vision of carbon neutralization[J]. International Journal of Coal Science & Technology, 2021, 8(6): 1197-1207. |
| [2] |
YAN S, QU X, XIA Z H, et al. Effect of experimental variables on coal catalytic hydrogasification in a pressurized fluidized bed[J]. Fuel, 2022, 307: 121761. DOI:10.1016/j.fuel.2021.121761 |
| [3] |
SHEN Z J, NIKOLIC H, CAUDILL L S, et al. A deep insight on the coal ash-to-slag transformation behavior during the entrained flow gasification process[J]. Fuel, 2021, 289: 119953. DOI:10.1016/j.fuel.2020.119953 |
| [4] |
GONG Y, YU G S, GUO Q H, et al. Progress on opposed multi-burner (OMB) coal-water slurry gasification technology and its industrial applications[J]. Energy Procedia, 2017, 142: 1089-1094. DOI:10.1016/j.egypro.2017.12.361 |
| [5] |
DRUMM C, HOFFMANN D, STEFFENS F. Optimization of the liquid distributor in a falling film evaporator by means of air-water experiments[J]. Chemie Ingenieur Technik, 2019, 91(11): 1554-1562. DOI:10.1002/cite.201800219 |
| [6] |
HAGHSHENO M, KOUHIKAMALI R. Numerical investigation of effective parameters of falling film evaporation in a vertical-tube evaporator[J]. Heat Transfer, 2021, 50(3): 2764-2792. DOI:10.1002/htj.22004 |
| [7] |
WANG J, LI J M, HWANG Y. Modeling of film condensation flow in oval microchannels[J]. International Journal of Heat and Mass Transfer, 2018, 126: 1194-1205. DOI:10.1016/j.ijheatmasstransfer.2018.05.126 |
| [8] |
YU Y Q, WEI S J, YANG Y H, et al. Experimental study of water film falling and spreading on a large vertical plate[J]. Progress in Nuclear Energy, 2012, 54(1): 22-28. DOI:10.1016/j.pnucene.2011.09.007 |
| [9] |
ZHANG Y C, MUNIR M T, UDUGAMA I, et al. Modelling of a milk powder falling film evaporator for predicting process trends and comparison of energy consumption[J]. Journal of Food Engineering, 2018, 225: 26-33. DOI:10.1016/j.jfoodeng.2018.01.016 |
| [10] |
ADOMEIT P, RENZ U. Hydrodynamics of three-dimensional waves in laminar falling films[J]. International Journal of Multiphase Flow, 2000, 26(7): 1183-1208. DOI:10.1016/S0301-9322(99)00079-8 |
| [11] |
PORTALSKI S, CLEGG A J. An experimental study of wave inception on falling liquid films[J]. Chemical Engineering Science, 1972, 27(6): 1257-1265. DOI:10.1016/0009-2509(72)80102-7 |
| [12] |
WEBB D R, HEWITT G F. Downwards co-current annular flow[J]. International Journal of Multiphase Flow, 1975, 2(1): 35-49. DOI:10.1016/0301-9322(75)90027-0 |
| [13] |
KARAPANTSIOS T D, KARABELAS A J. Longitudinal characteristics of wavy falling films[J]. International Journal of Multiphase Flow, 1995, 21(1): 119-127. DOI:10.1016/0301-9322(94)00048-O |
| [14] |
TAKAHAMA H, KATO S. Longitudinal flow characteristics of vertically falling liquid films without concurrent gas flow[J]. International Journal of Multiphase Flow, 1980, 6(3): 203-215. DOI:10.1016/0301-9322(80)90011-7 |
| [15] |
WEI Z Y, WANG Y F, WU Z W, et al. Wave characteristics of the falling liquid film in the development region at high Reynolds numbers[J]. Chemical Engineering Science, 2020, 215: 115454. DOI:10.1016/j.ces.2019.115454 |
| [16] |
AMBROSINI W, FORGIONE N, ORIOLO F. Statistical characteristics of a water film falling down a flat plate at different inclinations and temperatures[J]. International Journal of Multiphase Flow, 2002, 28(9): 1521-1540. DOI:10.1016/S0301-9322(02)00039-3 |
| [17] |
WANG G Y, DANG Z R, ISHII M. Wave structure and velocity in vertical upward annular two-phase flow[J]. Experimental Thermal and Fluid Science, 2021, 120: 110205. DOI:10.1016/j.expthermflusci.2020.110205 |
| [18] |
YAN L C, WANG Y F, WU Z W, et al. Research of vertical falling film behavior in scrubbing-cooling tube[J]. Chemical Engineering Research and Design, 2017, 117: 627-636. DOI:10.1016/j.cherd.2016.11.010 |
| [19] |
王灵萍, 王亦飞, 郭强强, 等. 洗涤冷却管内垂直降膜流动特性[J]. 化工学报, 2013, 64(6): 1959-1968. WANG L P, WANG Y F, GUO Q Q. Flow characteristics of vertical falling film in scrubbing-cooling pipe[J]. CIESC Journal, 2013, 64(6): 1959-1968. DOI:10.3969/j.issn.0438-1157.2013.06.009 |
| [20] |
ALEKSEENKO S V, ANTIPIN V A, BOBYLEV A V, et al. Application of PIV to velocity measurements in a liquid film flowing down an inclined cylinder[J]. Experiments in Fluids, 2007, 43(2): 197-207. |
| [21] |
MALAMATARIS N A, BALAKOTAIAH V. Flow structure underneath the large amplitude waves of a vertically falling film[J]. AIChE Journal, 2008, 54(7): 1725-1740. DOI:10.1002/aic.11506 |
| [22] |
BANDI P, MODIGELL M, GROß S, et al. On reduced modeling of mass transport in wavy falling films[J]. AIChE Journal, 2018, 64(6): 2265-2276. DOI:10.1002/aic.16065 |
| [23] |
ÅKESJÖ A, GOURDON M, VAMLING L, et al. Experimental and numerical study of heat transfer in a large-scale vertical falling film pilot unit[J]. International Journal of Heat and Mass Transfer, 2018, 125: 53-65. DOI:10.1016/j.ijheatmasstransfer.2018.04.052 |
| [24] |
JAYANTI S, HEWITT G F. Hydrodynamics and heat transfer in wavy annular gas-liquid flow: A computational fluid dynamics study[J]. International Journal of Heat and Mass Transfer, 1997, 40(10): 2445-2460. DOI:10.1016/S0017-9310(96)00288-8 |
| [25] |
CHU K J, DUKLER A E. Statistical characteristics of thin, wavy films. 2. Studies of the substrate and its wave structure[J]. AIChE Journal, 1974, 20(4): 695-706. DOI:10.1002/aic.690200410 |
| [26] |
CHU K J, DUKLER A E. Statistical characteristics of thin, wavy films. 3. Structure of the large waves and their resistance to gas flow[J]. AIChE Journal, 1975, 21(3): 583-593. DOI:10.1002/aic.690210323 |
| [27] |
DROSOS E I P, PARAS S V, KARABELAS A J. Characteristics of developing free falling films at intermediate Reynolds and high Kapitza numbers[J]. International Journal of Multiphase Flow, 2004, 30(7-8): 853-876. DOI:10.1016/j.ijmultiphaseflow.2004.03.003 |
| [28] |
KARAPANTSIOS T D, PARAS S V, KARABELAS A J. Statistical characteristics of free falling films at high Reynolds numbers[J]. International Journal of Multiphase Flow, 1989, 15(1): 1-21. DOI:10.1016/0301-9322(89)90082-7 |
| [29] |
TELLES A S, DUKLER A E. Statistical characteristics of thin, vertical, wavy, liquid films[J]. Industrial & Engineering Chemistry Fundamentals, 1970, 9(3): 412-421. |
| [30] |
HUANG X X, WANG Y F, WANG L, et al. Effect of structural optimization of scrubbing cooling rings on vertical falling film flow characteristics[J]. ACS Omega, 2022, 7(24): 21291-21305. DOI:10.1021/acsomega.2c02492 |
| [31] |
HIRT C W, NICHOLS B D. Volume of fluid (VOF) method for the dynamics of free boundaries[J]. Journal of Computational Physics, 1981, 39(1): 201-225. DOI:10.1016/0021-9991(81)90145-5 |
| [32] |
ZHAO C Y, JI W T, JIN P H, et al. Hydrodynamic behaviors of the falling film flow on a horizontal tube and construction of new film thickness correlation[J]. International Journal of Heat and Mass Transfer, 2018, 119: 564-576. DOI:10.1016/j.ijheatmasstransfer.2017.11.086 |
| [33] |
TAHIR F, MABROUK A, KOC M. Impact of surface tension and viscosity on falling film thickness in multi-effect desalination (MED) horizontal tube evaporator[J]. International Journal of Thermal Sciences, 2020, 150: 106235. DOI:10.1016/j.ijthermalsci.2019.106235 |
| [34] |
BRACKBILL J U, KOTHE D B, ZEMACH C. A continuum method for modeling surface tension[J]. Journal of computational physics, 1992, 100(2): 335-354. DOI:10.1016/0021-9991(92)90240-Y |
| [35] |
MONNIER H, PORTHA J F, KANE A, et al. Intensification of heat transfer during evaporation of a falling liquid film in vertical microchannels—Experimental investigations[J]. Chemical Engineering Science, 2012, 75: 152-166. |
| [36] |
WANG Y F, GUO Q Q, FU B H, et al. Numerical analysis of the flow characteristics and heat and mass transfer of falling-water films in an industrial-scale dip tube of a WSCC in an OMB gasifier[J]. Industrial & Engineering Chemistry Research, 2013, 52(26): 9295-9300. |
| [37] |
MASCARENHAS N, MUDAWAR I. Study of the influence of interfacial waves on heat transfer in turbulent falling films[J]. International Journal of Heat and Mass Transfer, 2013, 67: 1106-1121. |
| [38] |
PENG Z B, YUAN Z L, LI T, et al. Research on multiphase flows in thermo-energy engineering institute of southeast university[J]. International Journal of MUltiphase Flow, 2010, 36(2): 119-126. |
| [39] |
MEZA C E, BALAKOTAIAH V. Modeling and experimental studies of large amplitude waves on vertically falling films[J]. Chemical Engineering Science, 2008, 63(19): 4704-4734. |
| [40] |
MUDAWAR I, HOUPT R A. Measurement of mass and momentum transport in wavy-laminar falling liquid films[J]. International Journal of Heat and Mass Transfer, 1993, 36(17): 4151-4162. |


