文章信息
![]() | 财经研究 2016年42卷第11期 |
- 燕红忠, 卫辛.
- Yan Hongzhong, Wei Xin.
- 科举教育、捐官制度与官员晋升——基于清代官员履历档案的实证研究
- Imperial Education, Subscription System and Official Promotion: Empirical Study Based on History Archives of Officials in the Qing Dynasty
- 财经研究, 2016, 42(11): 4-18
- Journal of Finance and Economics, 2016, 42(11): 4-18.
-
文章历史
- 收稿日期:2016-07-11

2016第42卷第11期
中国传统社会的发展和阶层流动与政府选官制度的演变密切相关,各朝政府都试图通过选拔人才来维持王权稳定和政治统一。如两汉时期的察举制和征辟制、魏晋南北朝时期的九品中正制等,其中最为典型的是隋唐时期出现的科举制度。由于科举制度使得平民得以通过读书改变自己和家庭的命运,因此,一些学者指出科举考试的选拔可以有效地防止阶层固化。例如,Kracke(1947) 通过对1148年至1256年南宋登科录进行整理,发现有超过50%的举子,其祖辈没有入仕经历;代谦和别朝霞(2015) 的研究发现,唐代时期科举制度的出现打破了门阀贵族的垄断局面,使得没有背景的平民得以通过考试获得向上的社会流动,进而导致唐朝官僚制度的变革。但是,也有一些学者对科举推动寒门阶层向上流动的效率产生质疑。例如,何炳棣(2013) 通过对明清时期上万名进士的履历档案进行整理,指出虽然科举制度在一定程度上维持了整个社会的流动,但是祖宗三代都未获取功名背景的进士人数呈现出下降的趋势,即寒门子弟向上的社会流动性概率在逐渐降低;Hartwell(1982) 以宋朝官员的传记资料为切入点,考察了社会流动性的变化,研究发现宋朝政府的人才选拔被社会上的大家族所垄断,所以没有雄厚政治背景的平民很难通过科举谋求仕途发展;潘光旦和费孝通(1947) 利用清朝康熙至宣统年间乡试、会试中榜考生的915份朱卷记载,统计发现家庭五代之内都无功名(包括贡生、举人、进士) 的比例仅为13.3%。这也意味着科举虽然给予平民提升社会流动性的希望,但是平民科举的道路却十分困难。
中国古代除了科举教育,捐资纳衔也成为人们提高社会流动性的重要手段。与科举相比,捐官入仕的历史更为悠久,早在春秋战国时期就出现了卖官鬻爵的现象。到清朝,不仅捐官人数达到了历史的顶峰,而且发展成为和科举并行的、被政府认可的捐纳制度,如光绪朝就有超过一半的官员曾有捐纳经历。由于捐纳晋升的基础来自于个人的经济实力而非直接的努力和才能,因此许多学者指出这种寻租行为会导致许多有才能的人不愿意进行生产性努力,进而造成经济发展的成本浪费(Baumol,1990;Murphy等,1991 ;Acemoglu,1995)。然而,目前从社会流动的角度对捐纳制度的研究还很缺乏。无论是对古代科举教育(王德昭,1982;Elman,2000;胡平和李世愉,2015;Qin 和Kung ,2015),还是捐纳制度沿革(许大龄,1950;谢俊美,2001;伍跃,2013) 的现有研究,都在很大程度上忽略了科举与捐纳之间的关系,即古代科举和捐纳并不是完全排他、相互独立的,许多官员的仕途是科举考试和捐官制度相互交织的结果。这也意味着现有的部分研究高估了科举制度或者捐官制度的影响。由于受限于数据和资料,现有研究大多利用进士作为考生科举成功的代理变量,强调科举对社会流动的促进作用,然而中榜考生只有在得到政府铨选掣签后才成为政府正式任命的官员,并完成身份等级最终的转变,而等待铨选的过程并不只有传统科举这一种方式,这也就意味着忽视科举和捐纳的交叉作用来分析社会流动性的提升会存在很大局限。
为了更加全面客观地分析影响晚清官员晋升的因素,本文选择光绪朝官员履历档案的微观数据作为样本进行分析。之所以选择档案资料作为切入点,主要是因为微观数据可以更准确地反映影响个人捐纳偏好的各类因素。同时,由于中国第一历史档案馆现存的官员档案数量巨大、内容丰富、保存完整,从而也为本文的研究提供了全国范围的证据支持。
本文通过构建计量模型,在控制了一系列可能影响官员捐纳偏好的经济、地理、社会因素后,考察了不同的科举教育出身对捐纳偏好的影响。研究发现,进士和俊秀身份都会抑制捐纳行为的选择,而贡生、监生、举人出身的官员更偏爱捐纳行为;进一步研究发现,虽然捐纳的名目众多,但是不同等级入仕的官员对捐纳实职的态度最为敏感,对捐升行为都不存在显著的排斥。此外,捐纳经历会增加其担任四品至六品中层官阶的概率,而对其成为三品以上高官则具有显著的阻碍作用。因此,本文不仅丰富了许大龄(1950) 和伍跃(2013) 等人对于捐纳问题的探讨,并且首次从实证角度分析了科举教育与捐纳之间的关系,也为我们理解晚清政治制度的改革提供了实证依据。
本文的结构安排如下:第二部分对清代科举教育和捐纳制度进行回顾;第三部分介绍数据来源,并提出核心假说;第四部分为实证模型;第五部分给出实证结果及相关讨论;第六部分探讨捐纳经历对官员晋升的影响;最后为简要结论与启示。
二、 清代的科举教育和捐纳制度 (一) 科举制度1.科举考试的选拔。科举考试产生于隋唐,并逐渐发展成为古代历朝选拔官吏的主要办法。与世袭、举荐等选才方式相比,科举考试给予普通家庭背景的人群得以步入仕途的机会。因此,也成为政府从民间选拔人才入仕的重要手段。在这样的背景下,通过科举考试来提升个人的社会流动性成为当时社会的主流。然而,科举考试并不是一蹴而就的,需要经过从地方到中央的层层选拔。
其中,出身等级最低的为俊秀,大多并没有接受严格的儒学教育。等级稍高的称为童生,清朝沿袭明朝的科举制度,每隔三年举办两场童生考试,考试过程又分为县试、府试、院试三个阶段。县试是科举考试的最初阶段,通常由本县知县主考,县试录取者即可参加府试;府试由知府主考,录取比例低于县试,考试难度也有所增加,中式者(考试合格者) 才可参加由本省学政主考的院试。应试的考生无论年纪大小,只要还未获取在县、州、府的入学资格,均被称为童生。由于童试是科举考试的基础,因此应试资格的审核也十分严格,考生必须在本籍报考,且父母健在。严禁他人替考、冒考。只有满足以上要求的人员才可以参加考试,考试通过即可获得读书资格,被称为生员,或者秀才。但是,“因录送童生,原无定额,广收送考,以致人数过多,学臣难于稽查” 。①中央与地方相对应的称为国子监。国子监是清朝最高学府,负责国家的教育管理,入国子监读书的人被称作贡监生。
比生员等级更高的考生被称为举人。其中,出身生员的考生会在参加乡试之前参加本省的科试,贡监生的科试又称为录科。无论生员还是贡监生,只有考试通过才可以参加乡试选拔。乡试在每省的贡院举办,由中央委派京官主考,每隔三年举办一次,分别于八月初九、八月十二、八月十五连考三场。与不限额的县试相比,乡试录取名额有着严格的规定:“生监科举,每举人一名,大省取送八十名,中省取送六十名,小省取送五十名。每副榜一名,大省加取四十名,中省加取三十名,小省加取二十名。学政于科举及录遗,通盘核算,遵额录取。”②
此后,获得举人称谓的考生,可在乡试后次年赴京参加京师贡院举办的会试。会试通常由礼部主持,分三场进行。最终根据赴京参考的人数,酌定各省录取比例,中式者称为贡士。最后,会试放榜后十日,皇帝亲策于廷,通过殿试对中式者进行评测。根据不黜落制的原则,对参加考生进行排名,前三名分别为状元、榜眼和探花。
清代从考取童生到进士是一个极其漫长的过程,许多人终其一生也无法获得进士提名。此外,由于官缺有限,即使获得进士、举人出身,在正式被铨选掣籖任命之前,也需要经历长时间的等待。正因为存在这样严格的选拔程序,清代官员出身呈现出进士、举人、贡监生、生员、童生的多个层次。为了详细地揭示清代的科举选拔制度,表 1梳理了清代的科举程序和录取人员。
学校教育 | 科举层级 | 官员出身分类 |
殿试 | 进士:第1名为状元,第2名为榜眼,第3名为探花 | |
会试 | 贡士:第1名为会元 | |
乡试 | 举人:第1名为解元,第2名为亚元,第3-5名为经魁,第6名为亚魁 | |
国子监 | 贡生:岁贡、副贡、优贡、恩贡、拔贡、例贡监生:恩监、优监、荫监、例监 | |
地方院校 | 生员:附生、增生、廪膳生 | |
院试 | ||
府试 | ||
县试 | ||
无教育 |
①引自(清) 素尔讷等撰:《钦定学政全书》卷二十二《童试事例》,《续修四库全书》第828册,上海古籍出版社影印2002年版。
②引自(清) 杜受田等修:《钦定科场条例》卷二《科举·科举定额·现行事例》,《续修四库全书》第829册,上海古籍出版社影印2002年版。
2.科举官员的任命。清代官员的铨选是一项十分复杂的过程,这不仅体现在不同科举等级的官员可以获得不同的职位,而且即使是同一等级的官员,也会因个人具体情况的差异而得到不同的掣选。总体来说,影响各等级官员的任命主要有以下三个方面:
第一,科举考试的等级差异是影响官员初次掣籖的主要因素。通常进士考生获得掣籖的机会大于贡监生,获得初次掣选的职位等级也会更高。这也是古代科举制度长期存在的基础,通过层层选拔提升个人的社会地位。
第二,对于处在同一等级的考生,名次先后也十分重要。一方面,政府会根据名次的高低授予不同的职位。对于进士考生而言,“凡进士第一甲第一名授翰林院编修撰,二名三名授编修二甲三甲”“钦定庶吉士及分六部学习外,满洲进士记名以知县用者,按名次铨选,除以通政司汉字知事、国子监监丞、博士、典簿、詹事府主簿、光禄寺署丞、翰林院典簿等官,序科选用并考取顺天府满教授汉进士,或以知县教授即用,或以知县教授归班序选均竢引”。①对于举人而言,“及下第举人补授教职,按其科分名次轮班应选者,豫行截取二十人”。②贡监考生同样根据恩、拔、副榜贡生分三等录用,“一等以州同用,二等以州判用,三等以县丞用。捐贡监生分二等录用,一等以主簿用,二等以吏目用”。③对于生员或者没有接受过儒学教育的人员,想要获得政府直接任命的难度很大。因此,继续参加科举考试成为许多考生的主要选择。另一方面,正是由于政府授职时以名次高低为依据,名次的先后也决定了官员候选时间的长短。如政府在任命进士出身的官员时就指出:“十年定应升知县之教职以及经历等官,按其俸次最深。”④
①引自《钦定大清会典》卷五,文渊阁四库全书第619册,中国台湾商务印书馆影印1983年版,第64页。
②引自《钦定大清会典事例》卷四十三,上海古籍出版社影印2002年版,第647页。
③引自《钦定大清会典》卷五,文渊阁四库全书第619册,中国台湾商务印书馆影印1983年版,第64页。
④引自《钦定大清会典事例》卷四十三,上海古籍出版社影印2002年版,第647页。
第三,官员自身的个人因素对其初次任命也十分关键。这种个人异质性首先表现在官员自身能力的差异。由于官员在科举结束后,大多需要一段时间的实习,在考核期间的表现也会影响其任命。例如,新晋进士往往需要入庶常馆教习三年,但是若满一年,考生即能力出众受到赏识,即可带领引见。⑤其次,清代是由少数民族统治的朝代,在官制设计中就十分看重满族和蒙古族出身的官员,政府还将国家的要害部门都规定为满人的专缺,以保证自己的统治地位。因此,即使同为相同等级出身的考生,但是由于官缺设置和汉族有所差别,也会影响其最后的铨选。家族的政治势力同样是不可低估的因素,通常一个官员家族的政治势力越强,那么该官员的仕途将更加顺遂。
⑤引自《清世宗实录》卷九十五,雍正八年六月己亥,中华书局1986年版,第8册第271页。
(二) 捐纳制度自春秋战国时期开始,很多朝代都曾出现卖官鬻爵的现象,发展至清朝,捐纳已经成为政府法律所认可的成熟制度。然而,捐纳制度并不简单等同于卖官制度,因为捐纳的内容十分丰富,包括捐铨选、捐花翎、捐虚衔等多项内容,其中大部分都是身份荣誉的象征,并没有实质权利。即使政府允许购买官职,捐纳者也只有在得到政府铨选后,才可以真正得到掣籖任命。也正是因为它的复杂性和政治敏感性,捐纳制度在清朝的演变并不是一蹴而就的,在政府和各阶层势力的拉锯下,捐纳从政府最初基于财政目的的临时补给,到“大例”“常例”的泾渭分明,再到最终的废止。
清顺治六年,由于军费压力,开始允许捐纳监生,并一直延续下来。“明贡生入监者曰贡监,顺治十一年定随征廪生准作贡监,是谓准贡;增附生员有军功者准作贡生,是谓功贡。近例(同治) 廪生准捐贡生加教谕候选训导,增附生亦准捐贡加捐各职候选。”清初,“捐贡由庠士者,不论廪、增、附皆得援例为师儒,近则必廪善生方德报捐矣。”①康熙十三年,清政府镇压三藩,在庞大的军需压力下,允诺出售文官官职。雍正时期,捐纳职衔、贡监等不碍铨选的常例收入成为每年户部财政的重要部分。除军需、赈济开办捐例外,云贵总督鄂尔泰于雍正五年请开营田事例,进一步扩大开捐范围。此时,尽管政府允许出卖实职,但是在捐纳时间、官缺数量以及捐纳金额上都有着严格的限制,如雍正五年营田事例中明确指出:“道、府、同知不许捐纳,其通判、知州、知县及州同、县丞等,酌议准捐。”②因此,这种捐纳行为主要是作为政府财政的临时补给,并没有成为财政日常开支的组成部分。乾隆元年,请停捐纳,但是不碍铨选的项目成为常例被延续下来。捐纳规模较之初期虽然有所增加,但是政府对实职捐纳仍有顾虑,在战争、灾荒等外生冲击结束后,往往会停捐。正如康熙所述:“纳訾授官,本非善政,如川运军粮之事,需用浩繁,偶一行之,旋即停止。”③此外,这一时期政府对捐纳官员的贪腐行为加以严厉打击,轻则流放,重则大辟。
直到1851年开始的太平天国运动,对清政府统治造成重大打击,“惟以太平军起,东南大震,军务日亟,各省军饷又非倚捐纳不可”。④加之西部局势危及,战争、灾荒等事件迫使政府尽管一再想要停止捐纳,却无力扭转捐纳频开的局面。嘉庆开始,川楚事例、豫东事例、筹饷例、海防事例、新海防事例等陆续出台,此时的捐纳从临时性的地方性行为逐渐发展成为各个阶层踊跃参与的普遍现象,无论是捐纳人数还是捐纳范围都到达了历史的顶峰。捐纳的普遍不仅表现在捐纳地区的广泛,而且捐纳种类繁多,捐纳人员往往会捐纳多种名目以增加早日参与铨选的概率。
①引自广东《揭阳县志》卷五,选举三,乾隆四十四年刻本。
②引自《清史稿》卷一一二,志第八七,捐纳,中华书局1976年版,第3235页。
③引自《清高宗实录》卷一二六一,乾隆五十一年丙午闰七月丁亥,中华书局1986年版,第24册第963页。
④引自许大龄:《清代捐纳制度》,哈佛燕京大学出版社1950年版,第61页。
(三) 科举教育与捐纳之间的关系清代社会等级严明,不同等级的社会阶层不仅身份地位有所差异,而且行政权力和所承担的义务也有着显著差别。因此,追求自身社会地位的提升,成为许多人毕生的追求。而在当时,影响社会流动性的主要渠道包括两个方面:一是科举选拔,二是捐官纳衔。科举选拔是通过参加政府举办的从地方到中央的层层考试,获取相应的出身(如进士、举人等),进而作为政府的候选官吏等待铨选。科举制度虽然摒弃了以往门阀贵族垄断官吏的局面,为文人参与政治,乃至社会阶层的流动提供了机会,但因整个官僚队伍狭小,很多人终其一生也无法进入为官之列。此外,尽管考生通过科举获得了相应的身份,却因官缺限制,仍然需要经历漫长的等待。候选者为了缩短等待铨选的时间,尽快得到吏部铨选,捐纳就成为其步入仕途的“快速通道”。政府也通过对进士、举人等不同等级的入仕者出卖不同价格的官职,鼓励其捐纳以扩充政府财源。例如,康熙十四年,政府为解决军需问题而筹款颁布的乙卯捐纳条款中,就对不同出身人员的捐纳进行了详细说明:“进士捐一千两,以中、行、评、博及内阁中书用。举人捐一千两,不候拣选,以知县用。五贡捐二千两,以知县用,……监生、生员纳银五百两,授鸿胪寺序班。”⑤由此发现,清朝前期不同等级身份的人员已经可以通过捐纳来快速进入仕途,或提升自己职官等级。光绪时期,这种方式不仅得到了延续而且进一步细化。例如,“已截取进士捐银378两,未截取进士捐银522两,已截取举人捐银660两,未截取举人捐银810两,未拣选举人捐银954两”,⑥即可为国子监博士用。
⑤引自陈宽强:《清代捐纳制度》,中国台湾三民书局2014年版,第108页。
⑥引自《光绪朝捐纳则例》,文海出版社影印1982年版,第43页。
对清朝官制体系内的许多官职而言,由于不同出身的人员可以凭借捐纳而获得相同职缺,主要区别在于出身越低的人员需要支付更高的纳资,这不仅打乱了清朝官职严格的等级选拔程序,而且在这样的压力下,也迫使一些苦读多年的进士、举人为了保住自己铨选的相对位置,早日获得官职进行捐纳。以光绪朝中央六部的官员为例,吏部任职官员的平均年龄为46岁,而具有捐纳经历者被任职时的平均年龄为40岁;礼部任职官员的平均年龄为45岁,而捐纳官员的平均年龄为42岁;户部任职官员的平均年龄为40岁,有捐纳经历的官员年龄为37岁;刑部任职官员的平均年龄为35岁,有捐纳经历的官员年龄为34岁;工部和兵部中具有捐纳经历的官员年龄与全部官员的平均年龄相差最大,工部全部官员的平均年龄高出捐纳官员年龄12岁,兵部高出8岁。①这表明捐纳有利于缩短职官的任职和晋升时间,能够更为迅速地提升其社会地位。
①以上数据根据秦国经主编的《清代官员履历档案全编》中光绪朝吏部月选的官员数据计算得出。
三、 数据来源:清代官员履历档案为了考察清代不同身份等级的官员对捐纳偏好的选择问题,本文以故宫第一历史档案馆中现存的清代官员履历档案为基础,配合《清史稿》中人物记载中的相关信息构建光绪朝官员档案数据库。清代官员履历档案数据具有以下特点:一是官员数量规模巨大,现已整理出55 883件;二是内容丰富,涵盖了官员入仕后发展变动的各类信息;三是该数据是目前唯一一套保存完整,由皇帝或有关部门亲自签批的第一手史料。我们主要选取了1875-1908年光绪朝官员的档案数据,剔除掉重复的官员,总共得到4 498个有效历史人物信息,其中,文职官员3 341人,武职官员1 157人,具有捐纳经历官员的人数达到2 674人,占总额的59.45%。
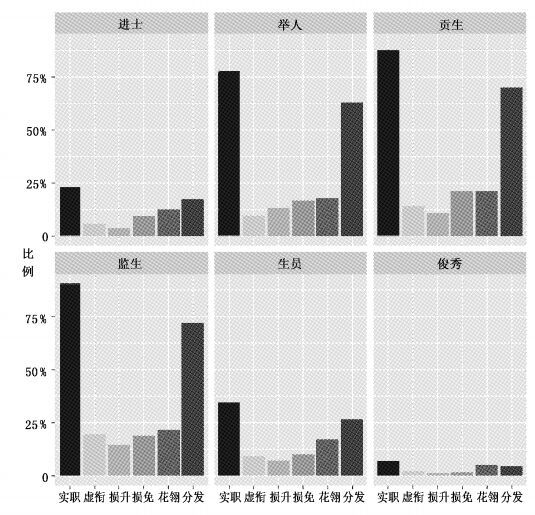
为了展示不同出身的入仕官员的捐纳偏好,图 1分别梳理了进士、举人、贡生、监生、生员和无学历人员的捐纳分布状况。②从中可以看出,无论出身于哪一等级的入仕官员,对涉及铨选的捐纳比例都要高于荣誉性质的捐纳。比例最高的是对实职的捐纳,其中,监生捐纳的比例最高,达到90.72%,贡生和举人的实职捐纳比例也分别达到了87.83%和77.83%,进士和无学历出身的官员捐纳比例最低,分别为23.21%和7.24%。除了捐纳实职,捐纳分发也成为不同出身的入仕官员所追捧的捐纳名目,举人、贡生、监生的捐纳比例均超过60%,进士、生员的捐纳比例虽少,但也在15%以上。与此相反,捐纳虚衔、花翎的比例则低很多。虽然贡生、监生、举人的捐纳比例仍然远高于其他出身的官员,但是监生捐纳虚衔的比例为其捐实职比例的1/5左右,低至 19.57%;举人的比例更低,仅为实职捐纳比例的1/10左右,达到9.54%。捐纳花翎的比例虽然略高于捐纳虚衔,但是捐纳比例最高的监生也仅有21.86%。由此可见,对于步入仕途的正式官员而言,影响行政权力变动的捐纳名目更具有吸引力。③
①数据来源于秦国经主编的《清代官员履历档案全编》(2011)。此处的俊秀统计涵盖了所有没有接受过儒学教育、没有具体身份的庶人。
③清代捐纳制度十分复杂,不同捐纳名目的涵义和作用相差很大。其中,清代铨选包括投供、验看、点卯、试用、历俸等多个步骤。捐免可以简化铨选过程中的手续。捐分发是在清代捐官数量膨胀而政府为疏通选途的背景下出现的。由于官缺数量有限,许多报捐者选择分发至各部、院学习,或者到外省试用,期满后,通过各督、抚、堂官考核甄别奏留。捐花翎和捐虚衔虽然报捐内容有所区别,但是报捐目的都是为了提升社会荣誉。清朝常用翎枝缀于冠后来体现官员的职位、等级、品阶和军功。由于翎枝主要代表皇帝给予的荣誉,并不具有实质的行政权力,因此,在清朝中期以后,报捐花翎逐渐发展成为政府常例。享有虚衔者,虽然无法获得实质的权利,但是由于属于皇帝恩赏的荣誉,拥有与实职品级一致的乘轿和服饰的权利。在官员品级一致的情况下,虚衔等级高的人社会身份更高,因此报捐虚衔也成为官员提升社会身份的重要途径。捐实职并不意味着直接获得相关职务,要成为政府正式任命的官员还需要经过严格的铨选。捐升就是获得政府任命的正式官僚根据国家规定报捐应升之缺,与此同时,候选官员也可以通过报捐获得应升之缺的晋升资格。
![]() |
图 1 不同身份的捐纳偏好概况 |
鉴于不同科举教育的身份差异对个人捐纳偏好存在的潜在影响,本文将要考察的假说为:
假说1:不同科举教育出身的官员捐纳偏好并不一致,而入仕难度是决定其是否捐纳以及捐纳什么项目的重要因素。
假说2:捐纳经历对官员仕途晋升的影响作用并不相同,其晋升作用主要集中在中层官员上,而对其成为高层官员则有明显的阻碍作用。
假说1说明了影响个人捐纳偏好差异的因素,假说2则揭示了捐纳行为对官员仕途的影响。
四、 实证模型由于我们考察的重点是不同科举教育出身官员的捐纳偏好选择问题,因此选用probit模型,且模型设定为:
$juann{{a}_{i}}={{\beta }_{0}}+{{\beta }_{1}}statu{{s}_{i}}+{{\beta }_{2}}ag{{e}_{i}}+{{\beta }_{3}}ag{{e}.{2}}_{i}+{{Z}_{i}}\gamma +{{\varepsilon }_{i}}$ | (1) |
其中,被解释变量juannai为官员是否会捐纳(是=1),本文还进一步分为是否捐纳实职(是=1)、是否捐纳虚衔(是=1)、是否捐纳花翎(是=1)、是否捐免(是=1)、是否捐升(是=1)、是否捐分发(是=1) 以及捐纳名目数量的自然对数。核心解释变量statusi代表了光绪朝官员不同的出身,具体包括进士、举人、贡生、监生、生员以及没有接受过正规学校教育的官员。
由于年龄也是影响人们对事物认知和偏好的重要因素,本文还控制了年龄以及年龄平方项。Zi是除科举身份差异外的一系列可能影响官员捐纳偏好的控制变量。具体包括:是否为荫生(是=1)、是否为满族(是=1)、是否为蒙古族(是=1)、是否为八旗(是=1)、是否东部地区(是=1)、是否中部地区(是=1)、是否西部地区(是=1)。β1识别了不同出身差异对官员捐纳偏好的影响:若β1>0,则该身份会促进官员捐纳;反之,若β1<0,则该身份会抑制官员的捐纳偏好。εi为随机扰动项。模型中主要变量及其统计描述如表 2所示。
变量名称 | 样本量 | 均值 | 标准差 | 最小值 | 最大值 |
是否为进士(是=1) | 4 498 | 0.195 | 0.397 | 0 | 1 |
是否为举人(是=1) | 4 498 | 0.100 | 0.300 | 0 | 1 |
是否为贡生(是=1) | 4 498 | 0.126 | 0.332 | 0 | 1 |
是否为监生(是=1) | 4 498 | 0.175 | 0.380 | 0 | 1 |
是否为生员(是=1) | 4 498 | 0.032 | 0.175 | 0 | 1 |
是否为俊秀(是=1) | 4 498 | 0.228 | 0.419 | 0 | 1 |
是否为满族(是=1) | 4 498 | 0.171 | 0.377 | 0 | 1 |
是否为蒙古族(是=1) | 4 498 | 0.036 | 0.187 | 0 | 1 |
是否为八旗(是=1) | 4 498 | 0.273 | 0.445 | 0 | 1 |
年龄 | 4 498 | 46.423 | 9.802 | 19 | 80 |
是否为荫生(是=1) | 4 498 | 0.052 | 0.221 | 0 | 1 |
捐纳名目数量 | 4 498 | 1.878 | 2.074 | 0 | 12 |
是否报捐实职(是=1) | 4 498 | 0.486 | 0.500 | 0 | 1 |
是否报捐虚衔(是=1) | 4 498 | 0.094 | 0.291 | 0 | 1 |
是否报捐花翎(是=1) | 4 498 | 0.157 | 0.364 | 0 | 1 |
是否报捐分发(是=1) | 4 498 | 0.357 | 0.479 | 0 | 1 |
是否捐免(是=1) | 4 498 | 0.108 | 0.311 | 0 | 1 |
是否捐升(是=1) | 4 498 | 0.069 | 0.253 | 0 | 1 |
表 3给出了光绪朝不同出身官员捐纳偏好的差异。其中,列(1) 衡量了进士出身的官员对捐纳行为的选择,系数为-0.414,这意味着候选官员若为进士出身,则捐纳行为的概率平均减少41.4%;列(2) 同时估计了进士、举人的捐纳偏好,发现与进士的抵触情绪相反,举人出身的官员愿意在仕途中选择捐纳,系数分别为-0.399和0.067,这表明虽然进士出身的官员会在39.9%的概率上排斥捐纳,但是举人出身的官员则会在6.7%的概率上选择捐纳。列(3)-列(6) 进一步控制了贡生、监生、生员、俊秀等不同层次出身的官员以及影响官员捐纳偏好的其他个人因素,回归结果依然稳健。与此同时,生员、俊秀等出身的官员的系数显著为负,监生、贡生、举人等出身的官员对捐纳制度会有明显的偏爱。之所以会出现这样的差异,主要是由入仕的难易程度决定的,由于进士的录取名额最低,等级最高,因此获得进士出身的官员更容易得到铨选任命。而举人、贡生、监生等出身的官员虽然已经得到了参加铨选的资格,但是由于候选者众多,候选时间很长,获得职位的难度很高,因此具有更强的捐纳激励。生员和俊秀出身的官员即使参与捐纳,直接获得吏部铨选任命的概率仍然很低,因此也会阻碍其对捐纳的选择。
是否捐纳(是=1) | ||||||
解释变量 | (1) | (2) | (3) | (4) | (5) | (6) |
是否进士(是=1) | -0.414*** | -0.399*** | -0.179*** | -0.191*** | -0.208*** | -0.308*** |
(0.019) | (0.019) | (0.021) | (0.022) | (0.025) | (0.039) | |
是否举人(是=1) | 0.067*** | 0.150*** | 0.145*** | 0.139*** | 0.088*** | |
(0.021) | (0.012) | (0.013) | (0.014) | (0.023) | ||
是否贡生(是=1) | 0.187*** | 0.183*** | 0.177*** | 0.122*** | ||
(0.011) | (0.012) | (0.012) | (0.021) | |||
是否监生(是=1) | 0.225*** | 0.221*** | 0.214*** | 0.168*** | ||
(0.011) | (0.012) | (0.012) | (0.018) | |||
是否生员(是=1) | -0.062* | -0.078** | -0.122*** | |||
(0.038) | (0.041) | (0.049) | ||||
是否俊秀(是=1) | -0.063* | -0.131*** | ||||
(0.037) | (0.049) | |||||
是否荫生(是=1) | -0.067* | |||||
(0.039) | ||||||
是否满族(是=1) | -0.062* | |||||
(0.038) | ||||||
是否蒙族(是=1) | -0.125** | |||||
(0.062) | ||||||
是否八旗(是=1) | 0.118 | |||||
(0.079) | ||||||
年龄 | -0.007 | |||||
(0.006) | ||||||
年龄平方项 | -0.00004 | |||||
(0.0001) | ||||||
是否东部(是=1) | 0.160 | |||||
(0.091) | ||||||
是否西部(是=1) | 0.120 | |||||
(0.061) | ||||||
是否中部(是=1) | 0.171* | |||||
(0.087) | ||||||
观测值 | 3 341 | 3 341 | 3 341 | 3 341 | 3 341 | 3 341 |
(p-value) | (0.000) | (0.000) | (0.000) | (0.000) | (0.000) | (0.000) |
Pseudo R2 | 0.152 | 0.155 | 0.230 | 0.231 | 0.232 | 0.249 |
注:括号内为稳健性标准误,边际效应的估计点为各变量的平均值;*、**和***分别代10%、5%和1%的显著性水平。下同。 |
虽然基准的回归结果揭示了进士、举人等对捐纳选择偏好的差异,但是,这里仍然有以下三个问题没有得到解决:首先,由于捐纳的名目十分庞杂,既包括影响铨选的实职、捐升,又包括影响社会地位和荣誉尊严的虚衔、花翎等,因此,基准回归结果并没有揭示出不同捐纳名目间的偏好差异。其次,由于本文设计的是捐纳选择probit模型,这样的估计只能反映出买与不买的一次性差异。然而,由于捐纳可以多次重复使用,而模型设计无法体现出官员自身对捐纳的依赖程度。与此同时,由于清代是少数民族统治的王朝,满族、蒙古族等出身的官员不仅身份地位尊贵,而且其入仕途径和官员升迁发展都与汉族官员有着明显区别,这种民族差异对捐纳偏好的影响,也无法从基准的回归结果中看出。最后,清代的官制设计既包括执掌不同等级行政差异的文职官员,又包括承担保家卫国责任的武职官员,由于文职官员的选拔与科举教育的关系更加密切,以致本文的基准回归样本都是以文职为基础进行分析,但是增加武职官员的样本,可以更全面地展示清代官制中的捐纳情况。因此,本文从以下几个方面进行了稳健性检验:
1. 捐纳名目的差异清代捐纳名目多样,不仅可以捐纳直接影响吏治铨选的名目(如捐纳实职),还可以捐纳许多提升荣誉感却没有实质权利的名目(如捐纳花翎、捐纳虚衔)。为了更加全面地展示科举教育程度对个人捐纳偏好的影响,表 4分别对不同的捐纳名目进行估计。在表 4的列(1) 中,给出不同教育身份对捐纳实职偏好影响的回归结果。从中可以看出,进士、生员和俊秀会排斥捐纳实职,这些变量的系数分别为-0.501、-0.305和-0.273,其中,进士对捐纳实职的态度最为排斥,达到50.1%;而贡生和监生这两个变量的系数分别为0.132和0.208,这表明与进士不同,贡生和监生更愿意通过捐纳实职步入仕途。列(2) 是对捐纳虚衔的回归结果,显示进士出身的官员对捐纳抵触的态度仍旧稳健,监生出身的官员仍旧是捐纳虚衔的主体之一,但是举人、贡生并不会对捐纳虚衔有明显偏好。列(3) 是对捐纳花翎偏好的估计,回归结果与列(2) 相似,贡生、监生仍然是捐纳荣誉性名目的主要力量。列(4) 是对捐升偏好的估计,回归结果显示,不论是何等级出身的官员都不会排斥捐升带来的好处,其中,举人、贡生、监生、生员等出身的官员会更愿意参与捐升。列(5)-列(6) 分别对捐免和捐分发进行估计,回归系数虽然有所差异,但是结果仍旧稳健。总体而言,贡生和监生出身的官员更愿意参与捐纳,而且这种偏好十分稳健,并不会受具体捐纳名目的影响。举人出身的官员更偏好捐升和捐分发等能促使行政权力迅速提升的名目。相反,进士出身的官员对影响铨选的捐纳名目十分排斥。俊秀虽然并不偏好捐纳实职,但是对其他捐纳名目并没有明显的排斥。
解释变量 | (1) | (2) | (3) | (4) | (5) | (6) |
是否捐实职(是=1) | 是否捐虚衔(是=1) | 是否捐花翎(是=1) | 是否捐升(是=1) | 是否捐免(是=1) | 是否捐分发(是=1) | |
是否进士(是=1) | -0.501*** | -0.061** | -0.043 | 0.003 | -0.066** | -0.211*** |
(0.038) | (0.023) | (0.029) | (0.035) | (0.028) | (0.048) | |
是否举人(是=1) | 0.027 | -0.027 | 0.022 | 0.140*** | -0.002 | 0.261*** |
(0.042) | (0.026) | (0.035) | (0.065) | (0.035) | (0.049) | |
是否贡生(是=1) | 0.132*** | 0.016 | 0.059* | 0.103** | 0.041 | 0.299*** |
(0.037) | (0.030) | (0.036) | (0.065) | (0.039) | (0.047) | |
是否监生(是=1) | 0.208*** | 0.066** | 0.052* | 0.159*** | 0.029 | 0.374*** |
(0.032) | (0.032) | (0.033) | (0.060) | (0.036) | (0.042) | |
是否生员(是=1) | -0.305*** | -0.012 | -0.034 | 0.122** | -0.008 | 0.073 |
(0.056) | (0.035) | (0.038) | (0.077) | (0.042) | (0.067) | |
是否俊秀(是=1) | -0.273*** | 0.003 | 0.046 | 0.070 | -0.034 | -0.019 |
(0.056) | (0.036) | (0.046) | (0.063) | (0.036) | (0.065) | |
控制变量 | 控制 | 控制 | 控制 | 控制 | 控制 | 控制 |
观测值 | 3 341 | 3 341 | 3 341 | 3 341 | 3 341 | 3 341 |
(p-value) | (0.000) | (0.000) | (0.000) | (0.000) | (0.000) | (0.000) |
Pseudo R2 | 0.280 | 0.034 | 0.037 | 0.083 | 0.041 | 0.266 |
注:本表给出了probit回归后得到的各变量的边际影响,估计点为各变量的样本平均值。回归控制的变量包括:是否为荫生(是=1)、是否为满族(是=1)、是否为蒙古族(是=1)、是否为八旗(是=1)、年龄及年龄的平方项、是否为东部(是=1)、是否为中部(是=1)、是否为西部(是=1)。 |
清代不仅可以捐纳的名目很多,而且由于晚期政府“大例”频开,在原有名目上捐纳新名目也是当时官场上十分普遍的现象。此外,清代是由少数民族统治的朝代,不同民族之间不仅社会生活方式差异明显,文化教育水平也不一致。为了考察不同身份等级的官员对捐纳的依赖程度,表 5在全样本回归的基础上,分别估计汉族、满蒙、八旗官员中身份差异对捐纳偏好的影响。回归结果显示,进士出身的官员对捐纳的依赖程度最低,贡生出身的官员对捐纳的依赖程度最高,而且这种依赖不受具体的民族和是否为旗籍的影响。与此同时,生员出身的官员虽然与贡监生一样,需要参加乡试考取举人,但是其社会地位、入仕机会都低于在国子监就读的学生,即使参与捐纳,但获选的机会仍然十分渺茫,因此回归结果显示,生员出身的官员并不会依赖捐纳。
捐纳名目数量 | ||||
解释变量 | 文职全样本 | 汉族 | 满蒙 | 八旗 |
(1)OLS | (2)OLS | (3)OLS | (4)OLS | |
是否进士(是=1) | -1.417*** | -1.657*** | -0.255*** | -1.333*** |
(0.142) | (0.258) | (0.042) | (0.253) | |
是否举人(是=1) | 0.512*** | 0.312 | 0.032 | 0.196 |
(0.152) | (0.263) | (0.058) | (0.330) | |
是否贡生(是=1) | 1.238*** | 1.008*** | 0.245*** | 1.257*** |
(0.149) | (0.262) | (0.059) | (0.337) | |
是否监生(是=1) | 1.187*** | 0.984*** | 0.161*** | 0.991*** |
(0.040) | (0.259) | (0.033) | (0.206) | |
是否生员(是=1) | -0.288 | -0.210 | -0.112*** | -0.598** |
(0.189) | (0.320) | (0.039) | (0.263) | |
是否俊秀(是=1) | -0.377** | -0.693** | 0.007 | 0.015 |
(0.186) | (0.292) | (0.053) | (0.324) | |
控制变量 | 控制 | 控制 | 控制 | 控制 |
观测值 | 3 341 | 2 794 | 547 | 703 |
(p-value) | (0.000) | (0.000) | (0.000) | (0.000) |
R2 | 0.326 | 0.335 | 0.212 | 0.221 |
注:本表是线性模型的估计结果;控制变量同表 4。 |
表 6的回归结果显示,无论采用是否捐纳,还是采用捐纳名目的数量作为被解释变量,举人、贡生、监生等身份的官员对捐纳都有明显的偏好。没有获得相应教育出身的兵丁的回归结果同文职中俊秀相似,对捐纳有着显著的排斥。与此同时,列(2) 的回归结果发现,武职样本中武进士出身的官员对捐纳行为的排斥作用不再显著,这可能与文职和武职的考核选拔方式不同有关系。
解释变量 | 是否捐纳(是=1) | 捐纳名目数量 | ||||
文职 | 武职 | 全样本 | 文职 | 武职 | 全样本 | |
(1) | (2) | (3) | (4) | (5) | (6) | |
是否进士(是=1) | -0.308*** | 0.026 | -0.255*** | -1.417*** | -0.069 | -0.931*** |
(0.039) | (0.046) | (0.037) | (0.142) | (0.076) | (0.108) | |
是否举人(是=1) | 0.088*** | 0.250* | 0.251*** | 0.512*** | 1.168*** | 1.032*** |
(0.023) | (0.216) | (0.026) | (0.152) | (0.199) | (0.119) | |
是否贡生(是=1) | 0.122*** | 0.548*** | 0.298*** | 1.238*** | 0.666*** | 1.747*** |
(0.021) | (0.243) | (0.024) | (0.149) | (0.199) | (0.116) | |
是否监生(是=1) | 0.168*** | 0.452*** | 0.350*** | 1.187*** | 1.205*** | 1.666*** |
(0.018) | (0.137) | (0.020) | (0.040) | (0.110) | (0.108) | |
是否生员(是=1) | -0.122*** | 0.036 | -0.059 | -0.288 | -0.024 | -0.017 |
(0.049) | (0.063) | (0.049) | (0.189) | (0.100) | (0.152) | |
是否俊秀/兵丁(是=1) | -0.131*** | -0.051* | -0.528*** | -0.377** | -0.126*** | -1.238*** |
(0.049) | (0.031) | (0.028) | (0.186) | (0.045) | (0.097) | |
控制变量 | 控制 | 控制 | 控制 | 控制 | 控制 | 控制 |
观测值 | 3 341 | 1 157 | 4 498 | 3 341 | 1 157 | 4 498 |
Pseudo R2/ R2 | 0.249 | 0.138 | 0.385 | 0.326 | 0.190 | 0.448 |
注:列(1)-列(3) 给出了probit回归后得到的各变量的边际影响,估计点为各变量的样本平均值。列(4)-列(6) 是线性模型的估计结果,控制变量与表 4相同。 |
现有关于捐纳制度影响吏治的文献,主要从定性的角度或通过案例分析的方法指出捐纳会促进吏治腐败,进而导致晚清政治体系的崩溃(许大龄,1950;谢俊美,2001;伍跃,2013)。关于系统性的量化分析,尤其是捐纳偏好对官员晋升的影响分析则一直十分匮乏,本文首次从实证分析的视角,探讨捐纳与官员晋升之间的因果关系。由于清朝官僚体系从上到下分至“九品十八阶”,等级制度十分严格。不同品阶的官员在待遇和行政权力方面具有很大的差别。捐纳经历到底会影响哪些品阶的官员呢?对于出身满族、政治背景雄厚的官员而言,是否可以通过捐纳而获得更高的职位呢?
(一) 捐纳官员的晋升差异表 7将一品官阶设为1,二品官阶设为2,以此类推,利用order probit模型进行估计,分析捐纳选择行为对具体品阶的边际效应,回归结果显示,捐纳经历虽然会阻碍官员晋升成为三品以上的高层官员,但是会增加其成为四品至六品中层官员的概率。这表明捐纳虽然为官员入仕提供了“快车道”,但并不是助其扶摇直上的“直升梯”。
表 8报告的是利用order probit模型估计得到的不同捐纳名目对具体品阶的边际效应。回归结果显示,虽然捐免、捐实职、捐虚衔、捐花翎、捐升的行为是阻碍官员晋升为三品以上官员的重要因素,但是却会促使其成为四品至六品的官员。与此同时,捐纳分发与官员晋升没有直接关系,这有可能是受到样本数据主要集中在六品以上官员的影响。
被解释变量:官员晋升为几品的概率 | ||||||
解释变量 | (1) | (2) | (3) | (4) | (5) | (6) |
一品 | 二品 | 三品 | 四品 | 五品 | 六品 | |
是否捐实职(是=1) | -0.008*** | -0.091*** | -0.079*** | 0.119*** | 0.037*** | 0.003*** |
(0.001) | (0.008) | (0.007) | (0.010) | (0.004) | (0.001) | |
是否捐虚衔(是=1) | -0.001* | -0.017* | -0.016* | 0.022* | 0.008 | 0.0006 |
(0.001) | (0.009) | (0.009) | (0.012) | (0.005) | (0.0004) | |
是否捐花翎(是=1) | -0.002*** | -0.030*** | -0.029*** | 0.039*** | 0.015*** | 0.001** |
(0.001) | (0.007) | (0.007) | (0.008) | (0.004) | (0.0004) | |
是否捐分发(是=1) | -0.0005 | -0.006 | -0.005 | 0.008 | 0.002 | 0.0002 |
(0.001) | (0.008) | (0.008) | (0.011) | (0.003) | (0.0003) | |
是否捐升(是=1) | -0.002*** | -0.025** | -0.024** | 0.032*** | 0.012** | 0.0009* |
(0.001) | (0.010) | (0.011) | (0.011) | (0.006) | (0.0005) | |
是否捐免(是=1) | -0.003*** | -0.040*** | -0.040*** | 0.048*** | 0.021*** | 0.002*** |
(0.001) | (0.007) | (0.008) | (0.007) | (0.005) | (0.0006) | |
控制变量 | 控制 | 控制 | 控制 | 控制 | 控制 | 控制 |
观测值 | 4 498 | 4 498 | 4 498 | 4 498 | 4 498 | 4 498 |
注:表中估计结果是order probit回归后得到的各变量的边际影响,估计点为各变量的样本平均值,控制变量与表 4相同。 |
总体而言,本文的实证研究发现,科举教育和捐官制度并不是完全排斥的两种入仕途径,相反,它们相互交织成为清代官制不可缺失的部分。进士和俊秀出身会抑制候选官员对捐纳行为的选择,而贡生、监生、举人等出身的官员对捐官制度则有着显著的偏爱。进一步发现,虽然捐纳的名目很多,但是不同等级入仕的官员对捐纳实职的态度最为敏感,与此同时,任何等级都不会排斥捐升带来的好处。此外,捐纳经历会增加其担任四品至六品中层官阶的概率,而对其成为三品以上高官却具有显著的阻碍作用。
七、 结论与启示关于官员选拔问题的探讨,一直是经济学家和政策制定者关注的重要问题。现有关于古代官员晋升的研究大多是从科举制度的视角,尤其是利用进士作为科举教育水平的代理变量来分析科举制度的长期影响。然而,古代选拔人才的方式并不是只有科举考试,捐纳也成为许多候选官员的选择。尽管关于科举制度或者捐纳制度的讨论,学术界已经涌现出丰富的研究成果(张希清,1993;郭齐家,1997;伍跃,2013),但是,由于缺乏系统性的微观数据支撑,使得两种制度的交叉研究(特别是数量实证研究) 仍然没有得到开展。本文首次以光绪朝官员档案的微观数据对不同等级候选官员的捐纳偏好差异及其相关问题进行了实证研究。研究发现,虽然“捐官”现象在中国传统社会中长期存在,但是历史经验表明,捐官行为对官员仕途的影响是有一定边界的,仅凭经济实力的晋升无法获得仕途上的长远发展。晚清时期,官员要进入官僚等级的高层,可能还与其个人才能、是否归属于朝廷重臣的幕府、家族的政治势力、官僚间的政治裙带关系等因素密切相关。这也意味着虽然在朝代初期科举教育和捐纳制度为官员的个人社会地位上升提供了重要渠道,但是随着社会经济的发展,阶层固化的现象会抑制原有人才选拔方式的效率。
传统社会的人才选拔制度与阶层流动性密切相关,以“捐官”行为为基础的入仕和晋升模式在一定程度上增加了官员升任的概率。相对于古代社会而言,现代的考试选拔制度更加公开、公正、透明,影响官员考核机制的因素也更为丰富,出现了以经济增长为基础的晋升激励,以卫生、环境、教育等为基础的民生指标,以公共事务民众参与程度、基本社会福利的可及性等多元化指标。与此同时,在官员选拔过程中也不再允许通过购买官职而获得晋升的行为。然而,随着社会稳定和经济发展,中国同许多国家一样,也面临着利益阶层的固化和社会流动性下降问题。这是因为:第一,金字塔型的官僚体制以及“人多缺少”的人事结构,仍然是减弱低层级官员向上流动的重要因素。第二,买官虽然被法律所禁止,但是类似“捐官”性质的行为(如寻租、行贿等现象) 仍然在当代官僚体系中不同程度地存在。第三,更为重要的是,政治的裙带关系和以“身份”为标志的既得利益阶层,仍然对以教育、个人能力和财富贡献为内容的正常的社会流动具有很大的阻碍作用。因此,为了实现经济的长期发展,政府更应关注公平和效率的相互促进,完善各项法律制度和民主政治制度,明晰和保护产权,消除各种体制性歧视,打破政治的裙带关系和身份固化。
本文首次从实证角度探讨了科举教育、捐纳制度与官员晋升之间的关系,特别是对不同等级候选官员的捐纳偏好差异及其相关问题进行了实证研究。然而,本文实证研究的样本仅限于晚清时期的光绪朝,关于捐纳对官僚制度、社会流动的长期影响和动态变化的研究仍然需要进一步拓展。另外,捐官制度作为传统官僚体系的主要组成部分,如果能够从新的视角对捐官制度进行深入探讨,将会有助于我们更好地理解经济发展与政治制度变革之间的因果关系。
*感谢上海财经大学创新团队支持计划(2014110309) 和上海财经大学研究生创新基金项目(CXJJ-2015-355) 的资助。
[1] | 陈宽强. 清代捐纳制度[M]. 台北: 三民书局, 2014 . |
[2] | 代谦, 别朝霞. 土地改革、阶层流动性与官僚制度转型: 来自唐代中国的证据[J]. 经济学(季刊) , 2015 (1) : 53–84. |
[3] | 郭齐家. 中国古代考试制度[M]. 北京: 商务印书馆, 1997 . |
[4] | 何炳棣. 明清社会史论[M]. 台北: 联经出版社, 2013 . |
[5] | 胡平, 李世愉. 中国科举制度通史: 清代卷[M]. 上海: 上海人民出版社, 2015 . |
[6] | 秦国经. 清代官员履历档案全编(共30册)[M]. 上海: 华东师范大学出版社, 1997 . |
[7] | 潘光旦, 费孝通. 科举与社会流动[J]. 社会科学 , 1947 (1) : 1–21. |
[8] | 王德昭. 清代科举制度研究[M]. 香港: 中文大学出版社, 1982 . |
[9] | 伍跃. 中国的捐纳制度与社会[M]. 南京: 江苏人民出版社, 2013 . |
[10] | 谢俊美. 晚清卖官鬻爵新探: 兼论捐纳制度与清朝灭亡[J]. 华东师范大学学报(哲学社会科学版) , 2001 (5) : 50–61. |
[11] | 许大龄. 清代捐纳制度[M]. 北京: 哈佛燕京学社, 1950 . |
[12] | 张希清. 中国科举考试制度[M]. 北京: 新华出版社, 1993 . |
[13] | Acemoglu D. Reward structures and the allocation of talent[J]. European Economic Review , 1995, 39 (1) : 17–33. DOI:10.1016/0014-2921(94)00014-Q |
[14] | Baumol W J. Entrepreneurship: Productive, unproductive, and destructive[J]. Journal of Political Economy , 1990, 98 . |
[15] | Elman B A. A cultural history of civil examinations in late imperial China[M]. California: University of California Press, 2000 . |
[16] | Hartwell R M. Demographic, political, and social transformations of China, 750-1550[J]. Harvard Journal of Asiatic Studies , 1982, 42 (2) : 365–442. DOI:10.2307/2718941 |
[17] | Kracke Jr E A. Family vs. merit in Chinese civil service examinations under the empire[J]. Harvard Journal of Asiatic Studies , 1947, 10 (2) : 103–123. DOI:10.2307/2718257 |
[18] | Murphy K M, Shleifer A, Vishny R W. The allocation of talent: Implications for growth[J]. The Quarterly Journal of Economics , 1991, 106 (2) : 503–530. DOI:10.2307/2937945 |
[19] | Qin J, Kung J K S. The making of the gentry class: Reconsidering the ladder of success in late imperial China[R]. Working Paper, 2015. |